Номер 3.315, страница 115, часть 1 - гдз по математике 5 класс учебник Виленкин, Жохов

Авторы: Виленкин Н. Я., Жохов В. И., Чесноков А. С., Александрова Л. А., Шварцбурд С. И.
Тип: Учебник
Издательство: Просвещение
Год издания: 2023 - 2025
Уровень обучения: базовый
Часть: 1
Цвет обложки: белый, красный, синий с пазлами
Допущено Министерством просвещения Российской Федерации
Популярные ГДЗ в 5 классе
17. Степень с натуральным показателем. § 3. Умножение и деление натуральных чисел. Глава 1. Натуральные числа. ч. 1 - номер 3.315, страница 115.
№3.315 (с. 115)
Условие. №3.315 (с. 115)
скриншот условия

3.315 Представьте в виде суммы разрядных слагаемых числа:
а) 1 236 078;
б) 33 033 330;
в) 11 101 110 100;
г) 246 135 789 000.
Решение 1. №3.315 (с. 115)
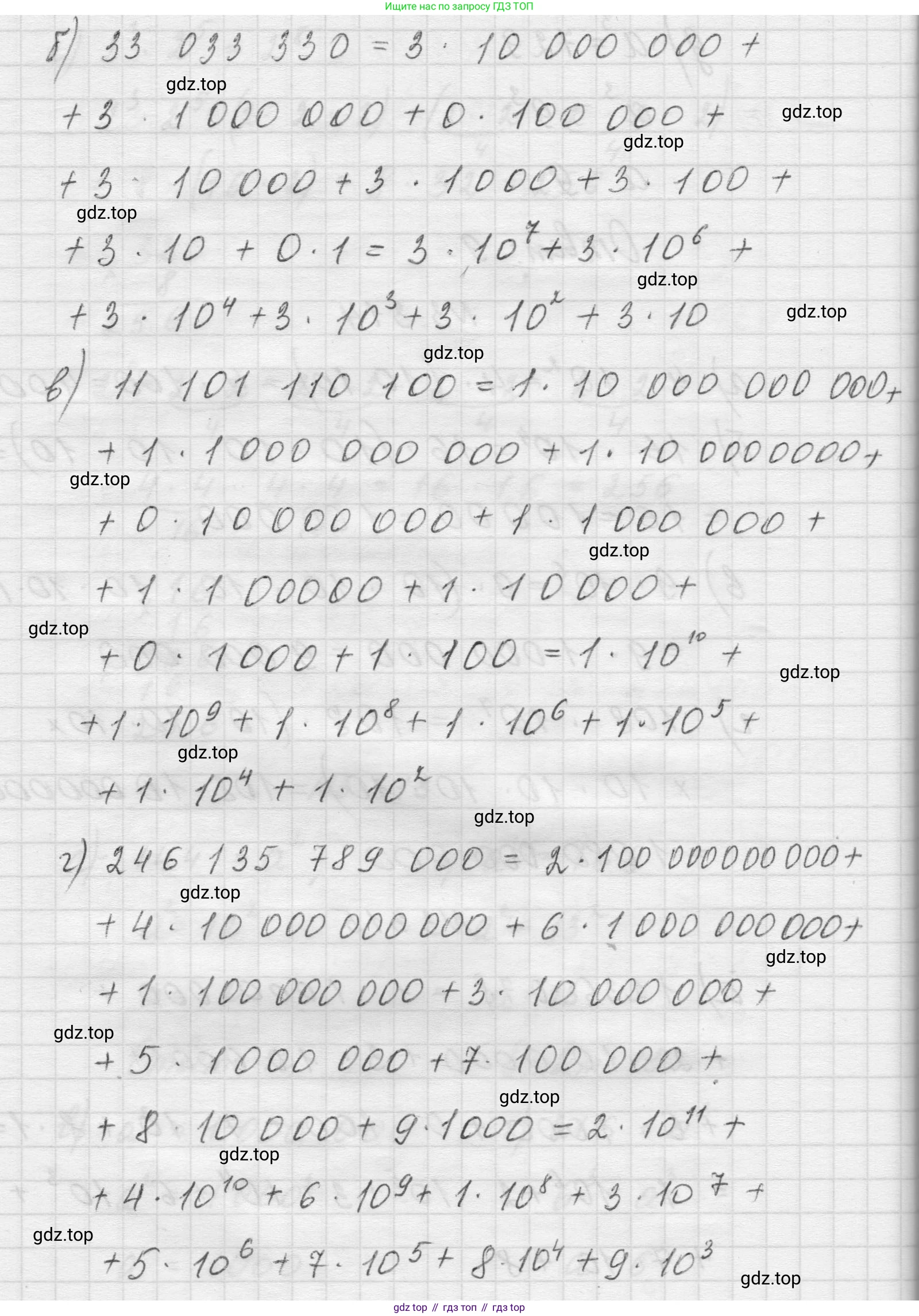
a)
б)
в)
г)
Решение 2. №3.315 (с. 115)
а) Чтобы представить число в виде суммы разрядных слагаемых, необходимо определить значение каждой его цифры в зависимости от ее позиции (разряда). Для числа 1 236 078 разложение будет следующим:
- Цифра 1 находится в разряде миллионов, ее значение — $1 \cdot 1~000~000 = 1~000~000$.
- Цифра 2 находится в разряде сотен тысяч, ее значение — $2 \cdot 100~000 = 200~000$.
- Цифра 3 находится в разряде десятков тысяч, ее значение — $3 \cdot 10~000 = 30~000$.
- Цифра 6 находится в разряде тысяч, ее значение — $6 \cdot 1~000 = 6~000$.
- Цифра 0 находится в разряде сотен, ее значение — $0$. Это слагаемое можно опустить.
- Цифра 7 находится в разряде десятков, ее значение — $7 \cdot 10 = 70$.
- Цифра 8 находится в разряде единиц, ее значение — $8 \cdot 1 = 8$.
Теперь сложим все ненулевые разрядные слагаемые:
$1~236~078 = 1~000~000 + 200~000 + 30~000 + 6~000 + 70 + 8$.
Ответ: $1~236~078 = 1~000~000 + 200~000 + 30~000 + 6~000 + 70 + 8$.
б) Разложим число 33 033 330 на разрядные слагаемые:
- 3 в разряде десятков миллионов: $30~000~000$.
- 3 в разряде миллионов: $3~000~000$.
- 0 в разряде сотен тысяч: $0$.
- 3 в разряде десятков тысяч: $30~000$.
- 3 в разряде тысяч: $3~000$.
- 3 в разряде сотен: $300$.
- 3 в разряде десятков: $30$.
- 0 в разряде единиц: $0$.
Суммируем все ненулевые слагаемые:
$33~033~330 = 30~000~000 + 3~000~000 + 30~000 + 3~000 + 300 + 30$.
Ответ: $33~033~330 = 30~000~000 + 3~000~000 + 30~000 + 3~000 + 300 + 30$.
в) Представим число 11 101 110 100 в виде суммы разрядных слагаемых. Это многозначное число, разряды которого включают миллиарды.
- 1 в разряде десятков миллиардов: $10~000~000~000$.
- 1 в разряде миллиардов: $1~000~000~000$.
- 1 в разряде сотен миллионов: $100~000~000$.
- 0 в разряде десятков миллионов: $0$.
- 1 в разряде миллионов: $1~000~000$.
- 1 в разряде сотен тысяч: $100~000$.
- 1 в разряде десятков тысяч: $10~000$.
- 0 в разряде тысяч: $0$.
- 1 в разряде сотен: $100$.
- 0 в разряде десятков: $0$.
- 0 в разряде единиц: $0$.
Итоговая сумма:
$11~101~110~100 = 10~000~000~000 + 1~000~000~000 + 100~000~000 + 1~000~000 + 100~000 + 10~000 + 100$.
Ответ: $11~101~110~100 = 10~000~000~000 + 1~000~000~000 + 100~000~000 + 1~000~000 + 100~000 + 10~000 + 100$.
г) Разложим число 246 135 789 000 на разрядные слагаемые:
- 2 в разряде сотен миллиардов: $200~000~000~000$.
- 4 в разряде десятков миллиардов: $40~000~000~000$.
- 6 в разряде миллиардов: $6~000~000~000$.
- 1 в разряде сотен миллионов: $100~000~000$.
- 3 в разряде десятков миллионов: $30~000~000$.
- 5 в разряде миллионов: $5~000~000$.
- 7 в разряде сотен тысяч: $700~000$.
- 8 в разряде десятков тысяч: $80~000$.
- 9 в разряде тысяч: $9~000$.
Разряды сотен, десятков и единиц равны нулю.
Сумма разрядных слагаемых:
$246~135~789~000 = 200~000~000~000 + 40~000~000~000 + 6~000~000~000 + 100~000~000 + 30~000~000 + 5~000~000 + 700~000 + 80~000 + 9~000$.
Ответ: $246~135~789~000 = 200~000~000~000 + 40~000~000~000 + 6~000~000~000 + 100~000~000 + 30~000~000 + 5~000~000 + 700~000 + 80~000 + 9~000$.
Решение 3. №3.315 (с. 115)


Решение 4. №3.315 (с. 115)

Другие задания:
Помогло решение? Оставьте отзыв в комментариях ниже.
Мы подготовили для вас ответ c подробным объяснением домашего задания по математике за 5 класс, для упражнения номер 3.315 расположенного на странице 115 для 1-й части к учебнику 2023 года издания для учащихся школ и гимназий.
Теперь на нашем сайте ГДЗ.ТОП вы всегда легко и бесплатно найдёте условие с правильным ответом на вопрос «Как решить ДЗ» и «Как сделать» задание по математике к упражнению №3.315 (с. 115), авторов: Виленкин (Наум Яковлевич), Жохов (Владимир Иванович), Чесноков (Александр Семёнович), Александрова (Лилия Александровна), Шварцбурд (Семён Исаакович), 1-й части ФГОС (новый, красный) базовый уровень обучения учебного пособия издательства Просвещение.