Номер 10.4, страница 87 - гдз по алгебре 11 класс учебник Мерзляк, Номировский
 
                                                Авторы: Мерзляк А. Г., Номировский Д. А., Полонский В. Б., Якир М. С.
Тип: Учебник
Издательство: Просвещение
Год издания: 2016 - 2025
Уровень обучения: базовый
Цвет обложки: синий, зелёный
Допущено Министерством просвещения Российской Федерации
Математика. Алгебра и начала математического анализа
Популярные ГДЗ в 11 классе
Глава 2. Интеграл и его применение. Параграф 10. Правила нахождения первообразной. Упражнения - номер 10.4, страница 87.
№10.4 (с. 87)
Учебник. №10.4 (с. 87)
скриншот условия
 
                                10.4. Найдите общий вид первообразных функции:
1) $f(x) = \sin \frac{x}{4};$
2) $f(x) = 2\cos \left(\frac{\pi}{6} - x\right);$
3) $f(x) = e^{5 - \frac{x}{2}};$
4) $f(x) = \frac{1}{2^{3x+5}};$
5) $f(x) = (2x - 3)^5;$
6) $f(x) = \frac{1}{\cos^2 \left(2x - \frac{\pi}{4}\right)}$ на промежутке $\left(-\frac{\pi}{8}; \frac{3\pi}{8}\right);$
7) $f(x) = \frac{3}{(3x - 1)^3}$ на промежутке $\left(\frac{1}{3}; +\infty\right);$
8) $f(x) = \frac{1}{3 - x}$ на промежутке $(-\infty; 3);$
9) $f(x) = \frac{1}{\sin^2 \frac{x}{5}}$ на промежутке $(0; 5\pi);$
10) $f(x) = \sqrt[4]{4x + 7}$ на промежутке $\left(-\frac{7}{4}; +\infty\right).$
Решение. №10.4 (с. 87)
 
                            Решение 2. №10.4 (с. 87)
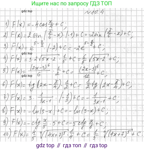
1) Для нахождения общего вида первообразных функции $f(x) = \sin\frac{x}{4}$ используем правило интегрирования сложной функции. Первообразная для $\sin(u)$ есть $-\cos(u)$. В нашем случае аргумент является линейной функцией $u = \frac{1}{4}x$.
Общий вид первообразной $F(x)$ находится по формуле $\int \sin(kx+b)dx = -\frac{1}{k}\cos(kx+b) + C$.
Здесь $k = \frac{1}{4}$, $b=0$.
$F(x) = \int \sin\frac{x}{4} dx = \frac{1}{1/4} (-\cos\frac{x}{4}) + C = -4\cos\frac{x}{4} + C$, где $C$ - произвольная постоянная.
Ответ: $F(x) = -4\cos\frac{x}{4} + C$.
2) Для функции $f(x) = 2\cos(\frac{\pi}{6} - x)$ используем правило интегрирования $\int \cos(kx+b)dx = \frac{1}{k}\sin(kx+b) + C$.
Здесь коэффициент перед функцией равен 2, $k = -1$, $b = \frac{\pi}{6}$.
$F(x) = \int 2\cos(\frac{\pi}{6} - x) dx = 2 \cdot \frac{1}{-1} \sin(\frac{\pi}{6} - x) + C = -2\sin(\frac{\pi}{6} - x) + C$.
Ответ: $F(x) = -2\sin(\frac{\pi}{6} - x) + C$.
3) Для функции $f(x) = e^{5 - \frac{x}{2}}$ используем правило интегрирования $\int e^{kx+b}dx = \frac{1}{k}e^{kx+b} + C$.
Здесь $k = -\frac{1}{2}$, $b=5$.
$F(x) = \int e^{5 - \frac{x}{2}} dx = \frac{1}{-1/2} e^{5 - \frac{x}{2}} + C = -2e^{5 - \frac{x}{2}} + C$.
Ответ: $F(x) = -2e^{5 - \frac{x}{2}} + C$.
4) Функцию $f(x) = \frac{1}{2^{3x+5}}$ представим в виде $f(x) = 2^{-(3x+5)}$. Для нахождения первообразной используем правило $\int a^{kx+b}dx = \frac{1}{k \ln a}a^{kx+b} + C$.
Здесь $a = 2$, $k = -3$, $b = -5$.
$F(x) = \int 2^{-(3x+5)} dx = \frac{1}{(-3)\ln 2} 2^{-(3x+5)} + C = -\frac{1}{3 \ln 2 \cdot 2^{3x+5}} + C$.
Ответ: $F(x) = -\frac{1}{3 \ln 2 \cdot 2^{3x+5}} + C$.
5) Для функции $f(x) = (2x - 3)^5$ используем правило для степенной функции $\int (kx+b)^n dx = \frac{1}{k}\frac{(kx+b)^{n+1}}{n+1} + C$.
Здесь $n=5$, $k=2$, $b=-3$.
$F(x) = \int (2x-3)^5 dx = \frac{1}{2} \frac{(2x-3)^{5+1}}{5+1} + C = \frac{1}{2} \frac{(2x-3)^6}{6} + C = \frac{(2x-3)^6}{12} + C$.
Ответ: $F(x) = \frac{(2x-3)^6}{12} + C$.
6) Для функции $f(x) = \frac{1}{\cos^2(2x - \frac{\pi}{4})}$ используем правило $\int \frac{1}{\cos^2(kx+b)}dx = \frac{1}{k}\tan(kx+b) + C$.
Проверим, что функция непрерывна на заданном промежутке $(-\frac{\pi}{8}, \frac{3\pi}{8})$. Аргумент косинуса $u = 2x - \frac{\pi}{4}$. Если $x \in (-\frac{\pi}{8}, \frac{3\pi}{8})$, то $2x \in (-\frac{\pi}{4}, \frac{3\pi}{4})$, а $u \in (-\frac{\pi}{2}, \frac{\pi}{2})$. На этом интервале $\cos(u) \neq 0$.
Здесь $k=2$, $b = -\frac{\pi}{4}$.
$F(x) = \int \frac{1}{\cos^2(2x - \frac{\pi}{4})} dx = \frac{1}{2}\tan(2x - \frac{\pi}{4}) + C$.
Ответ: $F(x) = \frac{1}{2}\tan(2x - \frac{\pi}{4}) + C$.
7) Функцию $f(x) = \frac{3}{(3x-1)^3}$ запишем как $f(x) = 3(3x-1)^{-3}$. Используем правило для степенной функции $\int A(kx+b)^n dx = \frac{A}{k}\frac{(kx+b)^{n+1}}{n+1} + C$.
Функция непрерывна на промежутке $(\frac{1}{3}; +\infty)$.
Здесь $A=3$, $n=-3$, $k=3$, $b=-1$.
$F(x) = \int 3(3x-1)^{-3} dx = \frac{3}{3}\frac{(3x-1)^{-3+1}}{-3+1} + C = \frac{(3x-1)^{-2}}{-2} + C = -\frac{1}{2(3x-1)^2} + C$.
Ответ: $F(x) = -\frac{1}{2(3x-1)^2} + C$.
8) Для функции $f(x) = \frac{1}{3-x}$ на промежутке $(-\infty; 3)$ используем правило $\int \frac{1}{kx+b}dx = \frac{1}{k}\ln|kx+b| + C$.
На промежутке $(-\infty; 3)$ выражение $3-x$ положительно, поэтому $|3-x| = 3-x$.
Здесь $k=-1$, $b=3$.
$F(x) = \int \frac{1}{3-x} dx = \frac{1}{-1}\ln(3-x) + C = -\ln(3-x) + C$.
Ответ: $F(x) = -\ln(3-x) + C$.
9) Для функции $f(x) = \frac{1}{\sin^2 \frac{x}{5}}$ используем правило $\int \frac{1}{\sin^2(kx+b)}dx = -\frac{1}{k}\cot(kx+b) + C$.
Проверим, что функция непрерывна на заданном промежутке $(0; 5\pi)$. Аргумент синуса $u = \frac{x}{5}$. Если $x \in (0, 5\pi)$, то $u \in (0, \pi)$. На этом интервале $\sin(u) \neq 0$.
Здесь $k=\frac{1}{5}$, $b=0$.
$F(x) = \int \frac{1}{\sin^2 \frac{x}{5}} dx = -\frac{1}{1/5}\cot(\frac{x}{5}) + C = -5\cot(\frac{x}{5}) + C$.
Ответ: $F(x) = -5\cot(\frac{x}{5}) + C$.
10) Функцию $f(x) = \sqrt[4]{4x+7}$ представим в виде $f(x) = (4x+7)^{1/4}$. На промежутке $(-\frac{7}{4}; +\infty)$ функция определена и непрерывна. Используем правило для степенной функции.
Здесь $n=1/4$, $k=4$, $b=7$.
$F(x) = \int (4x+7)^{1/4} dx = \frac{1}{4} \frac{(4x+7)^{1/4+1}}{1/4+1} + C = \frac{1}{4} \frac{(4x+7)^{5/4}}{5/4} + C = \frac{1}{5}(4x+7)^{5/4} + C$.
Результат можно также записать как $F(x) = \frac{1}{5}(4x+7)\sqrt[4]{4x+7} + C$.
Ответ: $F(x) = \frac{1}{5}(4x+7)^{5/4} + C$.
Другие задания:
Помогло решение? Оставьте отзыв в комментариях ниже.
Присоединяйтесь к Телеграм-группе @top_gdz
ПрисоединитьсяМы подготовили для вас ответ c подробным объяснением домашего задания по алгебре за 11 класс, для упражнения номер 10.4 расположенного на странице 87 к учебнику 2016 года издания для учащихся школ и гимназий.
Теперь на нашем сайте ГДЗ.ТОП вы всегда легко и бесплатно найдёте условие с правильным ответом на вопрос «Как решить ДЗ» и «Как сделать» задание по алгебре к упражнению №10.4 (с. 87), авторов: Мерзляк (Аркадий Григорьевич), Номировский (Дмитрий Анатольевич), Полонский (Виталий Борисович), Якир (Михаил Семёнович), ФГОС (старый) базовый уровень обучения учебного пособия издательства Просвещение.
 
                     
                     
                     
                     
                     
                     
                     
                     
                     
                     
                     
                     
                     
                     
                     
                     
                    