Номер 3.328, страница 116, часть 1 - гдз по математике 5 класс учебник Виленкин, Жохов

Авторы: Виленкин Н. Я., Жохов В. И., Чесноков А. С., Александрова Л. А., Шварцбурд С. И.
Тип: Учебник
Издательство: Просвещение
Год издания: 2023 - 2025
Уровень обучения: базовый
Часть: 1
Цвет обложки: белый, красный, синий с пазлами
Допущено Министерством просвещения Российской Федерации
Популярные ГДЗ в 5 классе
17. Степень с натуральным показателем. § 3. Умножение и деление натуральных чисел. Глава 1. Натуральные числа. ч. 1 - номер 3.328, страница 116.
№3.328 (с. 116)
Условие. №3.328 (с. 116)
скриншот условия

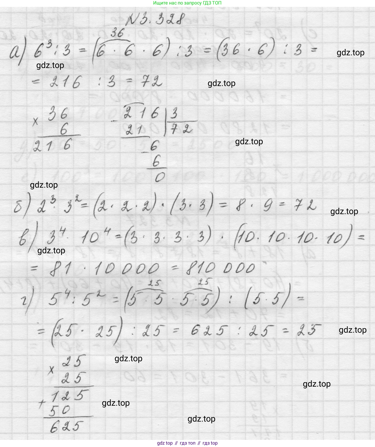
3.328 Найдите значение выражения:
а) 6³ : 3;
б) 2³ • 3²;
в) 3⁴ • 10⁴;
г) 5⁴ : 5².
Решение 1. №3.328 (с. 116)
а)
![]() | ![]() |
б)
в)
г)

Решение 3. №3.328 (с. 116)

Решение 4. №3.328 (с. 116)

Другие задания:
Помогло решение? Оставьте отзыв в комментариях ниже.
Мы подготовили для вас ответ c подробным объяснением домашего задания по математике за 5 класс, для упражнения номер 3.328 расположенного на странице 116 для 1-й части к учебнику 2023 года издания для учащихся школ и гимназий.
Теперь на нашем сайте ГДЗ.ТОП вы всегда легко и бесплатно найдёте условие с правильным ответом на вопрос «Как решить ДЗ» и «Как сделать» задание по математике к упражнению №3.328 (с. 116), авторов: Виленкин (Наум Яковлевич), Жохов (Владимир Иванович), Чесноков (Александр Семёнович), Александрова (Лилия Александровна), Шварцбурд (Семён Исаакович), 1-й части ФГОС (новый, красный) базовый уровень обучения учебного пособия издательства Просвещение.