Страница 55 - гдз по алгебре 11 класс учебник Мерзляк, Номировский

Авторы: Мерзляк А. Г., Номировский Д. А., Полонский В. Б., Якир М. С.
Тип: Учебник
Издательство: Просвещение
Год издания: 2016 - 2025
Уровень обучения: базовый
Цвет обложки: синий, зелёный
Допущено Министерством просвещения Российской Федерации
Математика. Алгебра и начала математического анализа
Популярные ГДЗ в 11 классе
Cтраница 55

№7.10 (с. 55)
Учебник. №7.10 (с. 55)
скриншот условия

7.10. Найдите наименьшее целое решение неравенства:
1) $log_{1/6} (x + 2) \le 0;$
2) $log_{1/2} (6 - x) > -2;$
3) $log_{0.3} (4x - 3) \ge log_{0.3} (x + 3);$
4) $log_{1/3} (x^2 - 2x + 1) \ge -1.$
Решение. №7.10 (с. 55)

Решение 2. №7.10 (с. 55)
1) $\log_{\frac{1}{6}} (x + 2) \le 0$
Сначала найдем область допустимых значений (ОДЗ). Аргумент логарифма должен быть строго больше нуля:
$x + 2 > 0$
$x > -2$
Теперь решим само неравенство. Представим 0 в виде логарифма с основанием $\frac{1}{6}$:
$0 = \log_{\frac{1}{6}}(1)$
Получаем неравенство:
$\log_{\frac{1}{6}} (x + 2) \le \log_{\frac{1}{6}}(1)$
Так как основание логарифма $\frac{1}{6}$ меньше 1 ($0 < \frac{1}{6} < 1$), логарифмическая функция является убывающей. Поэтому при переходе к неравенству для аргументов знак неравенства меняется на противоположный:
$x + 2 \ge 1$
$x \ge 1 - 2$
$x \ge -1$
Теперь объединим полученное решение с ОДЗ. Нам нужно, чтобы выполнялись оба условия: $x > -2$ и $x \ge -1$. Пересечением этих двух множеств является $x \ge -1$.
Целые числа, удовлетворяющие этому условию: -1, 0, 1, 2, ... Наименьшее из них равно -1.
Ответ: -1
2) $\log_{\frac{1}{2}} (6 - x) > -2$
Найдем ОДЗ:
$6 - x > 0$
$x < 6$
Решим неравенство. Представим -2 в виде логарифма с основанием $\frac{1}{2}$:
$-2 = \log_{\frac{1}{2}}((\frac{1}{2})^{-2}) = \log_{\frac{1}{2}}(2^2) = \log_{\frac{1}{2}}(4)$
Получаем:
$\log_{\frac{1}{2}} (6 - x) > \log_{\frac{1}{2}}(4)$
Основание логарифма $\frac{1}{2}$ меньше 1, поэтому знак неравенства меняем на противоположный:
$6 - x < 4$
$6 - 4 < x$
$x > 2$
Совместим с ОДЗ: $x < 6$ и $x > 2$. Получаем интервал $2 < x < 6$.
Целые числа, входящие в этот интервал: 3, 4, 5. Наименьшее из них равно 3.
Ответ: 3
3) $\log_{0,3} (4x - 3) \ge \log_{0,3} (x + 3)$
Найдем ОДЗ. Оба аргумента логарифмов должны быть положительны, поэтому решаем систему неравенств:
$\begin{cases} 4x - 3 > 0 \\ x + 3 > 0 \end{cases}$
$\begin{cases} 4x > 3 \\ x > -3 \end{cases}$
$\begin{cases} x > \frac{3}{4} \\ x > -3 \end{cases}$
Пересечением этих условий является $x > \frac{3}{4}$.
Теперь решим основное неравенство. Основание логарифма $0,3$ меньше 1, поэтому при переходе к аргументам знак неравенства меняется:
$4x - 3 \le x + 3$
$4x - x \le 3 + 3$
$3x \le 6$
$x \le 2$
Объединим результат с ОДЗ: $x > \frac{3}{4}$ и $x \le 2$. Получаем полуинтервал $\frac{3}{4} < x \le 2$.
Целые числа, принадлежащие этому полуинтервалу: 1, 2. Наименьшее из них равно 1.
Ответ: 1
4) $\log_{\frac{1}{3}} (x^2 - 2x + 1) \ge -1$
Найдем ОДЗ. Выражение в скобках является полным квадратом:
$x^2 - 2x + 1 = (x - 1)^2$
Аргумент логарифма должен быть строго положителен:
$(x - 1)^2 > 0$
Квадрат любого числа, кроме нуля, положителен. Значит, $x - 1 \ne 0$, то есть $x \ne 1$.
Решим неравенство. Представим -1 в виде логарифма с основанием $\frac{1}{3}$:
$-1 = \log_{\frac{1}{3}}((\frac{1}{3})^{-1}) = \log_{\frac{1}{3}}(3)$
Получаем:
$\log_{\frac{1}{3}} ((x - 1)^2) \ge \log_{\frac{1}{3}}(3)$
Основание $\frac{1}{3}$ меньше 1, поэтому меняем знак неравенства:
$(x - 1)^2 \le 3$
Извлечем квадратный корень из обеих частей:
$|x - 1| \le \sqrt{3}$
Это неравенство равносильно системе:
$-\sqrt{3} \le x - 1 \le \sqrt{3}$
Прибавим 1 ко всем частям:
$1 - \sqrt{3} \le x \le 1 + \sqrt{3}$
Теперь учтем ОДЗ ($x \ne 1$). Так как $1$ входит в полученный отрезок, мы должны его исключить. Решением является объединение $x \in [1 - \sqrt{3}, 1) \cup (1, 1 + \sqrt{3}]$.
Оценим значения границ. $\sqrt{3} \approx 1,732$.
$1 - \sqrt{3} \approx 1 - 1,732 = -0,732$
$1 + \sqrt{3} \approx 1 + 1,732 = 2,732$
Таким образом, $x$ находится в промежутке примерно от -0,732 до 2,732, не включая 1. Целые числа в этом диапазоне: 0, 2. Наименьшее из них равно 0.
Ответ: 0
№7.11 (с. 55)
Учебник. №7.11 (с. 55)
скриншот условия

7.11. Найдите множество решений неравенства:
1) $log_{8} (x^{2} - 4x + 3) \le 1;$
2) $log_{0.5} (x^{2} + x) > -1;$
3) $log_{0.7} (x^{2} + 10x + 25) > 0;$
4) $log_{2} (x^{2} - 3x) \le 2;$
5) $log_{2} \frac{4x - 5}{4x + 7} > 0;$
6) $\lg \frac{x^{2} - 1}{(x - 2)^{2}} > 0;$
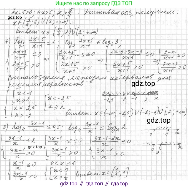
7) $log_{3} \frac{2x + 5}{x + 1} \le 1;$
8) $log_{4} \frac{3x - 1}{x} \le 0.5.$
Решение. №7.11 (с. 55)


Решение 2. №7.11 (с. 55)
1) $\log_8 (x^2 - 4x + 3) \le 1$
Данное неравенство равносильно системе:
$ \begin{cases} x^2 - 4x + 3 > 0 \\ x^2 - 4x + 3 \le 8^1 \end{cases} $
Решим первое неравенство (область допустимых значений):
$x^2 - 4x + 3 > 0$
Найдём корни уравнения $x^2 - 4x + 3 = 0$. По теореме Виета, $x_1 = 1$, $x_2 = 3$.
Так как ветви параболы $y = x^2 - 4x + 3$ направлены вверх, неравенство выполняется при $x \in (-\infty, 1) \cup (3, \infty)$.
Решим второе неравенство:
$x^2 - 4x + 3 \le 8$
$x^2 - 4x - 5 \le 0$
Найдём корни уравнения $x^2 - 4x - 5 = 0$. По теореме Виета, $x_1 = -1$, $x_2 = 5$.
Так как ветви параболы $y = x^2 - 4x - 5$ направлены вверх, неравенство выполняется при $x \in [-1, 5]$.
Теперь найдём пересечение решений системы:
$([-1, 5]) \cap ((-\infty, 1) \cup (3, \infty))$
Пересечение даёт множество $[-1, 1) \cup (3, 5]$.
Ответ: $x \in [-1, 1) \cup (3, 5]$.
2) $\log_{0.5} (x^2 + x) > -1$
Так как основание логарифма $0.5 < 1$, неравенство равносильно системе:
$ \begin{cases} x^2 + x > 0 \\ x^2 + x < (0.5)^{-1} \end{cases} $
Решим первое неравенство (ОДЗ):
$x^2 + x > 0 \implies x(x+1) > 0$. Корни: $x=0, x=-1$. Решение: $x \in (-\infty, -1) \cup (0, \infty)$.
Решим второе неравенство:
$x^2 + x < 2 \implies x^2 + x - 2 < 0$. Корни уравнения $x^2 + x - 2=0$: $x_1 = -2, x_2 = 1$. Решение: $x \in (-2, 1)$.
Найдём пересечение множеств $(-\infty, -1) \cup (0, \infty)$ и $(-2, 1)$.
Пересечение даёт множество $(-2, -1) \cup (0, 1)$.
Ответ: $x \in (-2, -1) \cup (0, 1)$.
3) $\log_{0.7} (x^2 + 10x + 25) > 0$
Перепишем неравенство: $\log_{0.7} (x+5)^2 > 0$.
Так как основание логарифма $0.7 < 1$, неравенство равносильно системе:
$ \begin{cases} (x+5)^2 > 0 \\ (x+5)^2 < (0.7)^0 \end{cases} $
Первое неравенство $(x+5)^2 > 0$ выполняется для всех $x$, кроме $x=-5$.
Второе неравенство: $(x+5)^2 < 1$.
Это равносильно $|x+5| < 1$, или $-1 < x+5 < 1$.
Вычитая 5 из всех частей, получаем $-6 < x < -4$.
Объединяя условия, получаем решение $x \in (-6, -4)$, исключая точку $x=-5$.
Ответ: $x \in (-6, -5) \cup (-5, -4)$.
4) $\log_2 (x^2 - 3x) \le 2$
Так как основание логарифма $2 > 1$, неравенство равносильно системе:
$ \begin{cases} x^2 - 3x > 0 \\ x^2 - 3x \le 2^2 \end{cases} $
Решим первое неравенство (ОДЗ):
$x^2 - 3x > 0 \implies x(x-3) > 0$. Корни: $x=0, x=3$. Решение: $x \in (-\infty, 0) \cup (3, \infty)$.
Решим второе неравенство:
$x^2 - 3x \le 4 \implies x^2 - 3x - 4 \le 0$. Корни уравнения $x^2 - 3x - 4 = 0$: $x_1=-1, x_2=4$. Решение: $x \in [-1, 4]$.
Найдём пересечение множеств $(-\infty, 0) \cup (3, \infty)$ и $[-1, 4]$.
Пересечение даёт множество $[-1, 0) \cup (3, 4]$.
Ответ: $x \in [-1, 0) \cup (3, 4]$.
5) $\log_2 \frac{4x - 5}{4x + 7} > 0$
Так как основание $2 > 1$, неравенство $\log_2 f(x) > 0$ равносильно $f(x) > 1$.
$\frac{4x - 5}{4x + 7} > 1$
$\frac{4x - 5}{4x + 7} - 1 > 0$
$\frac{4x - 5 - (4x + 7)}{4x + 7} > 0$
$\frac{-12}{4x + 7} > 0$
Дробь с отрицательным числителем больше нуля, если её знаменатель отрицателен:
$4x + 7 < 0 \implies 4x < -7 \implies x < -\frac{7}{4}$.
Ответ: $x \in (-\infty, -7/4)$.
6) $\lg \frac{x^2 - 1}{(x - 2)^2} > 0$
Основание десятичного логарифма $10 > 1$, поэтому неравенство $\lg f(x) > 0$ равносильно $f(x) > 1$.
$\frac{x^2 - 1}{(x - 2)^2} > 1$
Заметим, что $x \ne 2$.
$\frac{x^2 - 1 - (x - 2)^2}{(x - 2)^2} > 0$
$\frac{x^2 - 1 - (x^2 - 4x + 4)}{(x - 2)^2} > 0$
$\frac{4x - 5}{(x - 2)^2} > 0$
Знаменатель $(x-2)^2$ положителен при $x \ne 2$. Следовательно, числитель должен быть положителен:
$4x - 5 > 0 \implies 4x > 5 \implies x > \frac{5}{4}$.
Учитывая условие $x \ne 2$, получаем решение.
Ответ: $x \in (5/4, 2) \cup (2, \infty)$.
7) $\log_3 \frac{2x + 5}{x + 1} \le 1$
Так как основание $3 > 1$, неравенство равносильно системе:
$ \begin{cases} \frac{2x + 5}{x + 1} > 0 \\ \frac{2x + 5}{x + 1} \le 3^1 \end{cases} $
Решим первое неравенство (ОДЗ) методом интервалов. Корни числителя и знаменателя: $x=-2.5, x=-1$. Решение: $x \in (-\infty, -2.5) \cup (-1, \infty)$.
Решим второе неравенство:
$\frac{2x + 5}{x + 1} - 3 \le 0 \implies \frac{2x + 5 - 3(x+1)}{x+1} \le 0 \implies \frac{-x+2}{x+1} \le 0 \implies \frac{x-2}{x+1} \ge 0$.
Решение этого неравенства: $x \in (-\infty, -1) \cup [2, \infty)$.
Найдём пересечение множеств $((-\infty, -2.5) \cup (-1, \infty))$ и $((-\infty, -1) \cup [2, \infty))$.
Пересечение даёт множество $(-\infty, -2.5) \cup [2, \infty)$.
Ответ: $x \in (-\infty, -2.5) \cup [2, \infty)$.
8) $\log_4 \frac{3x - 1}{x} \le 0.5$
Так как основание $4 > 1$ и $0.5 = 1/2$, неравенство равносильно системе:
$ \begin{cases} \frac{3x - 1}{x} > 0 \\ \frac{3x - 1}{x} \le 4^{0.5} \end{cases} $
Решим первое неравенство (ОДЗ). Корни: $x=0, x=1/3$. Решение: $x \in (-\infty, 0) \cup (1/3, \infty)$.
Решим второе неравенство, учитывая, что $4^{0.5} = \sqrt{4} = 2$:
$\frac{3x - 1}{x} \le 2 \implies \frac{3x - 1}{x} - 2 \le 0 \implies \frac{3x - 1 - 2x}{x} \le 0 \implies \frac{x-1}{x} \le 0$.
Решение этого неравенства: $x \in (0, 1]$.
Найдём пересечение множеств $((-\infty, 0) \cup (1/3, \infty))$ и $(0, 1]$.
Пересечение даёт множество $(1/3, 1]$.
Ответ: $x \in (1/3, 1]$.
№7.12 (с. 55)
Учебник. №7.12 (с. 55)
скриншот условия

7.12. Решите неравенство:
1) $\log_{\frac{1}{3}}(x^2 - 5x + 7) > 0;$
2) $\log_9(x^2 - 6x + 8) \leq 0,5;$
3) $\log_{0,5}(x^2 + 3x) \geq -2;$
4) $\log_{0,3}(x^2 - 2x + 1) \geq 0;$
5) $\log_4 \frac{3x-1}{x-1} \leq 1;$
6) $\log_{\frac{1}{2}} \frac{2x-1}{3x+1} > 1.$
Решение. №7.12 (с. 55)


Решение 2. №7.12 (с. 55)
1) $\log_{\frac{1}{3}} (x^2 - 5x + 7) > 0$
Представим правую часть неравенства в виде логарифма с тем же основанием: $0 = \log_{\frac{1}{3}} 1$.
Неравенство принимает вид: $\log_{\frac{1}{3}} (x^2 - 5x + 7) > \log_{\frac{1}{3}} 1$.
Так как основание логарифма $a = \frac{1}{3}$ находится в интервале $(0, 1)$, логарифмическая функция является убывающей. Это означает, что при переходе от логарифмов к их аргументам знак неравенства меняется на противоположный. Также необходимо учесть область допустимых значений (ОДЗ), согласно которой аргумент логарифма должен быть строго больше нуля.
Получаем систему неравенств:
$\begin{cases} x^2 - 5x + 7 > 0 \\ x^2 - 5x + 7 < 1 \end{cases}$
1. Решим первое неравенство: $x^2 - 5x + 7 > 0$. Найдем дискриминант квадратного трехчлена: $D = (-5)^2 - 4 \cdot 1 \cdot 7 = 25 - 28 = -3$. Так как $D < 0$ и коэффициент при $x^2$ положителен ($1 > 0$), парабола $y = x^2 - 5x + 7$ полностью находится выше оси абсцисс, то есть неравенство выполняется для всех действительных чисел $x \in \mathbb{R}$.
2. Решим второе неравенство: $x^2 - 5x + 7 < 1 \implies x^2 - 5x + 6 < 0$. Найдем корни уравнения $x^2 - 5x + 6 = 0$. По теореме Виета, корни $x_1 = 2$ и $x_2 = 3$. Так как ветви параболы $y = x^2 - 5x + 6$ направлены вверх, неравенство выполняется на интервале между корнями: $x \in (2, 3)$.
Пересечением множества решений ($x \in \mathbb{R}$ и $x \in (2, 3)$) является интервал $(2, 3)$.
Ответ: $(2, 3)$.
2) $\log_9 (x^2 - 6x + 8) \le 0,5$
Представим правую часть в виде логарифма по основанию 9: $0,5 = \log_9 (9^{0,5}) = \log_9 \sqrt{9} = \log_9 3$.
Неравенство принимает вид: $\log_9 (x^2 - 6x + 8) \le \log_9 3$.
Основание логарифма $a = 9 > 1$, следовательно, логарифмическая функция возрастающая, и знак неравенства сохраняется. Учитывая ОДЗ, получаем систему:
$\begin{cases} x^2 - 6x + 8 > 0 \\ x^2 - 6x + 8 \le 3 \end{cases}$
1. Решим ОДЗ: $x^2 - 6x + 8 > 0$. Корни уравнения $x^2 - 6x + 8 = 0$ — это $x_1 = 2, x_2 = 4$. Решение неравенства: $x \in (-\infty, 2) \cup (4, +\infty)$.
2. Решим основное неравенство: $x^2 - 6x + 8 \le 3 \implies x^2 - 6x + 5 \le 0$. Корни уравнения $x^2 - 6x + 5 = 0$ — это $x_1 = 1, x_2 = 5$. Решение неравенства: $x \in [1, 5]$.
Найдем пересечение решений системы: $x \in ((-\infty, 2) \cup (4, +\infty)) \cap [1, 5]$.
Это дает нам объединение двух интервалов: $[1, 2) \cup (4, 5]$.
Ответ: $[1, 2) \cup (4, 5]$.
3) $\log_{0,5} (x^2 + 3x) \ge -2$
Представим правую часть: $-2 = \log_{0,5} (0,5^{-2}) = \log_{0,5} ((\frac{1}{2})^{-2}) = \log_{0,5} 4$.
Неравенство: $\log_{0,5} (x^2 + 3x) \ge \log_{0,5} 4$.
Основание $a=0,5 \in (0, 1)$, функция убывающая, знак неравенства меняется. Учитывая ОДЗ, получаем систему:
$\begin{cases} x^2 + 3x > 0 \\ x^2 + 3x \le 4 \end{cases}$
1. ОДЗ: $x^2 + 3x > 0 \implies x(x+3)>0$. Корни $x=0, x=-3$. Решение: $x \in (-\infty, -3) \cup (0, +\infty)$.
2. Основное неравенство: $x^2 + 3x \le 4 \implies x^2 + 3x - 4 \le 0$. Корни уравнения $x^2 + 3x - 4 = 0$ — это $x_1 = 1, x_2 = -4$. Решение: $x \in [-4, 1]$.
Найдем пересечение решений: $x \in ((-\infty, -3) \cup (0, +\infty)) \cap [-4, 1]$.
Пересечение дает: $[-4, -3) \cup (0, 1]$.
Ответ: $[-4, -3) \cup (0, 1]$.
4) $\log_{0,3} (x^2 - 2x + 1) \ge 0$
Аргумент логарифма является полным квадратом: $x^2 - 2x + 1 = (x-1)^2$. Правую часть представим как логарифм: $0 = \log_{0,3} 1$.
Неравенство: $\log_{0,3} ((x-1)^2) \ge \log_{0,3} 1$.
Основание $a=0,3 \in (0, 1)$, функция убывающая, знак неравенства меняется. Учитывая ОДЗ, получаем систему:
$\begin{cases} (x-1)^2 > 0 \\ (x-1)^2 \le 1 \end{cases}$
1. ОДЗ: $(x-1)^2 > 0$. Квадрат любого числа, кроме нуля, положителен. Значит, $x-1 \ne 0 \implies x \ne 1$.
2. Основное неравенство: $(x-1)^2 \le 1 \implies x^2 - 2x + 1 \le 1 \implies x^2 - 2x \le 0 \implies x(x-2) \le 0$. Корни $x=0, x=2$. Решение: $x \in [0, 2]$.
Найдем пересечение: $x \in [0, 2]$ и $x \ne 1$.
Это дает нам: $[0, 1) \cup (1, 2]$.
Ответ: $[0, 1) \cup (1, 2]$.
5) $\log_4 \frac{3x - 1}{x - 1} \le 1$
Представим правую часть: $1 = \log_4 4$. Неравенство: $\log_4 \frac{3x - 1}{x - 1} \le \log_4 4$.
Основание $a=4 > 1$, функция возрастающая, знак сохраняется. Неравенство равносильно системе:
$\begin{cases} \frac{3x - 1}{x - 1} > 0 \\ \frac{3x - 1}{x - 1} \le 4 \end{cases}$
1. Решим первое неравенство: $\frac{3x - 1}{x - 1} > 0$. Методом интервалов находим нули числителя $x=\frac{1}{3}$ и знаменателя $x=1$. Решение: $x \in (-\infty, \frac{1}{3}) \cup (1, +\infty)$.
2. Решим второе неравенство: $\frac{3x - 1}{x - 1} - 4 \le 0 \implies \frac{3x - 1 - 4(x-1)}{x-1} \le 0 \implies \frac{-x+3}{x-1} \le 0$. Умножим на -1 и сменим знак: $\frac{x-3}{x-1} \ge 0$. Нули: $x=3, x=1$. Решение: $x \in (-\infty, 1) \cup [3, +\infty)$.
Найдем пересечение решений: $x \in ((-\infty, \frac{1}{3}) \cup (1, +\infty)) \cap ((-\infty, 1) \cup [3, +\infty))$.
Пересечение дает: $(-\infty, \frac{1}{3}) \cup [3, +\infty)$.
Ответ: $(-\infty, \frac{1}{3}) \cup [3, +\infty)$.
6) $\log_{\frac{1}{2}} \frac{2x - 1}{3x + 1} > 1$
Представим правую часть: $1 = \log_{\frac{1}{2}} \frac{1}{2}$. Неравенство: $\log_{\frac{1}{2}} \frac{2x - 1}{3x + 1} > \log_{\frac{1}{2}} \frac{1}{2}$.
Основание $a=\frac{1}{2} \in (0, 1)$, функция убывающая, знак меняется. Неравенство равносильно системе:
$\begin{cases} \frac{2x - 1}{3x + 1} > 0 \\ \frac{2x - 1}{3x + 1} < \frac{1}{2} \end{cases}$
Эту систему можно записать как двойное неравенство: $0 < \frac{2x - 1}{3x + 1} < \frac{1}{2}$.
1. Решим левую часть $ \frac{2x - 1}{3x + 1} > 0$. Нули: $x=\frac{1}{2}, x=-\frac{1}{3}$. Решение: $x \in (-\infty, -\frac{1}{3}) \cup (\frac{1}{2}, +\infty)$.
2. Решим правую часть $\frac{2x - 1}{3x + 1} < \frac{1}{2} \implies \frac{2x - 1}{3x + 1} - \frac{1}{2} < 0 \implies \frac{2(2x-1) - (3x+1)}{2(3x+1)} < 0 \implies \frac{x-3}{2(3x+1)} < 0$. Нули: $x=3, x=-\frac{1}{3}$. Решение: $x \in (-\frac{1}{3}, 3)$.
Найдем пересечение решений: $x \in ((-\infty, -\frac{1}{3}) \cup (\frac{1}{2}, +\infty)) \cap (-\frac{1}{3}, 3)$.
Пересечение дает: $(\frac{1}{2}, 3)$.
Ответ: $(\frac{1}{2}, 3)$.
№7.13 (с. 55)
Учебник. №7.13 (с. 55)
скриншот условия

7.13. Решите неравенство:
1) $\log_{0,3} (x^2 + x - 12) \ge \log_{0,3} (6x - 6);$
2) $\lg (x^2 - x) \le \lg (3x - 3);$
3) $\log_{0,8} (1 - x^2) > \log_{0,8} (x^2 + 5x - 2);$
4) $2\log_2 (2x + 7) \ge 5 + \log_2 (x + 2);$
5) $\log_3 (x^2 + 2x - 3) \le \log_3 (x + 9);$
6) $\log_{\frac{1}{7}} (2x^2 + 3x + 1) \ge 2\log_{\frac{1}{7}} (1 - x).$
Решение. №7.13 (с. 55)


Решение 2. №7.13 (с. 55)
1) Решим неравенство $ \log_{0,3}(x^2 + x - 12) \ge \log_{0,3}(6x - 6) $.
Сначала найдем область допустимых значений (ОДЗ). Аргументы логарифмов должны быть строго положительными: $ x^2 + x - 12 > 0 $ и $ 6x - 6 > 0 $.
Из второго неравенства следует $ 6x > 6 $, то есть $ x > 1 $.
Для решения первого неравенства $ x^2 + x - 12 > 0 $ найдем корни уравнения $ x^2 + x - 12 = 0 $. По теореме Виета корни равны $ x_1 = -4 $ и $ x_2 = 3 $. Так как это парабола с ветвями вверх, неравенство выполняется для $ x \in (-\infty, -4) \cup (3, \infty) $.
Пересекая оба условия ($ x > 1 $ и $ x \in (-\infty, -4) \cup (3, \infty) $), получаем ОДЗ: $ x \in (3, \infty) $.
Теперь решим само неравенство. Основание логарифма $ 0,3 < 1 $, поэтому логарифмическая функция является убывающей. При переходе к неравенству для аргументов знак неравенства меняется на противоположный:
$ x^2 + x - 12 \le 6x - 6 $
Переносим все члены в левую часть и упрощаем:
$ x^2 - 5x - 6 \le 0 $
Найдем корни уравнения $ x^2 - 5x - 6 = 0 $. Корни равны $ x_1 = -1 $ и $ x_2 = 6 $. Так как это парабола с ветвями вверх, неравенство выполняется на отрезке между корнями: $ x \in [-1, 6] $.
Для получения окончательного ответа найдем пересечение этого решения с ОДЗ: $ [-1, 6] \cap (3, \infty) $.
Ответ: $ (3, 6] $.
2) Решим неравенство $ \lg(x^2 - x) \le \lg(3x - 3) $.
ОДЗ определяется условиями: $ x^2 - x > 0 $ и $ 3x - 3 > 0 $.
Из $ x^2 - x > 0 \implies x(x - 1) > 0 $, получаем $ x \in (-\infty, 0) \cup (1, \infty) $.
Из $ 3x - 3 > 0 \implies 3x > 3 $, получаем $ x > 1 $.
Общая ОДЗ: $ x \in (1, \infty) $.
Основание десятичного логарифма $ 10 > 1 $, поэтому функция возрастающая. Знак неравенства сохраняется:
$ x^2 - x \le 3x - 3 $
$ x^2 - 4x + 3 \le 0 $
Корни уравнения $ x^2 - 4x + 3 = 0 $ равны $ x_1 = 1 $ и $ x_2 = 3 $. Решением неравенства является отрезок $ [1, 3] $.
Находим пересечение решения с ОДЗ: $ [1, 3] \cap (1, \infty) $.
Ответ: $ (1, 3] $.
3) Решим неравенство $ \log_{0,8}(1 - x^2) > \log_{0,8}(x^2 + 5x - 2) $.
ОДЗ: $ 1 - x^2 > 0 $ и $ x^2 + 5x - 2 > 0 $.
Из $ 1 - x^2 > 0 \implies x^2 < 1 $, получаем $ x \in (-1, 1) $.
Для $ x^2 + 5x - 2 > 0 $ найдем корни $ x^2 + 5x - 2 = 0 $: $ x = \frac{-5 \pm \sqrt{25 - 4(1)(-2)}}{2} = \frac{-5 \pm \sqrt{33}}{2} $. Решение неравенства: $ x \in (-\infty, \frac{-5 - \sqrt{33}}{2}) \cup (\frac{-5 + \sqrt{33}}{2}, \infty) $.
Так как $ \sqrt{33} \approx 5,7 $, то $ \frac{-5 + \sqrt{33}}{2} \approx \frac{-5 + 5,7}{2} = 0,35 $. Общая ОДЗ: $ x \in (\frac{-5 + \sqrt{33}}{2}, 1) $.
Основание логарифма $ 0,8 < 1 $, функция убывающая, знак неравенства меняем:
$ 1 - x^2 < x^2 + 5x - 2 $
$ 2x^2 + 5x - 3 > 0 $
Корни уравнения $ 2x^2 + 5x - 3 = 0 $: $ x = \frac{-5 \pm \sqrt{25 - 4(2)(-3)}}{4} = \frac{-5 \pm 7}{4} $. Корни $ x_1 = -3 $ и $ x_2 = \frac{1}{2} $. Решение неравенства: $ x \in (-\infty, -3) \cup (\frac{1}{2}, \infty) $.
Находим пересечение решения с ОДЗ: $ ((\frac{-5 + \sqrt{33}}{2}, 1)) \cap ((-\infty, -3) \cup (\frac{1}{2}, \infty)) $. Так как $ \frac{-5 + \sqrt{33}}{2} < \frac{1}{2} $, пересечением будет $ (\frac{1}{2}, 1) $.
Ответ: $ (\frac{1}{2}, 1) $.
4) Решим неравенство $ 2\log_2(2x + 7) \ge 5 + \log_2(x + 2) $.
ОДЗ: $ 2x + 7 > 0 \implies x > -3,5 $ и $ x + 2 > 0 \implies x > -2 $. Общая ОДЗ: $ x \in (-2, \infty) $.
Преобразуем неравенство:
$ \log_2((2x + 7)^2) \ge \log_2(2^5) + \log_2(x + 2) $
$ \log_2((2x + 7)^2) \ge \log_2(32(x + 2)) $
Основание $ 2 > 1 $, функция возрастающая, знак сохраняется:
$ (2x + 7)^2 \ge 32(x + 2) $
$ 4x^2 + 28x + 49 \ge 32x + 64 $
$ 4x^2 - 4x - 15 \ge 0 $
Корни уравнения $ 4x^2 - 4x - 15 = 0 $: $ x = \frac{4 \pm \sqrt{16 - 4(4)(-15)}}{8} = \frac{4 \pm \sqrt{256}}{8} = \frac{4 \pm 16}{8} $. Корни $ x_1 = -\frac{12}{8} = -\frac{3}{2} $ и $ x_2 = \frac{20}{8} = \frac{5}{2} $. Решение неравенства: $ x \in (-\infty, -\frac{3}{2}] \cup [\frac{5}{2}, \infty) $.
Находим пересечение с ОДЗ $ x \in (-2, \infty) $.
Ответ: $ (-2, -\frac{3}{2}] \cup [\frac{5}{2}, \infty) $.
5) Решим неравенство $ \log_3(x^2 + 2x - 3) \le \log_3(x + 9) $.
ОДЗ: $ x^2 + 2x - 3 > 0 $ и $ x + 9 > 0 $.
Из $ x^2 + 2x - 3 > 0 \implies (x+3)(x-1)>0 $, получаем $ x \in (-\infty, -3) \cup (1, \infty) $.
Из $ x + 9 > 0 $ получаем $ x > -9 $.
Общая ОДЗ: $ x \in (-9, -3) \cup (1, \infty) $.
Основание $ 3 > 1 $, функция возрастающая, знак сохраняется:
$ x^2 + 2x - 3 \le x + 9 $
$ x^2 + x - 12 \le 0 $
Корни уравнения $ x^2 + x - 12 = 0 $ равны $ x_1 = -4 $ и $ x_2 = 3 $. Решение неравенства: $ x \in [-4, 3] $.
Находим пересечение решения с ОДЗ: $ [-4, 3] \cap ((-9, -3) \cup (1, \infty)) $.
Это дает объединение двух интервалов: $ [-4, 3] \cap (-9, -3) = [-4, -3) $ и $ [-4, 3] \cap (1, \infty) = (1, 3] $.
Ответ: $ [-4, -3) \cup (1, 3] $.
6) Решим неравенство $ \log_{\frac{1}{7}}(2x^2 + 3x + 1) \ge 2\log_{\frac{1}{7}}(1 - x) $.
ОДЗ: $ 2x^2 + 3x + 1 > 0 $ и $ 1 - x > 0 $.
Для $ 2x^2 + 3x + 1 > 0 $ найдем корни $ 2x^2 + 3x + 1 = 0 $: $ x = \frac{-3 \pm \sqrt{9 - 8}}{4} = \frac{-3 \pm 1}{4} $. Корни $ x_1 = -1, x_2 = -\frac{1}{2} $. Решение: $ x \in (-\infty, -1) \cup (-\frac{1}{2}, \infty) $.
Из $ 1 - x > 0 $ получаем $ x < 1 $.
Общая ОДЗ: $ x \in (-\infty, -1) \cup (-\frac{1}{2}, 1) $.
Преобразуем неравенство: $ \log_{\frac{1}{7}}(2x^2 + 3x + 1) \ge \log_{\frac{1}{7}}((1 - x)^2) $.
Основание $ \frac{1}{7} < 1 $, функция убывающая, знак меняем:
$ 2x^2 + 3x + 1 \le (1 - x)^2 $
$ 2x^2 + 3x + 1 \le 1 - 2x + x^2 $
$ x^2 + 5x \le 0 $
$ x(x + 5) \le 0 $
Решение этого неравенства: $ x \in [-5, 0] $.
Находим пересечение с ОДЗ: $ [-5, 0] \cap ((-\infty, -1) \cup (-\frac{1}{2}, 1)) $.
Это дает объединение интервалов: $ [-5, -1) \cup (-\frac{1}{2}, 0] $.
Ответ: $ [-5, -1) \cup (-\frac{1}{2}, 0] $.
№7.14 (с. 55)
Учебник. №7.14 (с. 55)
скриншот условия

7.14. Решите неравенство:
1) $ \log_{\frac{2}{3}} (6 - 2x) < \log_{\frac{2}{3}} (x^2 - 2x - 3); $
2) $ \log_{0,1} (x^2 - 3x - 4) \geq \log_{0,1} (x + 1); $
3) $ 2\log_2 (x + 5) \leq 3 + \log_2 (11 + x); $
4) $ \lg (2x^2 - 9x + 4) \leq 2\lg (x + 2). $
Решение. №7.14 (с. 55)


Решение 2. №7.14 (с. 55)
1) $\log_{\frac{2}{3}}(6-2x) < \log_{\frac{2}{3}}(x^2 - 2x - 3)$
Сначала найдем область допустимых значений (ОДЗ). Аргументы логарифмов должны быть строго положительными:
$\begin{cases} 6 - 2x > 0 \\ x^2 - 2x - 3 > 0 \end{cases}$
Решим первое неравенство:
$6 > 2x$
$x < 3$
Решим второе неравенство. Найдем корни уравнения $x^2 - 2x - 3 = 0$. По теореме Виета, корни $x_1 = 3$ и $x_2 = -1$. Так как ветви параболы направлены вверх, неравенство $x^2 - 2x - 3 > 0$ выполняется при $x \in (-\infty, -1) \cup (3, \infty)$.
Теперь найдем пересечение решений: $x < 3$ и $x \in (-\infty, -1) \cup (3, \infty)$.
Область допустимых значений: $x \in (-\infty, -1)$.
Теперь решим само логарифмическое неравенство. Основание логарифма $a = \frac{2}{3}$. Так как $0 < \frac{2}{3} < 1$, то логарифмическая функция является убывающей. Поэтому при переходе к неравенству для аргументов знак неравенства меняется на противоположный:
$6 - 2x > x^2 - 2x - 3$
$6 > x^2 - 3$
$9 > x^2$
$x^2 - 9 < 0$
$(x-3)(x+3) < 0$
Решением этого неравенства является интервал $x \in (-3, 3)$.
Найдем пересечение полученного решения $x \in (-3, 3)$ с ОДЗ: $x \in (-\infty, -1)$.
Пересечением является интервал $(-3, -1)$.
Ответ: $x \in (-3, -1)$.
2) $\log_{0,1}(x^2 - 3x - 4) \ge \log_{0,1}(x + 1)$
Найдем ОДЗ:
$\begin{cases} x^2 - 3x - 4 > 0 \\ x + 1 > 0 \end{cases}$
Решим первое неравенство. Корни уравнения $x^2 - 3x - 4 = 0$ равны $x_1 = 4$ и $x_2 = -1$. Ветви параболы направлены вверх, поэтому $x^2 - 3x - 4 > 0$ при $x \in (-\infty, -1) \cup (4, \infty)$.
Решим второе неравенство: $x + 1 > 0 \implies x > -1$.
Найдем пересечение решений: $x > -1$ и $x \in (-\infty, -1) \cup (4, \infty)$.
Область допустимых значений: $x \in (4, \infty)$.
Решим неравенство. Основание логарифма $a = 0,1$. Так как $0 < 0,1 < 1$, логарифмическая функция убывающая, поэтому знак неравенства меняется на противоположный:
$x^2 - 3x - 4 \le x + 1$
$x^2 - 4x - 5 \le 0$
Найдем корни уравнения $x^2 - 4x - 5 = 0$. Корни $x_1 = 5$ и $x_2 = -1$. Ветви параболы направлены вверх, поэтому неравенство $x^2 - 4x - 5 \le 0$ выполняется при $x \in [-1, 5]$.
Найдем пересечение решения $x \in [-1, 5]$ с ОДЗ: $x \in (4, \infty)$.
Пересечением является полуинтервал $(4, 5]$.
Ответ: $x \in (4, 5]$.
3) $2\log_2(x+5) \le 3 + \log_2(11+x)$
Найдем ОДЗ:
$\begin{cases} x + 5 > 0 \\ 11 + x > 0 \end{cases}$
$\begin{cases} x > -5 \\ x > -11 \end{cases}$
Область допустимых значений: $x \in (-5, \infty)$.
Преобразуем неравенство, используя свойства логарифмов:
$2\log_2(x+5) - \log_2(11+x) \le 3$
$\log_2((x+5)^2) - \log_2(11+x) \le 3$
$\log_2\left(\frac{(x+5)^2}{11+x}\right) \le 3$
Представим число 3 в виде логарифма по основанию 2: $3 = \log_2(2^3) = \log_2(8)$.
$\log_2\left(\frac{(x+5)^2}{11+x}\right) \le \log_2(8)$
Основание логарифма $a = 2 > 1$, логарифмическая функция возрастающая, поэтому знак неравенства сохраняется:
$\frac{(x+5)^2}{11+x} \le 8$
В области ОДЗ $x > -5$, поэтому знаменатель $11+x > 11-5 = 6 > 0$. Можем умножить обе части неравенства на $(11+x)$, не меняя знака:
$(x+5)^2 \le 8(11+x)$
$x^2 + 10x + 25 \le 88 + 8x$
$x^2 + 2x - 63 \le 0$
Корни уравнения $x^2 + 2x - 63 = 0$ равны $x_1 = 7$ и $x_2 = -9$. Ветви параболы вверх, поэтому решение неравенства: $x \in [-9, 7]$.
Найдем пересечение решения $x \in [-9, 7]$ с ОДЗ: $x \in (-5, \infty)$.
Пересечением является полуинтервал $(-5, 7]$.
Ответ: $x \in (-5, 7]$.
4) $\lg(2x^2 - 9x + 4) \le 2\lg(x+2)$
Найдем ОДЗ (здесь $\lg$ - десятичный логарифм, $\log_{10}$):
$\begin{cases} 2x^2 - 9x + 4 > 0 \\ x + 2 > 0 \end{cases}$
Решим первое неравенство. Корни уравнения $2x^2 - 9x + 4 = 0$ равны $x_1 = 4$ и $x_2 = \frac{1}{2}$. Ветви параболы вверх, поэтому $2x^2 - 9x + 4 > 0$ при $x \in (-\infty, \frac{1}{2}) \cup (4, \infty)$.
Решим второе неравенство: $x + 2 > 0 \implies x > -2$.
Найдем пересечение решений: $x > -2$ и $x \in (-\infty, \frac{1}{2}) \cup (4, \infty)$.
Область допустимых значений: $x \in (-2, \frac{1}{2}) \cup (4, \infty)$.
Преобразуем неравенство:
$\lg(2x^2 - 9x + 4) \le \lg((x+2)^2)$
Основание логарифма $a = 10 > 1$, функция возрастающая, знак неравенства сохраняется:
$2x^2 - 9x + 4 \le (x+2)^2$
$2x^2 - 9x + 4 \le x^2 + 4x + 4$
$x^2 - 13x \le 0$
$x(x-13) \le 0$
Решением этого неравенства является отрезок $x \in [0, 13]$.
Найдем пересечение решения $x \in [0, 13]$ с ОДЗ: $x \in (-2, \frac{1}{2}) \cup (4, \infty)$.
Пересечение $x \in [0, 13]$ с первым интервалом ОДЗ $(-2, \frac{1}{2})$ дает $[0, \frac{1}{2})$.
Пересечение $x \in [0, 13]$ со вторым интервалом ОДЗ $(4, \infty)$ дает $(4, 13]$.
Объединяя эти два результата, получаем итоговое решение.
Ответ: $x \in [0, \frac{1}{2}) \cup (4, 13]$.
Помогло решение? Оставьте отзыв в комментариях ниже.