Номер 4.131, страница 148, часть 1 - гдз по математике 5 класс учебник Виленкин, Жохов

Авторы: Виленкин Н. Я., Жохов В. И., Чесноков А. С., Александрова Л. А., Шварцбурд С. И.
Тип: Учебник
Издательство: Просвещение
Год издания: 2023 - 2025
Уровень обучения: базовый
Часть: 1
Цвет обложки: белый, красный, синий с пазлами
Допущено Министерством просвещения Российской Федерации
Популярные ГДЗ в 5 классе
23. Прямоугольный параллелепипед. § 4. Площади и объёмы. Глава 1. Натуральные числа. ч. 1 - номер 4.131, страница 148.
№4.131 (с. 148)
Условие. №4.131 (с. 148)
скриншот условия

4.131 Вычислите.

Решение 1. №4.131 (с. 148)
Решение 2. №4.131 (с. 148)
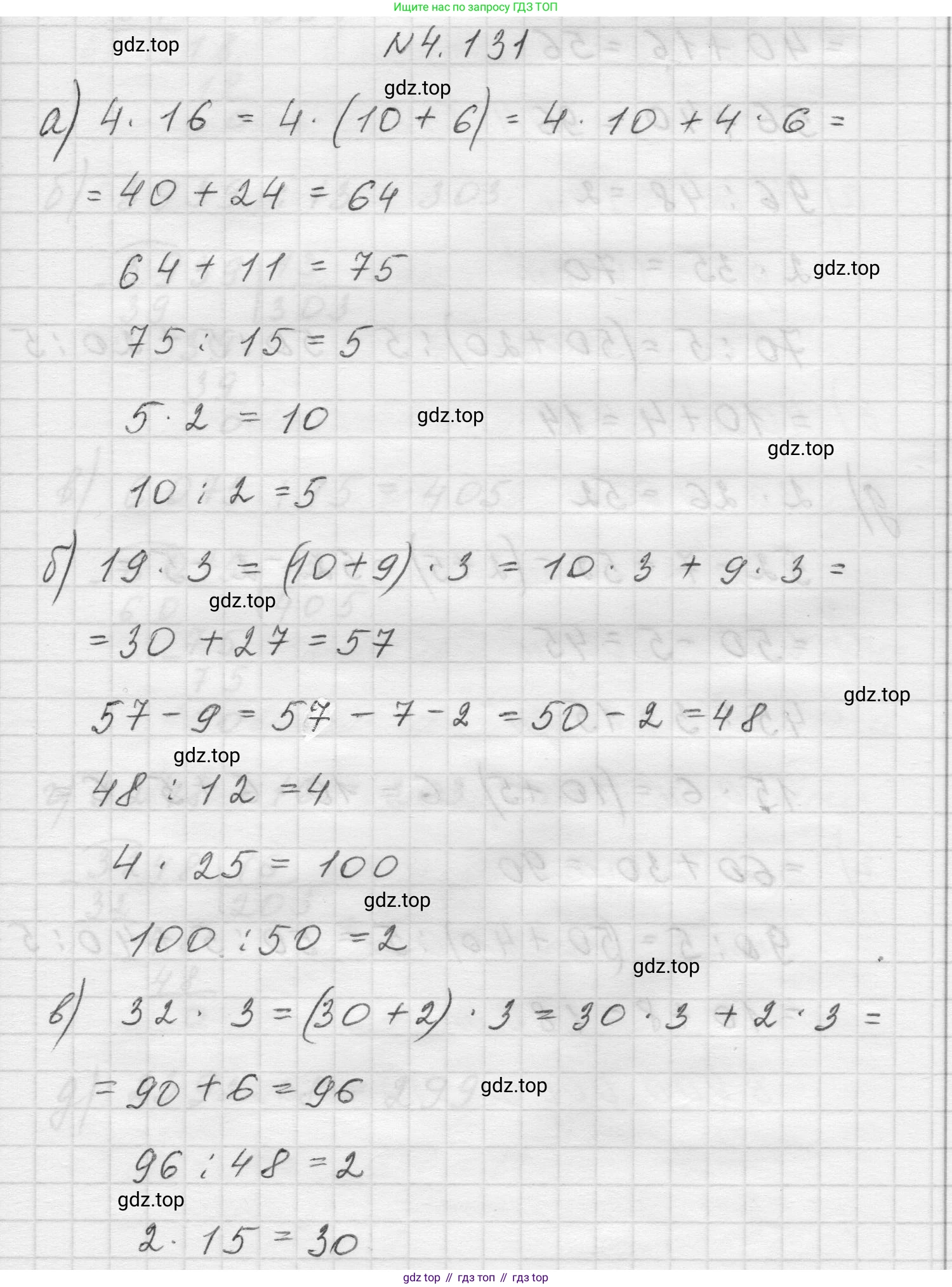
а) Выполним последовательно все арифметические операции, указанные в примере:
1. Умножение: $4 \cdot 16 = 64$
2. Сложение: $64 + 11 = 75$
3. Деление: $75 : 15 = 5$
4. Умножение: $5 \cdot 2 = 10$
5. Деление: $10 : 2 = 5$
Ответ: 5
б) Выполним последовательно все арифметические операции, указанные в примере:
1. Умножение: $19 \cdot 3 = 57$
2. Вычитание: $57 - 9 = 48$
3. Деление: $48 : 12 = 4$
4. Умножение: $4 \cdot 25 = 100$
5. Деление: $100 : 50 = 2$
Ответ: 2
в) Выполним последовательно все арифметические операции, указанные в примере:
1. Умножение: $32 \cdot 3 = 96$
2. Деление: $96 : 48 = 2$
3. Умножение: $2 \cdot 15 = 30$
4. Умножение: $30 \cdot 3 = 90$
5. Деление: $90 : 45 = 2$
Ответ: 2
г) Выполним последовательно все арифметические операции, указанные в примере:
1. Умножение: $4 \cdot 14 = 56$
2. Сложение: $56 + 40 = 96$
3. Деление: $96 : 48 = 2$
4. Умножение: $2 \cdot 35 = 70$
5. Деление: $70 : 5 = 14$
Ответ: 14
д) Выполним последовательно все арифметические операции, указанные в примере:
1. Умножение: $2 \cdot 26 = 52$
2. Вычитание: $52 - 7 = 45$
3. Деление: $45 : 3 = 15$
4. Умножение: $15 \cdot 6 = 90$
5. Деление: $90 : 5 = 18$
Ответ: 18
Решение 3. №4.131 (с. 148)

Решение 4. №4.131 (с. 148)

Другие задания:
Помогло решение? Оставьте отзыв в комментариях ниже.
Мы подготовили для вас ответ c подробным объяснением домашего задания по математике за 5 класс, для упражнения номер 4.131 расположенного на странице 148 для 1-й части к учебнику 2023 года издания для учащихся школ и гимназий.
Теперь на нашем сайте ГДЗ.ТОП вы всегда легко и бесплатно найдёте условие с правильным ответом на вопрос «Как решить ДЗ» и «Как сделать» задание по математике к упражнению №4.131 (с. 148), авторов: Виленкин (Наум Яковлевич), Жохов (Владимир Иванович), Чесноков (Александр Семёнович), Александрова (Лилия Александровна), Шварцбурд (Семён Исаакович), 1-й части ФГОС (новый, красный) базовый уровень обучения учебного пособия издательства Просвещение.