Номер 3.268, страница 109, часть 1 - гдз по математике 5 класс учебник Виленкин, Жохов

Авторы: Виленкин Н. Я., Жохов В. И., Чесноков А. С., Александрова Л. А., Шварцбурд С. И.
Тип: Учебник
Издательство: Просвещение
Год издания: 2023 - 2025
Уровень обучения: базовый
Часть: 1
Цвет обложки: белый, красный, синий с пазлами
Допущено Министерством просвещения Российской Федерации
Популярные ГДЗ в 5 классе
16. Порядок действий в вычислениях. § 3. Умножение и деление натуральных чисел. Глава 1. Натуральные числа. ч. 1 - номер 3.268, страница 109.
№3.268 (с. 109)
Условие. №3.268 (с. 109)
скриншот условия

3.268 Вычислите:
а) 465 : (141 + 14 • 22 - 11 • 38) + 594 : 33;
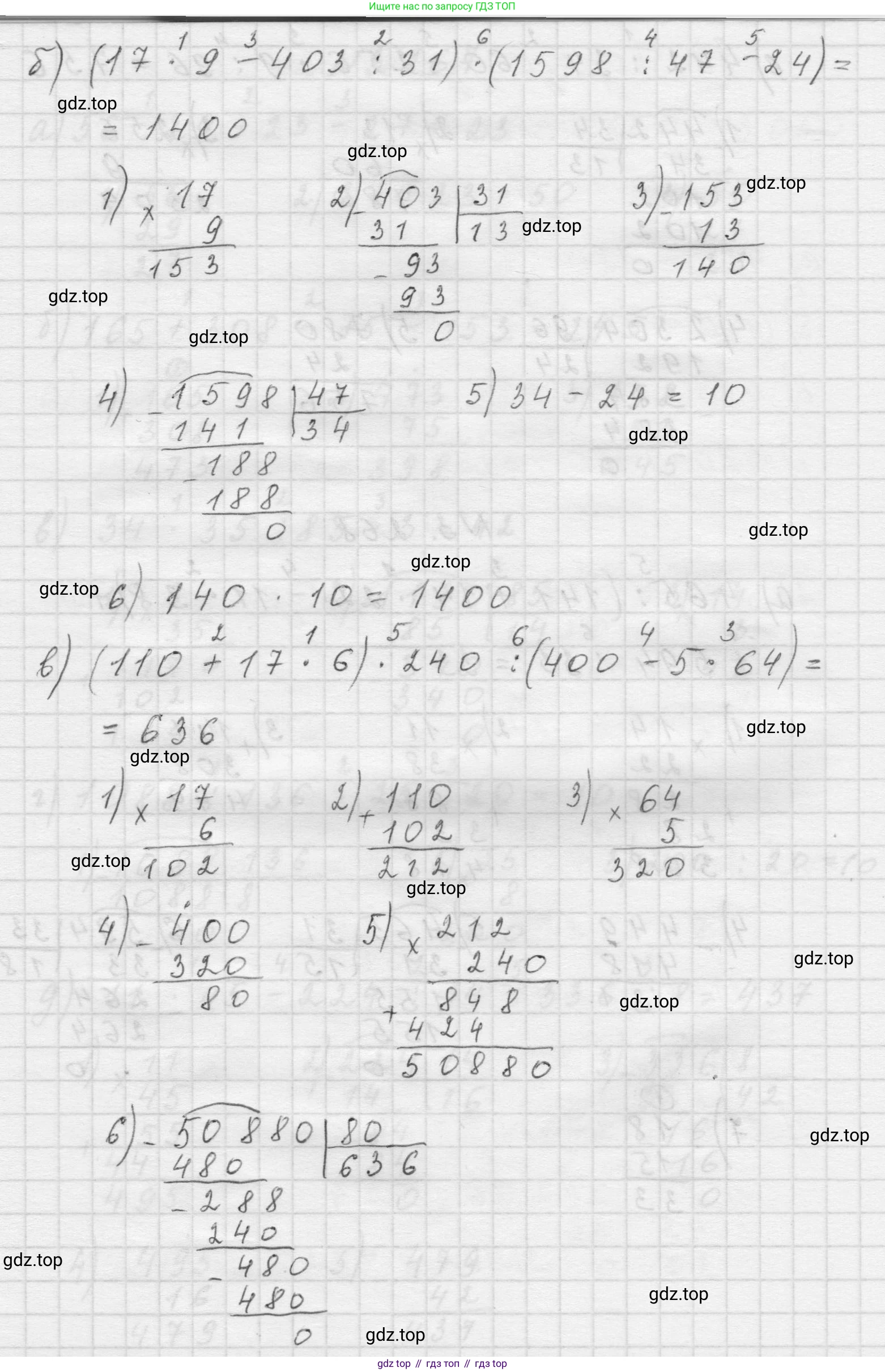
б) (17 • 9 - 403 : 31) • (1598 : 47 - 24);
в) (110 + 17 • 6) • 240 : (400 - 5 • 64);
г) (54 + 1112 • 139) • 31 - 46;
д) 8607 + 7605 + (376 012 - 83 314) : 414 : 7;
е) (5980 + 6620) : 28 : (5 • 3 + 15 • 29).
Решение 1. №3.268 (с. 109)







б)




в)






г)




д)




е)




Решение 2. №3.268 (с. 109)
а) Вычислим выражение по действиям, соблюдая порядок: сначала действия в скобках (умножение/деление, затем сложение/вычитание), затем деление и сложение вне скобок.
1. Вычислим значение в скобках: $(141 + 14 \cdot 22 - 11 \cdot 38)$
$14 \cdot 22 = 308$
$11 \cdot 38 = 418$
$141 + 308 - 418 = 449 - 418 = 31$
2. Теперь выражение выглядит так: $465 : 31 + 594 : 33$
3. Выполним деление:
$465 : 31 = 15$
$594 : 33 = 18$
4. Выполним сложение:
$15 + 18 = 33$
Ответ: 33
б) Сначала вычислим значения в каждой из скобок, затем перемножим результаты.
1. Первая скобка: $(17 \cdot 9 - 403 : 31)$
$17 \cdot 9 = 153$
$403 : 31 = 13$
$153 - 13 = 140$
2. Вторая скобка: $(1598 : 47 - 24)$
$1598 : 47 = 34$
$34 - 24 = 10$
3. Перемножим результаты:
$140 \cdot 10 = 1400$
Ответ: 1400
в) Сначала вычислим значения в скобках, затем выполним умножение и деление слева направо.
1. Первая скобка: $(110 + 17 \cdot 6)$
$17 \cdot 6 = 102$
$110 + 102 = 212$
2. Вторая скобка: $(400 - 5 \cdot 64)$
$5 \cdot 64 = 320$
$400 - 320 = 80$
3. Теперь выражение выглядит так: $212 \cdot 240 : 80$
Выполним действия слева направо:
$212 \cdot 240 = 50880$
$50880 : 80 = 636$
(Или можно сначала разделить $240 : 80 = 3$, а затем $212 \cdot 3 = 636$)
Ответ: 636
г) Сначала выполним действия в скобках (умножение, затем сложение), потом умножение и вычитание вне скобок.
1. Вычислим значение в скобках: $(54 + 1112 \cdot 139)$
$1112 \cdot 139 = 154568$
$54 + 154568 = 154622$
2. Теперь выражение выглядит так: $154622 \cdot 31 - 46$
3. Выполним умножение:
$154622 \cdot 31 = 4793282$
4. Выполним вычитание:
$4793282 - 46 = 4793236$
Ответ: 4793236
д) Сначала выполним вычитание в скобках, затем деление слева направо, и в конце сложение.
1. Вычислим значение в скобках: $(376012 - 83314)$
$376012 - 83314 = 292698$
2. Теперь выражение выглядит так: $8607 + 7605 + 292698 : 414 : 7$
3. Выполним деление слева направо:
$292698 : 414 = 707$
$707 : 7 = 101$
4. Выполним сложение:
$8607 + 7605 + 101 = 16212 + 101 = 16313$
Ответ: 16313
е) Сначала вычислим значения в обеих скобках, затем выполним деление слева направо.
1. Первая скобка: $(5980 + 6620)$
$5980 + 6620 = 12600$
2. Вторая скобка: $(5 \cdot 3 + 15 \cdot 29)$
$5 \cdot 3 = 15$
$15 \cdot 29 = 435$
$15 + 435 = 450$
3. Теперь выражение выглядит так: $12600 : 28 : 450$
4. Выполним деление слева направо:
$12600 : 28 = 450$
$450 : 450 = 1$
Ответ: 1
Решение 3. №3.268 (с. 109)


Решение 4. №3.268 (с. 109)



Другие задания:
Помогло решение? Оставьте отзыв в комментариях ниже.
Мы подготовили для вас ответ c подробным объяснением домашего задания по математике за 5 класс, для упражнения номер 3.268 расположенного на странице 109 для 1-й части к учебнику 2023 года издания для учащихся школ и гимназий.
Теперь на нашем сайте ГДЗ.ТОП вы всегда легко и бесплатно найдёте условие с правильным ответом на вопрос «Как решить ДЗ» и «Как сделать» задание по математике к упражнению №3.268 (с. 109), авторов: Виленкин (Наум Яковлевич), Жохов (Владимир Иванович), Чесноков (Александр Семёнович), Александрова (Лилия Александровна), Шварцбурд (Семён Исаакович), 1-й части ФГОС (новый, красный) базовый уровень обучения учебного пособия издательства Просвещение.