Страница 56 - гдз по алгебре 11 класс учебник Мерзляк, Номировский

Авторы: Мерзляк А. Г., Номировский Д. А., Полонский В. Б., Якир М. С.
Тип: Учебник
Издательство: Просвещение
Год издания: 2016 - 2025
Уровень обучения: базовый
Цвет обложки: синий, зелёный
Допущено Министерством просвещения Российской Федерации
Математика. Алгебра и начала математического анализа
Популярные ГДЗ в 11 классе
Cтраница 56

№7.15 (с. 56)
Учебник. №7.15 (с. 56)
скриншот условия

7.15. Решите неравенство:
1) $ \lg x + \lg (x - 3) > 1; $
2) $ \log_{\frac{1}{3}} (x + 2) + \log_{\frac{1}{3}} x < -1; $
3) $ \log_2 x + \log_2 (x + 4) < 5; $
4) $ \log_{0,1} (x - 5) + \log_{0,1} (x - 2) \ge -1; $
5) $ \log_6 (5x + 8) + \log_6 (x + 1) \le 1 - \log_6 3; $
6) $ \log_3 (1 - x) + \log_3 (-5x - 2) \ge 2\log_3 2 + 1. $
Решение. №7.15 (с. 56)


Решение 2. №7.15 (с. 56)
1) $\lg x + \lg (x - 3) > 1$
Найдем область допустимых значений (ОДЗ). Аргументы логарифмов должны быть строго положительными:
$\begin{cases} x > 0 \\ x - 3 > 0 \end{cases} \Rightarrow \begin{cases} x > 0 \\ x > 3 \end{cases} \Rightarrow x > 3$.
ОДЗ: $x \in (3; +\infty)$.
Используя свойство суммы логарифмов $\log_a b + \log_a c = \log_a(bc)$, преобразуем левую часть неравенства. Правую часть представим в виде десятичного логарифма: $1 = \lg 10$.
$\lg(x(x-3)) > \lg 10$
Так как основание логарифма $10 > 1$, то при переходе к неравенству для аргументов знак неравенства сохраняется:
$x(x - 3) > 10$
$x^2 - 3x - 10 > 0$
Решим квадратное уравнение $x^2 - 3x - 10 = 0$. Корни уравнения: $x_1 = 5$, $x_2 = -2$.
Парабола $y = x^2 - 3x - 10$ ветвями вверх, поэтому неравенство $x^2 - 3x - 10 > 0$ выполняется при $x < -2$ или $x > 5$.
Найдем пересечение полученного решения с ОДЗ ($x > 3$):
$\begin{cases} x \in (-\infty; -2) \cup (5; +\infty) \\ x > 3 \end{cases} \Rightarrow x > 5$.
Ответ: $(5; +\infty)$.
2) $\log_{\frac{1}{3}}(x + 2) + \log_{\frac{1}{3}} x < -1$
Найдем ОДЗ:
$\begin{cases} x + 2 > 0 \\ x > 0 \end{cases} \Rightarrow \begin{cases} x > -2 \\ x > 0 \end{cases} \Rightarrow x > 0$.
ОДЗ: $x \in (0; +\infty)$.
Преобразуем неравенство, используя свойство суммы логарифмов. Правую часть представим в виде логарифма по основанию $\frac{1}{3}$: $-1 = \log_{\frac{1}{3}} ((\frac{1}{3})^{-1}) = \log_{\frac{1}{3}} 3$.
$\log_{\frac{1}{3}}(x(x+2)) < \log_{\frac{1}{3}} 3$
Так как основание логарифма $0 < \frac{1}{3} < 1$, то при переходе к неравенству для аргументов знак неравенства меняется на противоположный:
$x(x + 2) > 3$
$x^2 + 2x - 3 > 0$
Решим квадратное уравнение $x^2 + 2x - 3 = 0$. Корни уравнения: $x_1 = 1$, $x_2 = -3$.
Неравенство $x^2 + 2x - 3 > 0$ выполняется при $x < -3$ или $x > 1$.
Найдем пересечение полученного решения с ОДЗ ($x > 0$):
$\begin{cases} x \in (-\infty; -3) \cup (1; +\infty) \\ x > 0 \end{cases} \Rightarrow x > 1$.
Ответ: $(1; +\infty)$.
3) $\log_2 x + \log_2 (x + 4) < 5$
Найдем ОДЗ:
$\begin{cases} x > 0 \\ x + 4 > 0 \end{cases} \Rightarrow \begin{cases} x > 0 \\ x > -4 \end{cases} \Rightarrow x > 0$.
ОДЗ: $x \in (0; +\infty)$.
Преобразуем неравенство. $5 = \log_2 (2^5) = \log_2 32$.
$\log_2(x(x+4)) < \log_2 32$
Так как основание логарифма $2 > 1$, знак неравенства сохраняется:
$x(x + 4) < 32$
$x^2 + 4x - 32 < 0$
Решим квадратное уравнение $x^2 + 4x - 32 = 0$. Корни уравнения: $x_1 = 4$, $x_2 = -8$.
Неравенство $x^2 + 4x - 32 < 0$ выполняется при $-8 < x < 4$.
Найдем пересечение полученного решения с ОДЗ ($x > 0$):
$\begin{cases} -8 < x < 4 \\ x > 0 \end{cases} \Rightarrow 0 < x < 4$.
Ответ: $(0; 4)$.
4) $\log_{0,1}(x - 5) + \log_{0,1}(x - 2) \ge -1$
Найдем ОДЗ:
$\begin{cases} x - 5 > 0 \\ x - 2 > 0 \end{cases} \Rightarrow \begin{cases} x > 5 \\ x > 2 \end{cases} \Rightarrow x > 5$.
ОДЗ: $x \in (5; +\infty)$.
Преобразуем неравенство. $-1 = \log_{0,1}((0,1)^{-1}) = \log_{0,1} 10$.
$\log_{0,1}((x-5)(x-2)) \ge \log_{0,1} 10$
Так как основание логарифма $0 < 0,1 < 1$, знак неравенства меняется на противоположный:
$(x - 5)(x - 2) \le 10$
$x^2 - 7x + 10 \le 10$
$x^2 - 7x \le 0$
$x(x - 7) \le 0$
Решение этого неравенства: $0 \le x \le 7$.
Найдем пересечение полученного решения с ОДЗ ($x > 5$):
$\begin{cases} 0 \le x \le 7 \\ x > 5 \end{cases} \Rightarrow 5 < x \le 7$.
Ответ: $(5; 7]$.
5) $\log_6(5x + 8) + \log_6(x + 1) \le 1 - \log_6 3$
Найдем ОДЗ:
$\begin{cases} 5x + 8 > 0 \\ x + 1 > 0 \end{cases} \Rightarrow \begin{cases} x > -8/5 \\ x > -1 \end{cases} \Rightarrow x > -1$.
ОДЗ: $x \in (-1; +\infty)$.
Преобразуем неравенство:
$\log_6((5x+8)(x+1)) \le \log_6 6 - \log_6 3$
$\log_6(5x^2 + 13x + 8) \le \log_6(6/3)$
$\log_6(5x^2 + 13x + 8) \le \log_6 2$
Так как основание логарифма $6 > 1$, знак неравенства сохраняется:
$5x^2 + 13x + 8 \le 2$
$5x^2 + 13x + 6 \le 0$
Решим квадратное уравнение $5x^2 + 13x + 6 = 0$. Дискриминант $D = 13^2 - 4 \cdot 5 \cdot 6 = 169 - 120 = 49 = 7^2$.
Корни: $x_1 = \frac{-13 - 7}{10} = -2$, $x_2 = \frac{-13 + 7}{10} = -0,6$.
Решение неравенства $5x^2 + 13x + 6 \le 0$ есть отрезок $[-2; -0,6]$.
Найдем пересечение полученного решения с ОДЗ ($x > -1$):
$\begin{cases} -2 \le x \le -0,6 \\ x > -1 \end{cases} \Rightarrow -1 < x \le -0,6$.
Ответ: $(-1; -0,6]$.
6) $\log_3(1 - x) + \log_3(-5x - 2) \ge 2\log_3 2 + 1$
Найдем ОДЗ:
$\begin{cases} 1 - x > 0 \\ -5x - 2 > 0 \end{cases} \Rightarrow \begin{cases} x < 1 \\ -5x > 2 \end{cases} \Rightarrow \begin{cases} x < 1 \\ x < -2/5 \end{cases} \Rightarrow x < -0,4$.
ОДЗ: $x \in (-\infty; -0,4)$.
Преобразуем обе части неравенства:
Левая часть: $\log_3((1-x)(-5x-2)) = \log_3(5x^2 - 3x - 2)$.
Правая часть: $2\log_3 2 + 1 = \log_3 2^2 + \log_3 3 = \log_3 4 + \log_3 3 = \log_3(4 \cdot 3) = \log_3 12$.
Неравенство принимает вид:
$\log_3(5x^2 - 3x - 2) \ge \log_3 12$
Так как основание логарифма $3 > 1$, знак неравенства сохраняется:
$5x^2 - 3x - 2 \ge 12$
$5x^2 - 3x - 14 \ge 0$
Решим квадратное уравнение $5x^2 - 3x - 14 = 0$. Дискриминант $D = (-3)^2 - 4 \cdot 5 \cdot (-14) = 9 + 280 = 289 = 17^2$.
Корни: $x_1 = \frac{3 - 17}{10} = -1,4$, $x_2 = \frac{3 + 17}{10} = 2$.
Решение неравенства $5x^2 - 3x - 14 \ge 0$ есть объединение лучей $(-\infty; -1,4] \cup [2; +\infty)$.
Найдем пересечение полученного решения с ОДЗ ($x < -0,4$):
$\begin{cases} x \in (-\infty; -1,4] \cup [2; +\infty) \\ x < -0,4 \end{cases} \Rightarrow x \le -1,4$.
Ответ: $(-\infty; -1,4]$.
№7.16 (с. 56)
Учебник. №7.16 (с. 56)
скриншот условия

7.16. Решите неравенство:
1) $\log_2 (-x) + \log_2 (1 - x) \le 1;$
2) $\log_{0,2} (x - 1) + \log_{0,2} (x + 3) \ge -1;$
3) $\log_3 (x - 2) + \log_3 (x - 10) \ge 2;$
4) $\log_7 x + \log_7 (3x - 8) \ge 1 + 2\log_7 2.$
Решение. №7.16 (с. 56)


Решение 2. №7.16 (с. 56)
1) $\log_2(-x) + \log_2(1-x) \le 1$
Сначала найдем область допустимых значений (ОДЗ). Аргументы логарифмов должны быть строго положительными:
$\begin{cases} -x > 0 \\ 1-x > 0 \end{cases} \Rightarrow \begin{cases} x < 0 \\ x < 1 \end{cases}$
Пересечением этих условий является $x < 0$. Таким образом, ОДЗ: $x \in (-\infty; 0)$.
Теперь решим само неравенство. Используем свойство суммы логарифмов $\log_a b + \log_a c = \log_a (bc)$:
$\log_2((-x)(1-x)) \le 1$
$\log_2(x^2 - x) \le 1$
Представим 1 в виде логарифма по основанию 2: $1 = \log_2 2$.
$\log_2(x^2 - x) \le \log_2 2$
Так как основание логарифма $2 > 1$, функция логарифма возрастающая, поэтому при переходе к подлогарифмическим выражениям знак неравенства сохраняется:
$x^2 - x \le 2$
$x^2 - x - 2 \le 0$
Найдем корни квадратного трехчлена $x^2 - x - 2 = 0$. По теореме Виета, корни $x_1 = -1$ и $x_2 = 2$.
Парабола $y = x^2 - x - 2$ ветвями вверх, значит, неравенство $x^2 - x - 2 \le 0$ выполняется на отрезке между корнями: $x \in [-1; 2]$.
Найдем пересечение полученного решения с ОДЗ:
$\begin{cases} x \in [-1; 2] \\ x \in (-\infty; 0) \end{cases} \Rightarrow x \in [-1; 0)$.
Ответ: $x \in [-1; 0)$.
2) $\log_{0,2}(x-1) + \log_{0,2}(x+3) \ge -1$
Найдем ОДЗ:
$\begin{cases} x-1 > 0 \\ x+3 > 0 \end{cases} \Rightarrow \begin{cases} x > 1 \\ x > -3 \end{cases}$
Пересечением является $x > 1$. ОДЗ: $x \in (1; +\infty)$.
Преобразуем неравенство:
$\log_{0,2}((x-1)(x+3)) \ge -1$
$\log_{0,2}(x^2 + 2x - 3) \ge -1$
Представим -1 в виде логарифма по основанию 0,2: $-1 = \log_{0,2}(0,2^{-1}) = \log_{0,2}(5)$.
$\log_{0,2}(x^2 + 2x - 3) \ge \log_{0,2}(5)$
Так как основание логарифма $0,2 < 1$, функция логарифма убывающая, поэтому при переходе к подлогарифмическим выражениям знак неравенства меняется на противоположный:
$x^2 + 2x - 3 \le 5$
$x^2 + 2x - 8 \le 0$
Найдем корни уравнения $x^2 + 2x - 8 = 0$. По теореме Виета, корни $x_1 = -4$ и $x_2 = 2$.
Решение неравенства $x^2 + 2x - 8 \le 0$ есть отрезок $x \in [-4; 2]$.
Найдем пересечение решения с ОДЗ:
$\begin{cases} x \in [-4; 2] \\ x \in (1; +\infty) \end{cases} \Rightarrow x \in (1; 2]$.
Ответ: $x \in (1; 2]$.
3) $\log_3(x-2) + \log_3(x-10) \ge 2$
Найдем ОДЗ:
$\begin{cases} x-2 > 0 \\ x-10 > 0 \end{cases} \Rightarrow \begin{cases} x > 2 \\ x > 10 \end{cases}$
Пересечением является $x > 10$. ОДЗ: $x \in (10; +\infty)$.
Преобразуем неравенство:
$\log_3((x-2)(x-10)) \ge 2$
$\log_3(x^2 - 12x + 20) \ge 2$
Представим 2 в виде логарифма по основанию 3: $2 = \log_3(3^2) = \log_3(9)$.
$\log_3(x^2 - 12x + 20) \ge \log_3(9)$
Основание $3 > 1$, поэтому знак неравенства сохраняется:
$x^2 - 12x + 20 \ge 9$
$x^2 - 12x + 11 \ge 0$
Найдем корни уравнения $x^2 - 12x + 11 = 0$. По теореме Виета, корни $x_1 = 1$ и $x_2 = 11$.
Парабола $y = x^2 - 12x + 11$ ветвями вверх, значит, неравенство $x^2 - 12x + 11 \ge 0$ выполняется вне отрезка между корнями: $x \in (-\infty; 1] \cup [11; +\infty)$.
Найдем пересечение решения с ОДЗ:
$\begin{cases} x \in (-\infty; 1] \cup [11; +\infty) \\ x \in (10; +\infty) \end{cases} \Rightarrow x \in [11; +\infty)$.
Ответ: $x \in [11; +\infty)$.
4) $\log_7 x + \log_7(3x-8) \ge 1 + 2\log_7 2$
Найдем ОДЗ:
$\begin{cases} x > 0 \\ 3x-8 > 0 \end{cases} \Rightarrow \begin{cases} x > 0 \\ x > 8/3 \end{cases}$
Пересечением является $x > 8/3$. ОДЗ: $x \in (8/3; +\infty)$.
Преобразуем левую и правую части неравенства:
Левая часть: $\log_7(x(3x-8)) = \log_7(3x^2 - 8x)$.
Правая часть: $1 + 2\log_7 2 = \log_7 7 + \log_7(2^2) = \log_7 7 + \log_7 4 = \log_7(7 \cdot 4) = \log_7 28$.
Неравенство принимает вид:
$\log_7(3x^2 - 8x) \ge \log_7 28$
Основание $7 > 1$, поэтому знак неравенства сохраняется:
$3x^2 - 8x \ge 28$
$3x^2 - 8x - 28 \ge 0$
Найдем корни уравнения $3x^2 - 8x - 28 = 0$.
Дискриминант $D = (-8)^2 - 4 \cdot 3 \cdot (-28) = 64 + 336 = 400 = 20^2$.
$x_1 = \frac{8 - 20}{2 \cdot 3} = \frac{-12}{6} = -2$
$x_2 = \frac{8 + 20}{2 \cdot 3} = \frac{28}{6} = \frac{14}{3}$
Решение неравенства $3x^2 - 8x - 28 \ge 0$ есть объединение $x \in (-\infty; -2] \cup [14/3; +\infty)$.
Найдем пересечение решения с ОДЗ:
$\begin{cases} x \in (-\infty; -2] \cup [14/3; +\infty) \\ x \in (8/3; +\infty) \end{cases}$
Сравним $14/3$ и $8/3$: так как $14 > 8$, то $14/3 > 8/3$.
Пересечением является $x \in [14/3; +\infty)$.
Ответ: $x \in [14/3; +\infty)$.
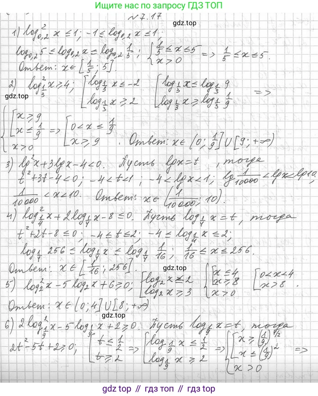
№7.17 (с. 56)
Учебник. №7.17 (с. 56)
скриншот условия

7.17. Решите неравенство:
1) $\log_{0.2}^2 x \le 1;$
2) $\log_{\frac{1}{3}}^2 x \ge 4;$
3) $\lg^2 x + 3\lg x - 4 < 0;$
4) $\log_{\frac{1}{4}}^2 x + 2\log_{\frac{1}{4}} x - 8 \le 0;$
5) $\log_2^2 x - 5\log_2 x + 6 \ge 0;$
6) $2\log_{\frac{1}{9}}^2 x - 5\log_{\frac{1}{9}} x + 2 \ge 0.$
Решение. №7.17 (с. 56)


Решение 2. №7.17 (с. 56)
1) $\log_{0.2}^2 x \le 1$
Область допустимых значений (ОДЗ): $x > 0$.
Сделаем замену переменной: пусть $t = \log_{0.2} x$. Тогда неравенство принимает вид:
$t^2 \le 1$
$t^2 - 1 \le 0$
$(t-1)(t+1) \le 0$
Решением этого квадратного неравенства является отрезок $t \in [-1; 1]$.
Возвращаемся к исходной переменной:
$-1 \le \log_{0.2} x \le 1$
Это двойное неравенство равносильно системе:
$\begin{cases} \log_{0.2} x \le 1 \\ \log_{0.2} x \ge -1 \end{cases}$
Так как основание логарифма $0.2 < 1$, то при переходе к аргументам знак неравенства меняется на противоположный:
$\begin{cases} x \ge 0.2^1 \\ x \le 0.2^{-1} \end{cases}$
$\begin{cases} x \ge 0.2 \\ x \le 5 \end{cases}$
Получаем $0.2 \le x \le 5$. Это решение удовлетворяет ОДЗ ($x > 0$).
Ответ: $[0.2; 5]$
2) $\log_{\frac{1}{3}}^2 x \ge 4$
ОДЗ: $x > 0$.
Сделаем замену переменной: пусть $t = \log_{\frac{1}{3}} x$. Неравенство примет вид:
$t^2 \ge 4$
$t^2 - 4 \ge 0$
$(t-2)(t+2) \ge 0$
Решением этого неравенства является объединение промежутков $t \le -2$ и $t \ge 2$.
Возвращаемся к исходной переменной. Получаем совокупность двух неравенств:
$\log_{\frac{1}{3}} x \le -2$ или $\log_{\frac{1}{3}} x \ge 2$.
Так как основание логарифма $\frac{1}{3} < 1$, знак неравенства меняется:
$x \ge (\frac{1}{3})^{-2}$ или $x \le (\frac{1}{3})^2$
$x \ge 9$ или $x \le \frac{1}{9}$
Учитывая ОДЗ ($x > 0$), получаем два промежутка: $0 < x \le \frac{1}{9}$ и $x \ge 9$.
Ответ: $(0; \frac{1}{9}] \cup [9; +\infty)$
3) $\lg^2 x + 3\lg x - 4 < 0$
ОДЗ: $x > 0$.
Сделаем замену переменной: пусть $t = \lg x$. Неравенство примет вид:
$t^2 + 3t - 4 < 0$
Найдем корни уравнения $t^2 + 3t - 4 = 0$. По теореме Виета, $t_1 = 1$, $t_2 = -4$.
$(t+4)(t-1) < 0$
Решением этого квадратного неравенства является интервал $-4 < t < 1$.
Возвращаемся к исходной переменной:
$-4 < \lg x < 1$
Так как основание десятичного логарифма $10 > 1$, знак неравенства сохраняется:
$10^{-4} < x < 10^1$
$0.0001 < x < 10$
Это решение удовлетворяет ОДЗ.
Ответ: $(0.0001; 10)$
4) $\log_{\frac{1}{4}}^2 x + 2\log_{\frac{1}{4}} x - 8 \le 0$
ОДЗ: $x > 0$.
Сделаем замену переменной: пусть $t = \log_{\frac{1}{4}} x$. Неравенство примет вид:
$t^2 + 2t - 8 \le 0$
Найдем корни уравнения $t^2 + 2t - 8 = 0$. По теореме Виета, $t_1 = 2$, $t_2 = -4$.
$(t+4)(t-2) \le 0$
Решением является отрезок $-4 \le t \le 2$.
Возвращаемся к исходной переменной:
$-4 \le \log_{\frac{1}{4}} x \le 2$
Так как основание логарифма $\frac{1}{4} < 1$, знаки неравенств меняются:
$(\frac{1}{4})^2 \le x \le (\frac{1}{4})^{-4}$
$\frac{1}{16} \le x \le 4^4$
$\frac{1}{16} \le x \le 256$
Это решение удовлетворяет ОДЗ.
Ответ: $[\frac{1}{16}; 256]$
5) $\log_2^2 x - 5\log_2 x + 6 \ge 0$
ОДЗ: $x > 0$.
Сделаем замену переменной: пусть $t = \log_2 x$. Неравенство примет вид:
$t^2 - 5t + 6 \ge 0$
Найдем корни уравнения $t^2 - 5t + 6 = 0$. По теореме Виета, $t_1 = 2$, $t_2 = 3$.
$(t-2)(t-3) \ge 0$
Решением является объединение промежутков $t \le 2$ и $t \ge 3$.
Возвращаемся к исходной переменной:
$\log_2 x \le 2$ или $\log_2 x \ge 3$.
Так как основание логарифма $2 > 1$, знак неравенства сохраняется:
$x \le 2^2$ или $x \ge 2^3$
$x \le 4$ или $x \ge 8$
Учитывая ОДЗ ($x > 0$), получаем $0 < x \le 4$ или $x \ge 8$.
Ответ: $(0; 4] \cup [8; +\infty)$
6) $2\log_{\frac{1}{9}}^2 x - 5\log_{\frac{1}{9}} x + 2 \ge 0$
ОДЗ: $x > 0$.
Сделаем замену переменной: пусть $t = \log_{\frac{1}{9}} x$. Неравенство примет вид:
$2t^2 - 5t + 2 \ge 0$
Найдем корни уравнения $2t^2 - 5t + 2 = 0$. Дискриминант $D = (-5)^2 - 4 \cdot 2 \cdot 2 = 25 - 16 = 9$.
$t_{1,2} = \frac{5 \pm \sqrt{9}}{4} = \frac{5 \pm 3}{4}$. Корни $t_1 = 2$, $t_2 = \frac{1}{2}$.
$2(t - \frac{1}{2})(t - 2) \ge 0$
Решением является объединение промежутков $t \le \frac{1}{2}$ и $t \ge 2$.
Возвращаемся к исходной переменной:
$\log_{\frac{1}{9}} x \le \frac{1}{2}$ или $\log_{\frac{1}{9}} x \ge 2$.
Так как основание логарифма $\frac{1}{9} < 1$, знаки неравенств меняются:
$x \ge (\frac{1}{9})^{\frac{1}{2}}$ или $x \le (\frac{1}{9})^2$
$x \ge \sqrt{\frac{1}{9}}$ или $x \le \frac{1}{81}$
$x \ge \frac{1}{3}$ или $x \le \frac{1}{81}$
Учитывая ОДЗ ($x > 0$), получаем $0 < x \le \frac{1}{81}$ или $x \ge \frac{1}{3}$.
Ответ: $(0; \frac{1}{81}] \cup [\frac{1}{3}; +\infty)$
№7.18 (с. 56)
Учебник. №7.18 (с. 56)
скриншот условия

7.18. Решите неравенство:
1) $log^2_{0.5} x \ge 9;$
2) $lg^2 x - 2lg x - 3 \ge 0;$
3) $2log^2_4 x - log_4 x - 1 < 0;$
4) $log^2_{0.2} x - log_{0.2} x - 2 \le 0.$
Решение. №7.18 (с. 56)

Решение 2. №7.18 (с. 56)
1) $\log_{0,5}^2 x \ge 9$
Область допустимых значений (ОДЗ) логарифма: $x > 0$.
Сделаем замену переменной. Пусть $t = \log_{0,5} x$. Неравенство примет вид:
$t^2 \ge 9$
$t^2 - 9 \ge 0$
$(t - 3)(t + 3) \ge 0$
Решением этого квадратного неравенства является совокупность $t \le -3$ или $t \ge 3$.
Выполним обратную замену:
$\log_{0,5} x \le -3$ или $\log_{0,5} x \ge 3$.
Решим каждое неравенство. Так как основание логарифма $0,5 < 1$, то при переходе к аргументам знак неравенства меняется на противоположный.
Из $\log_{0,5} x \le -3$ следует $x \ge (0,5)^{-3} = (\frac{1}{2})^{-3} = 2^3 = 8$.
Из $\log_{0,5} x \ge 3$ следует $x \le (0,5)^3 = (\frac{1}{2})^3 = \frac{1}{8}$.
Объединяя решения и учитывая ОДЗ ($x>0$), получаем: $0 < x \le \frac{1}{8}$ или $x \ge 8$.
Ответ: $x \in (0; \frac{1}{8}] \cup [8; +\infty)$.
2) $\lg^2 x - 2\lg x - 3 \ge 0$
ОДЗ: $x > 0$. (Здесь $\lg x$ это $\log_{10} x$)
Сделаем замену переменной. Пусть $t = \lg x$. Неравенство примет вид:
$t^2 - 2t - 3 \ge 0$
Найдем корни квадратного трехчлена $t^2 - 2t - 3 = 0$. По теореме Виета, корни $t_1 = 3$ и $t_2 = -1$.
Неравенство можно записать как $(t - 3)(t + 1) \ge 0$. Решением является $t \le -1$ или $t \ge 3$.
Выполним обратную замену:
$\lg x \le -1$ или $\lg x \ge 3$.
Решим каждое неравенство. Так как основание логарифма $10 > 1$, знак неравенства сохраняется.
Из $\lg x \le -1$ следует $x \le 10^{-1} = 0,1$.
Из $\lg x \ge 3$ следует $x \ge 10^3 = 1000$.
Учитывая ОДЗ ($x > 0$), получаем: $0 < x \le 0,1$ или $x \ge 1000$.
Ответ: $x \in (0; 0,1] \cup [1000; +\infty)$.
3) $2\log_4^2 x - \log_4 x - 1 < 0$
ОДЗ: $x > 0$.
Сделаем замену переменной. Пусть $t = \log_4 x$. Неравенство примет вид:
$2t^2 - t - 1 < 0$
Найдем корни квадратного трехчлена $2t^2 - t - 1 = 0$. Дискриминант $D = (-1)^2 - 4 \cdot 2 \cdot (-1) = 1 + 8 = 9$.
Корни $t_{1,2} = \frac{-(-1) \pm \sqrt{9}}{2 \cdot 2} = \frac{1 \pm 3}{4}$. То есть $t_1 = 1$ и $t_2 = -\frac{1}{2}$.
Неравенство можно записать как $2(t - 1)(t + \frac{1}{2}) < 0$. Решением является $-\frac{1}{2} < t < 1$.
Выполним обратную замену:
$-\frac{1}{2} < \log_4 x < 1$
Это двойное неравенство эквивалентно системе:
$\begin{cases} \log_4 x < 1 \\ \log_4 x > -\frac{1}{2} \end{cases}$
Так как основание логарифма $4 > 1$, знак неравенства сохраняется.
Из $\log_4 x < 1$ следует $x < 4^1 = 4$.
Из $\log_4 x > -\frac{1}{2}$ следует $x > 4^{-1/2} = (2^2)^{-1/2} = 2^{-1} = \frac{1}{2}$.
Объединяя решения, получаем $\frac{1}{2} < x < 4$. Это решение удовлетворяет ОДЗ.
Ответ: $x \in (\frac{1}{2}; 4)$.
4) $\log_{0,2}^2 x - \log_{0,2} x - 2 \le 0$
ОДЗ: $x > 0$.
Сделаем замену переменной. Пусть $t = \log_{0,2} x$. Неравенство примет вид:
$t^2 - t - 2 \le 0$
Найдем корни квадратного трехчлена $t^2 - t - 2 = 0$. По теореме Виета, корни $t_1 = 2$ и $t_2 = -1$.
Неравенство можно записать как $(t - 2)(t + 1) \le 0$. Решением является $-1 \le t \le 2$.
Выполним обратную замену:
$-1 \le \log_{0,2} x \le 2$
Это двойное неравенство. Так как основание логарифма $0,2 < 1$, знаки неравенства меняются на противоположные.
$(0,2)^2 \le x \le (0,2)^{-1}$
$( \frac{1}{5} )^2 \le x \le ( \frac{1}{5} )^{-1}$
$\frac{1}{25} \le x \le 5$
Или, в десятичных дробях: $0,04 \le x \le 5$. Это решение удовлетворяет ОДЗ.
Ответ: $x \in [0,04; 5]$.
№7.19 (с. 56)
Учебник. №7.19 (с. 56)
скриншот условия

7.19. Найдите множество решений неравенства:
1) $log_{2}^{2}(4x) + 2log_{2}x - 11 < 0;$
2) $log_{3}^{2}(27x) + 3log_{3}x - 19 \ge 0;$
3) $\frac{lg^{2}x + lg x - 6}{lg x} \ge 0;$
4) $2log_{5}x - log_{x}5 \le 1.$
Решение. №7.19 (с. 56)


Решение 2. №7.19 (с. 56)
1) Исходное неравенство: $log_2^2(4x) + 2log_2x - 11 < 0$.
Область допустимых значений (ОДЗ): $x > 0$.
Преобразуем первый член, используя свойство логарифма произведения $log_a(bc) = log_a(b) + log_a(c)$: $log_2(4x) = log_2(4) + log_2(x) = 2 + log_2(x)$.
Подставим это в неравенство: $(2 + log_2(x))^2 + 2log_2(x) - 11 < 0$.
Сделаем замену переменной. Пусть $t = log_2(x)$. $(2 + t)^2 + 2t - 11 < 0$
$4 + 4t + t^2 + 2t - 11 < 0$
$t^2 + 6t - 7 < 0$.
Найдем корни квадратного трехчлена $t^2 + 6t - 7 = 0$. По теореме Виета, $t_1 = 1$, $t_2 = -7$.
Неравенство можно записать в виде $(t - 1)(t + 7) < 0$.
Решением этого неравенства является интервал $-7 < t < 1$.
Вернемся к исходной переменной: $-7 < log_2(x) < 1$.
Так как основание логарифма $2 > 1$, знаки неравенства сохраняются: $2^{-7} < x < 2^1$
$1/128 < x < 2$.
Это решение удовлетворяет ОДЗ ($x > 0$).
Ответ: $x \in (1/128; 2)$.
2) Исходное неравенство: $log_3^2(27x) + 3log_3x - 19 \ge 0$.
ОДЗ: $x > 0$.
Преобразуем $log_3(27x) = log_3(27) + log_3(x) = 3 + log_3(x)$.
Подставим в неравенство: $(3 + log_3(x))^2 + 3log_3(x) - 19 \ge 0$.
Пусть $t = log_3(x)$. $(3 + t)^2 + 3t - 19 \ge 0$
$9 + 6t + t^2 + 3t - 19 \ge 0$
$t^2 + 9t - 10 \ge 0$.
Найдем корни уравнения $t^2 + 9t - 10 = 0$. По теореме Виета, $t_1 = 1$, $t_2 = -10$.
Неравенство можно записать как $(t - 1)(t + 10) \ge 0$.
Решением является объединение промежутков $t \le -10$ и $t \ge 1$.
Возвращаемся к переменной $x$: $log_3(x) \le -10$ или $log_3(x) \ge 1$.
Так как основание $3 > 1$: $x \le 3^{-10}$ или $x \ge 3^1$.
$x \le 1/59049$ или $x \ge 3$.
Учитывая ОДЗ ($x > 0$), получаем окончательное решение.
Ответ: $x \in (0; 1/59049] \cup [3; +\infty)$.
3) Исходное неравенство: $\frac{lg^2x + lgx - 6}{lgx} \ge 0$.
ОДЗ: $x > 0$ и $lgx \neq 0$, то есть $x \neq 1$.
Сделаем замену $t = lgx$. Неравенство принимает вид: $\frac{t^2 + t - 6}{t} \ge 0$.
Разложим числитель на множители. Корни уравнения $t^2 + t - 6 = 0$ равны $t_1 = 2$ и $t_2 = -3$.
$\frac{(t-2)(t+3)}{t} \ge 0$.
Решим это неравенство методом интервалов. Отметим на числовой оси точки $t=-3, t=0, t=2$. Точки $t=-3$ и $t=2$ (нули числителя) будут закрашенными, а точка $t=0$ (нуль знаменателя) — выколотой.
Интервалы, на которых выражение положительно: $[-3; 0)$ и $[2; +\infty)$.
Таким образом, $-3 \le t < 0$ или $t \ge 2$.
Вернемся к $x$: $-3 \le lgx < 0$ или $lgx \ge 2$.
Так как основание десятичного логарифма $10 > 1$: $10^{-3} \le x < 10^0$ или $x \ge 10^2$.
$0.001 \le x < 1$ или $x \ge 100$.
Данное решение удовлетворяет ОДЗ.
Ответ: $x \in [0.001; 1) \cup [100; +\infty)$.
4) Исходное неравенство: $2log_5x - log_x5 \le 1$.
ОДЗ: $x > 0$ и $x \neq 1$.
Используем формулу перехода к новому основанию: $log_x5 = \frac{1}{log_5x}$.
Неравенство примет вид: $2log_5x - \frac{1}{log_5x} \le 1$.
Сделаем замену $t = log_5x$. Учитывая ОДЗ ($x \neq 1$), имеем $t \neq 0$. $2t - \frac{1}{t} \le 1$
$2t - \frac{1}{t} - 1 \le 0$
$\frac{2t^2 - 1 - t}{t} \le 0$
$\frac{2t^2 - t - 1}{t} \le 0$.
Найдем корни числителя $2t^2 - t - 1 = 0$. $D = (-1)^2 - 4 \cdot 2 \cdot (-1) = 9$. $t_1 = \frac{1+3}{4} = 1$, $t_2 = \frac{1-3}{4} = -1/2$.
Неравенство запишется как $\frac{2(t-1)(t+1/2)}{t} \le 0$.
Решим методом интервалов. Нули числителя: $t=1, t=-1/2$. Нуль знаменателя: $t=0$.
Решением неравенства являются промежутки $t \le -1/2$ и $0 < t \le 1$.
Возвращаемся к $x$: $log_5x \le -1/2$ или $0 < log_5x \le 1$.
Так как основание логарифма $5 > 1$: $x \le 5^{-1/2}$ или $5^0 < x \le 5^1$.
$x \le \frac{1}{\sqrt{5}}$ или $1 < x \le 5$.
Учитывая ОДЗ ($x > 0$), получаем $0 < x \le \frac{1}{\sqrt{5}}$ или $1 < x \le 5$.
Ответ: $x \in (0; 1/\sqrt{5}] \cup (1; 5]$.
№7.20 (с. 56)
Учебник. №7.20 (с. 56)
скриншот условия

7.20. Решите неравенство:
1) $ \log_7^2 (7x) - \log_7 x \ge 3; $
2) $ \log_6^2 \frac{x}{216} + 8\log_6 x - 12 \le 0; $
3) $ \frac{\log_3^2 x - 6\log_3 x + 8}{\log_3 x - 1} \ge 0; $
4) $ \log_{0.5} x - 2\log_x 0.5 \le 1. $
Решение. №7.20 (с. 56)


Решение 2. №7.20 (с. 56)
1) $ \log_7^2(7x) - \log_7 x \ge 3 $
Область допустимых значений (ОДЗ): аргументы логарифмов должны быть положительными.
$ 7x > 0 \implies x > 0 $
$ x > 0 $
Следовательно, ОДЗ: $ x \in (0, +\infty) $.
Используем свойство логарифма произведения: $ \log_a(bc) = \log_a b + \log_a c $.
$ \log_7(7x) = \log_7 7 + \log_7 x = 1 + \log_7 x $.
Подставим это в исходное неравенство:
$ (1 + \log_7 x)^2 - \log_7 x \ge 3 $
Сделаем замену переменной. Пусть $ t = \log_7 x $.
$ (1 + t)^2 - t \ge 3 $
Решим полученное неравенство относительно $t$:
$ 1 + 2t + t^2 - t \ge 3 $
$ t^2 + t - 2 \ge 0 $
Найдем корни квадратного трехчлена $ t^2 + t - 2 = 0 $. По теореме Виета, корни $ t_1 = 1 $ и $ t_2 = -2 $.
Поскольку это парабола с ветвями вверх, неравенство $ t^2 + t - 2 \ge 0 $ выполняется при $ t \le -2 $ или $ t \ge 1 $.
Выполним обратную замену:
1. $ \log_7 x \le -2 $. Так как основание логарифма $ 7 > 1 $, функция возрастающая, знак неравенства сохраняется: $ x \le 7^{-2} \implies x \le \frac{1}{49} $.
2. $ \log_7 x \ge 1 $. Аналогично, $ x \ge 7^1 \implies x \ge 7 $.
Объединим полученные решения с ОДЗ ($x > 0$):
$ 0 < x \le \frac{1}{49} $ и $ x \ge 7 $.
Ответ: $ x \in (0, \frac{1}{49}] \cup [7, +\infty) $.
2) $ \log_6^2 \frac{x}{216} + 8\log_6 x - 12 \le 0 $
ОДЗ: $ x > 0 $ и $ \frac{x}{216} > 0 $. Оба условия сводятся к $ x > 0 $.
ОДЗ: $ x \in (0, +\infty) $.
Используем свойство логарифма частного: $ \log_a \frac{b}{c} = \log_a b - \log_a c $.
$ \log_6 \frac{x}{216} = \log_6 x - \log_6 216 $. Поскольку $ 216 = 6^3 $, то $ \log_6 216 = 3 $.
Таким образом, $ \log_6 \frac{x}{216} = \log_6 x - 3 $.
Подставим в неравенство:
$ (\log_6 x - 3)^2 + 8\log_6 x - 12 \le 0 $
Сделаем замену $ t = \log_6 x $:
$ (t - 3)^2 + 8t - 12 \le 0 $
Решим неравенство относительно $t$:
$ t^2 - 6t + 9 + 8t - 12 \le 0 $
$ t^2 + 2t - 3 \le 0 $
Найдем корни уравнения $ t^2 + 2t - 3 = 0 $. По теореме Виета, $ t_1 = 1 $ и $ t_2 = -3 $.
Парабола с ветвями вверх, поэтому неравенство $ t^2 + 2t - 3 \le 0 $ выполняется между корнями: $ -3 \le t \le 1 $.
Выполним обратную замену:
$ -3 \le \log_6 x \le 1 $.
Так как основание логарифма $ 6 > 1 $, функция возрастающая:
$ 6^{-3} \le x \le 6^1 $
$ \frac{1}{216} \le x \le 6 $.
Это решение полностью входит в ОДЗ.
Ответ: $ x \in [\frac{1}{216}, 6] $.
3) $ \frac{\log_3^2 x - 6\log_3 x + 8}{\log_3 x - 1} \ge 0 $
ОДЗ: $ x > 0 $ и знаменатель не равен нулю $ \log_3 x - 1 \neq 0 \implies \log_3 x \neq 1 \implies x \neq 3 $.
ОДЗ: $ x \in (0, 3) \cup (3, +\infty) $.
Сделаем замену $ t = \log_3 x $:
$ \frac{t^2 - 6t + 8}{t - 1} \ge 0 $
Решим это рациональное неравенство методом интервалов.
Найдем корни числителя: $ t^2 - 6t + 8 = 0 \implies t_1 = 2, t_2 = 4 $.
Найдем корень знаменателя: $ t - 1 = 0 \implies t_3 = 1 $.
Неравенство можно переписать в виде: $ \frac{(t-2)(t-4)}{t-1} \ge 0 $.
Наносим точки $1, 2, 4$ на числовую ось и определяем знаки на интервалах. Точки $2, 4$ закрашенные, точка $1$ выколотая.
Интервалы, где выражение неотрицательно: $ (1, 2] \cup [4, +\infty) $.
Выполним обратную замену:
1. $ 1 < \log_3 x \le 2 $. Так как основание $ 3 > 1 $: $ 3^1 < x \le 3^2 \implies 3 < x \le 9 $.
2. $ \log_3 x \ge 4 $. Аналогично: $ x \ge 3^4 \implies x \ge 81 $.
Оба интервала удовлетворяют ОДЗ.
Ответ: $ x \in (3, 9] \cup [81, +\infty) $.
4) $ \log_{0.5} x - 2\log_x 0.5 \le 1 $
ОДЗ: аргумент логарифма $ x > 0 $, основание логарифма $ x > 0 $ и $ x \neq 1 $.
ОДЗ: $ x \in (0, 1) \cup (1, +\infty) $.
Используем формулу перехода к новому основанию: $ \log_b a = \frac{1}{\log_a b} $.
$ \log_x 0.5 = \frac{1}{\log_{0.5} x} $.
Подставим в неравенство:
$ \log_{0.5} x - \frac{2}{\log_{0.5} x} \le 1 $
Сделаем замену $ t = \log_{0.5} x $:
$ t - \frac{2}{t} \le 1 $
Решим неравенство относительно $t$:
$ t - \frac{2}{t} - 1 \le 0 $
$ \frac{t^2 - t - 2}{t} \le 0 $
Решим методом интервалов. Корни числителя $ t^2 - t - 2 = 0 $: $ t_1 = 2, t_2 = -1 $. Корень знаменателя: $ t_3 = 0 $.
Неравенство в виде $ \frac{(t-2)(t+1)}{t} \le 0 $.
Наносим точки $-1, 0, 2$ на числовую ось. Точки $-1, 2$ закрашенные, точка $0$ выколотая.
Интервалы, где выражение неположительно: $ (-\infty, -1] \cup (0, 2] $.
Выполним обратную замену. Учитываем, что основание логарифма $ 0.5 < 1 $, поэтому логарифмическая функция убывающая и при потенцировании знак неравенства меняется на противоположный.
1. $ \log_{0.5} x \le -1 \implies x \ge (0.5)^{-1} \implies x \ge 2 $.
2. $ 0 < \log_{0.5} x \le 2 $. Это двойное неравенство:
$ \log_{0.5} x > 0 \implies x < (0.5)^0 \implies x < 1 $.
$ \log_{0.5} x \le 2 \implies x \ge (0.5)^2 \implies x \ge 0.25 $.
Объединяя, получаем $ 0.25 \le x < 1 $.
Объединяем полученные решения, они удовлетворяют ОДЗ.
Ответ: $ x \in [0.25, 1) \cup [2, +\infty) $.
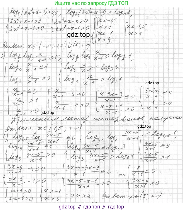
№7.21 (с. 56)
Учебник. №7.21 (с. 56)
скриншот условия

7.21. Решите неравенство:
1) $\log_{1,6} \log_{0,5} (x^2 - x - 6) \ge 0;$
2) $\log_{0,5} \log_4 (2x^2 + x - 1) < 1;$
3) $\log_{\frac{1}{9}} \log_3 \frac{x}{x - 1} \ge 0;$
4) $\log_{1,5} \log_3 \frac{3x - 5}{x + 1} \le 0.$
Решение. №7.21 (с. 56)


Решение 2. №7.21 (с. 56)
1) $\log_{1.6}(\log_{0.5}(x^2 - x - 6)) \geq 0$
Данное неравенство равносильно системе неравенств. Во-первых, найдём область допустимых значений (ОДЗ). Аргумент логарифма должен быть строго больше нуля.
$\begin{cases} \log_{0.5}(x^2 - x - 6) > 0 \\ x^2 - x - 6 > 0 \end{cases}$
Решим первое неравенство системы ОДЗ: $\log_{0.5}(x^2 - x - 6) > 0$.
Так как основание логарифма $0.5 < 1$, то при переходе к аргументам знак неравенства меняется на противоположный. $0 = \log_{0.5}(1)$.
$x^2 - x - 6 < 1$
$x^2 - x - 7 < 0$
Найдём корни уравнения $x^2 - x - 7 = 0$: $D = (-1)^2 - 4(1)(-7) = 1 + 28 = 29$.
$x_{1,2} = \frac{1 \pm \sqrt{29}}{2}$.
Решением неравенства $x^2 - x - 7 < 0$ является интервал $x \in (\frac{1 - \sqrt{29}}{2}, \frac{1 + \sqrt{29}}{2})$.
Решим второе неравенство системы ОДЗ: $x^2 - x - 6 > 0$.
Найдём корни уравнения $x^2 - x - 6 = 0$. По теореме Виета, корни $x_1 = 3, x_2 = -2$.
Решением неравенства $x^2 - x - 6 > 0$ является объединение интервалов $x \in (-\infty, -2) \cup (3, \infty)$.
Пересекая решения двух неравенств, получаем ОДЗ:
$x \in (\frac{1 - \sqrt{29}}{2}, -2) \cup (3, \frac{1 + \sqrt{29}}{2})$.
(Приблизительно: $\sqrt{29} \approx 5.39$, поэтому $\frac{1 - \sqrt{29}}{2} \approx -2.19$ и $\frac{1 + \sqrt{29}}{2} \approx 3.19$)
Теперь решим исходное неравенство: $\log_{1.6}(\log_{0.5}(x^2 - x - 6)) \geq 0$.
Так как основание $1.6 > 1$, знак неравенства сохраняется. $0 = \log_{1.6}(1)$.
$\log_{0.5}(x^2 - x - 6) \geq 1$
Так как основание $0.5 < 1$, знак неравенства меняется. $1 = \log_{0.5}(0.5)$.
$x^2 - x - 6 \leq 0.5$
$x^2 - x - 6.5 \leq 0$
$2x^2 - 2x - 13 \leq 0$
Найдём корни уравнения $2x^2 - 2x - 13 = 0$: $D = (-2)^2 - 4(2)(-13) = 4 + 104 = 108 = 36 \cdot 3$.
$x_{1,2} = \frac{2 \pm \sqrt{108}}{4} = \frac{2 \pm 6\sqrt{3}}{4} = \frac{1 \pm 3\sqrt{3}}{2}$.
Решением неравенства $2x^2 - 2x - 13 \leq 0$ является отрезок $x \in [\frac{1 - 3\sqrt{3}}{2}, \frac{1 + 3\sqrt{3}}{2}]$.
Найдём пересечение полученного решения с ОДЗ.
Сравним значения: $\frac{1 - 3\sqrt{3}}{2} \approx -2.1$ и $\frac{1 - \sqrt{29}}{2} \approx -2.19$. Так как $\sqrt{27} < \sqrt{29}$, то $3\sqrt{3} < \sqrt{29}$, $-3\sqrt{3} > -\sqrt{29}$, значит $\frac{1 - 3\sqrt{3}}{2} > \frac{1 - \sqrt{29}}{2}$.
Сравним значения: $\frac{1 + 3\sqrt{3}}{2} \approx 3.1$ и $\frac{1 + \sqrt{29}}{2} \approx 3.19$. Так как $3\sqrt{3} < \sqrt{29}$, то $\frac{1 + 3\sqrt{3}}{2} < \frac{1 + \sqrt{29}}{2}$.
Пересечение множеств $[\frac{1 - 3\sqrt{3}}{2}, \frac{1 + 3\sqrt{3}}{2}]$ и $(\frac{1 - \sqrt{29}}{2}, -2) \cup (3, \frac{1 + \sqrt{29}}{2})$ даёт:
$x \in [\frac{1 - 3\sqrt{3}}{2}, -2) \cup (3, \frac{1 + 3\sqrt{3}}{2}]$.
Ответ: $x \in [\frac{1 - 3\sqrt{3}}{2}, -2) \cup (3, \frac{1 + 3\sqrt{3}}{2}]$.
2) $\log_{0.5}(\log_4(2x^2 + x - 1)) < 1$
Найдём ОДЗ. Аргументы логарифмов должны быть положительны.
$\begin{cases} \log_4(2x^2 + x - 1) > 0 \\ 2x^2 + x - 1 > 0 \end{cases}$
Из первого неравенства: основание $4 > 1$, поэтому $2x^2 + x - 1 > 4^0 = 1$.
$2x^2 + x - 2 > 0$.
Это неравенство сильнее, чем $2x^2 + x - 1 > 0$, поэтому достаточно решить только его для нахождения ОДЗ.
Найдём корни $2x^2 + x - 2 = 0$: $D = 1^2 - 4(2)(-2) = 1 + 16 = 17$.
$x_{1,2} = \frac{-1 \pm \sqrt{17}}{4}$.
ОДЗ: $x \in (-\infty, \frac{-1 - \sqrt{17}}{4}) \cup (\frac{-1 + \sqrt{17}}{4}, \infty)$.
Решим исходное неравенство: $\log_{0.5}(\log_4(2x^2 + x - 1)) < 1$.
Основание $0.5 < 1$, поэтому знак неравенства меняется.
$\log_4(2x^2 + x - 1) > (0.5)^1 = 0.5$
Основание $4 > 1$, знак неравенства сохраняется.
$2x^2 + x - 1 > 4^{0.5} = \sqrt{4} = 2$
$2x^2 + x - 3 > 0$
Найдём корни $2x^2 + x - 3 = 0$: $D = 1^2 - 4(2)(-3) = 1 + 24 = 25$.
$x_{1,2} = \frac{-1 \pm 5}{4}$. Корни $x_1 = 1, x_2 = -\frac{6}{4} = -\frac{3}{2}$.
Решение этого неравенства: $x \in (-\infty, -3/2) \cup (1, \infty)$.
Пересечём полученное решение с ОДЗ.
Сравним $-\frac{3}{2}$ и $\frac{-1 - \sqrt{17}}{4}$. $-\frac{6}{4}$ и $\frac{-1 - \sqrt{17}}{4}$. Сравним $-6$ и $-1 - \sqrt{17}$, или $-5$ и $-\sqrt{17}$. Возведём в квадрат модули: $25 > 17$, значит $5 > \sqrt{17}$, тогда $-5 < -\sqrt{17}$ и $-6 < -1-\sqrt{17}$. Следовательно, $-\frac{3}{2} < \frac{-1 - \sqrt{17}}{4}$.
Сравним $1$ и $\frac{-1 + \sqrt{17}}{4}$. $4$ и $-1 + \sqrt{17}$, или $5$ и $\sqrt{17}$. $25 > 17$, значит $5 > \sqrt{17}$, следовательно $1 > \frac{-1 + \sqrt{17}}{4}$.
Таким образом, пересекая $x \in (-\infty, -3/2) \cup (1, \infty)$ с ОДЗ $x \in (-\infty, \frac{-1 - \sqrt{17}}{4}) \cup (\frac{-1 + \sqrt{17}}{4}, \infty)$, получаем:
$x \in (-\infty, -3/2) \cup (1, \infty)$.
Ответ: $x \in (-\infty, -\frac{3}{2}) \cup (1, \infty)$.
3) $\log_{\frac{1}{9}}(\log_3 \frac{x}{x-1}) \geq 0$
Найдём ОДЗ.
$\begin{cases} \log_3 \frac{x}{x-1} > 0 \\ \frac{x}{x-1} > 0 \end{cases}$
Из первого неравенства (основание $3 > 1$): $\frac{x}{x-1} > 3^0 = 1$.
$\frac{x}{x-1} - 1 > 0 \implies \frac{x - (x-1)}{x-1} > 0 \implies \frac{1}{x-1} > 0$.
Отсюда $x-1 > 0 \implies x > 1$.
Это условие автоматически удовлетворяет и второму неравенству $\frac{x}{x-1} > 0$.
ОДЗ: $x \in (1, \infty)$.
Решим исходное неравенство: $\log_{\frac{1}{9}}(\log_3 \frac{x}{x-1}) \geq 0$.
Основание $\frac{1}{9} < 1$, знак неравенства меняется.
$\log_3 \frac{x}{x-1} \leq (\frac{1}{9})^0 = 1$
Основание $3 > 1$, знак неравенства сохраняется.
$\frac{x}{x-1} \leq 3^1 = 3$
$\frac{x}{x-1} - 3 \leq 0 \implies \frac{x - 3(x-1)}{x-1} \leq 0 \implies \frac{x - 3x + 3}{x-1} \leq 0$
$\frac{-2x + 3}{x-1} \leq 0$
Умножим на -1 и сменим знак:
$\frac{2x - 3}{x-1} \geq 0$
Методом интервалов находим корни числителя и знаменателя: $x = 3/2$ и $x = 1$.
Решение этого неравенства: $x \in (-\infty, 1) \cup [3/2, \infty)$.
Пересекаем полученное решение с ОДЗ $x \in (1, \infty)$.
Пересечением является $x \in [3/2, \infty)$.
Ответ: $x \in [\frac{3}{2}, \infty)$.
4) $\log_{1.5}(\log_3 \frac{3x-5}{x+1}) \leq 0$
Найдём ОДЗ.
$\begin{cases} \log_3 \frac{3x-5}{x+1} > 0 \\ \frac{3x-5}{x+1} > 0 \end{cases}$
Из первого неравенства (основание $3 > 1$): $\frac{3x-5}{x+1} > 3^0 = 1$.
$\frac{3x-5}{x+1} - 1 > 0 \implies \frac{3x - 5 - (x+1)}{x+1} > 0 \implies \frac{2x - 6}{x+1} > 0$
$\frac{x - 3}{x+1} > 0$
Методом интервалов (корни -1 и 3) получаем ОДЗ: $x \in (-\infty, -1) \cup (3, \infty)$.
Решим исходное неравенство: $\log_{1.5}(\log_3 \frac{3x-5}{x+1}) \leq 0$.
Основание $1.5 > 1$, знак неравенства сохраняется.
$\log_3 \frac{3x-5}{x+1} \leq (1.5)^0 = 1$
Основание $3 > 1$, знак неравенства сохраняется.
$\frac{3x-5}{x+1} \leq 3^1 = 3$
$\frac{3x-5}{x+1} - 3 \leq 0 \implies \frac{3x - 5 - 3(x+1)}{x+1} \leq 0 \implies \frac{3x - 5 - 3x - 3}{x+1} \leq 0$
$\frac{-8}{x+1} \leq 0$
Это неравенство верно, когда знаменатель положителен:
$x+1 > 0 \implies x > -1$.
Пересекаем полученное решение $x > -1$ с ОДЗ $x \in (-\infty, -1) \cup (3, \infty)$.
Пересечением является $x \in (3, \infty)$.
Ответ: $x \in (3, \infty)$.
Помогло решение? Оставьте отзыв в комментариях ниже.