Номер 5.15, страница 9, часть 2 - гдз по математике 5 класс учебник Виленкин, Жохов


Авторы: Виленкин Н. Я., Жохов В. И., Чесноков А. С., Александрова Л. А., Шварцбурд С. И.
Тип: Учебник
Издательство: Просвещение
Год издания: 2023 - 2025
Уровень обучения: базовый
Часть: 2
Цвет обложки: белый, красный, синий с пазлами
Допущено Министерством просвещения Российской Федерации
Популярные ГДЗ в 5 классе
25. Окружность, круг, шар, цилиндр. § 5. Обыкновенные дроби. Глава 2. Дробные числа. ч. 2 - номер 5.15, страница 9.
№5.15 (с. 9)
Условие. №5.15 (с. 9)
скриншот условия

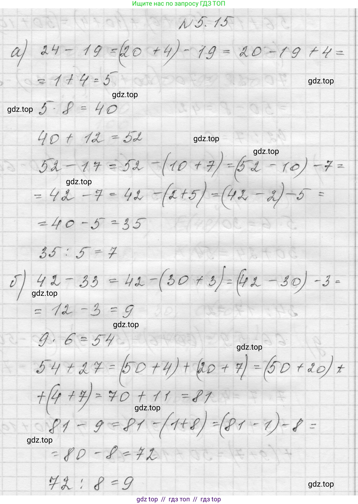
5.15 Вычислите.

Решение 2. №5.15 (с. 9)
а) Для решения данного примера необходимо выполнить все арифметические действия последовательно, сверху вниз:
1) Выполняем вычитание: $24 - 19 = 5$
2) Полученный результат умножаем на 8: $5 \cdot 8 = 40$
3) К результату прибавляем 12: $40 + 12 = 52$
4) Из полученного числа вычитаем 17: $52 - 17 = 35$
5) Результат делим на 5: $35 : 5 = 7$
Ответ: 7
б) Выполним вычисления по порядку:
1) Выполняем вычитание: $42 - 33 = 9$
2) Полученный результат умножаем на 6: $9 \cdot 6 = 54$
3) К результату прибавляем 27: $54 + 27 = 81$
4) Из полученного числа вычитаем 9: $81 - 9 = 72$
5) Результат делим на 8: $72 : 8 = 9$
Ответ: 9
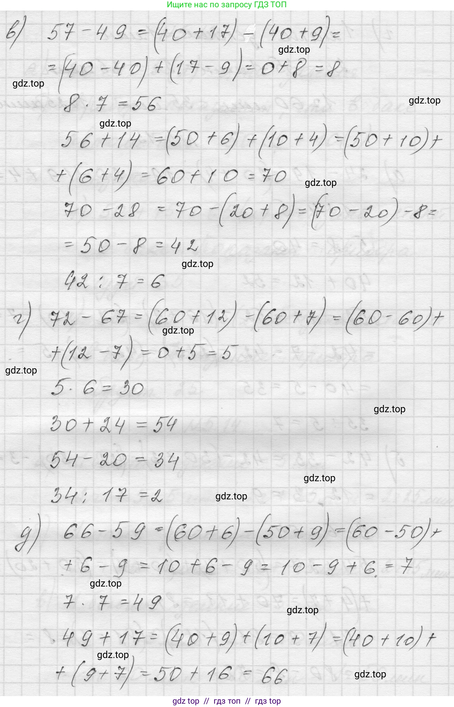
в) Выполним вычисления по порядку:
1) Выполняем вычитание: $57 - 49 = 8$
2) Полученный результат умножаем на 7: $8 \cdot 7 = 56$
3) К результату прибавляем 14: $56 + 14 = 70$
4) Из полученного числа вычитаем 28: $70 - 28 = 42$
5) Результат делим на 7: $42 : 7 = 6$
Ответ: 6
г) Выполним вычисления по порядку:
1) Выполняем вычитание: $72 - 67 = 5$
2) Полученный результат умножаем на 6: $5 \cdot 6 = 30$
3) К результату прибавляем 24: $30 + 24 = 54$
4) Из полученного числа вычитаем 20: $54 - 20 = 34$
5) Результат делим на 17: $34 : 17 = 2$
Ответ: 2
д) Выполним вычисления по порядку:
1) Выполняем вычитание: $66 - 59 = 7$
2) Полученный результат умножаем на 7: $7 \cdot 7 = 49$
3) К результату прибавляем 17: $49 + 17 = 66$
4) Из полученного числа вычитаем 38: $66 - 38 = 28$
5) Результат делим на 4: $28 : 4 = 7$
Ответ: 7
Решение 3. №5.15 (с. 9)

Решение 4. №5.15 (с. 9)

Другие задания:
Помогло решение? Оставьте отзыв в комментариях ниже.
Мы подготовили для вас ответ c подробным объяснением домашего задания по математике за 5 класс, для упражнения номер 5.15 расположенного на странице 9 для 2-й части к учебнику 2023 года издания для учащихся школ и гимназий.
Теперь на нашем сайте ГДЗ.ТОП вы всегда легко и бесплатно найдёте условие с правильным ответом на вопрос «Как решить ДЗ» и «Как сделать» задание по математике к упражнению №5.15 (с. 9), авторов: Виленкин (Наум Яковлевич), Жохов (Владимир Иванович), Чесноков (Александр Семёнович), Александрова (Лилия Александровна), Шварцбурд (Семён Исаакович), 2-й части ФГОС (новый, красный) базовый уровень обучения учебного пособия издательства Просвещение.