Номер 5.375, страница 63, часть 2 - гдз по математике 5 класс учебник Виленкин, Жохов


Авторы: Виленкин Н. Я., Жохов В. И., Чесноков А. С., Александрова Л. А., Шварцбурд С. И.
Тип: Учебник
Издательство: Просвещение
Год издания: 2023 - 2025
Уровень обучения: базовый
Часть: 2
Цвет обложки: белый, красный, синий с пазлами
Допущено Министерством просвещения Российской Федерации
Популярные ГДЗ в 5 классе
35. Приведение дробей к общему знаменателю. § 5. Обыкновенные дроби. Глава 2. Дробные числа. ч. 2 - номер 5.375, страница 63.
№5.375 (с. 63)
Условие. №5.375 (с. 63)
скриншот условия

5.375 Вычислите.

Решение 1. №5.375 (с. 63)
Решение 2. №5.375 (с. 63)
а)
Данный пример решается последовательным выполнением указанных действий с результатом предыдущего действия.
1) $60 - 36 = 24$
2) $24 : 3 = 8$
3) $8 : 4 = 2$
4) $2 + 27 = 29$
5) $29 : 3 = \frac{29}{3} = 9\frac{2}{3}$
Ответ: $9\frac{2}{3}$
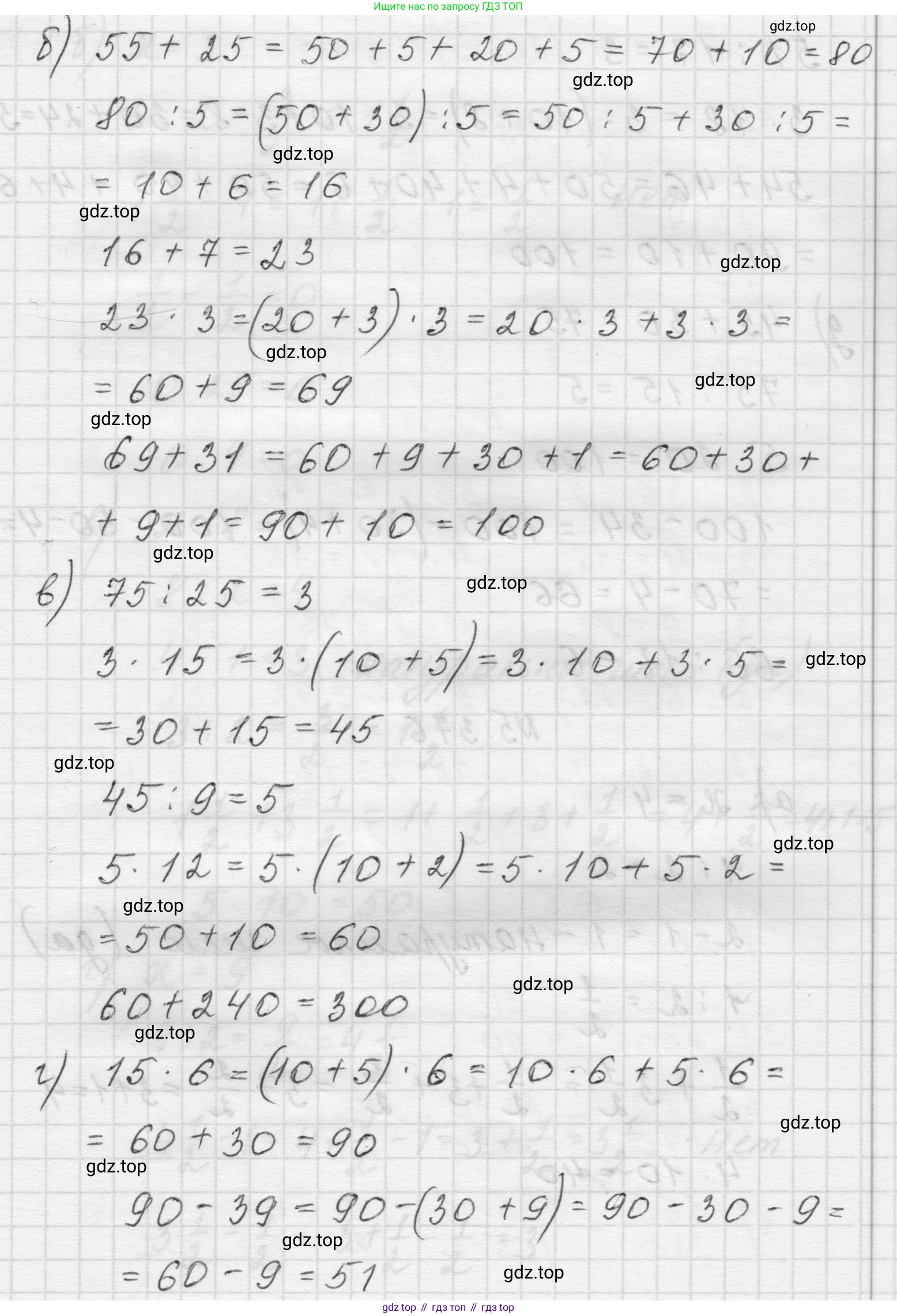
б)
Выполним вычисления по порядку:
1) $55 + 25 = 80$
2) $80 : 5 = 16$
3) $16 + 7 = 23$
4) $23 \cdot 3 = 69$
5) $69 + 31 = 100$
Ответ: 100
в)
Выполним вычисления по порядку:
1) $75 : 25 = 3$
2) $3 \cdot 15 = 45$
3) $45 : 9 = 5$
4) $5 \cdot 12 = 60$
5) $60 + 240 = 300$
Ответ: 300
г)
Выполним вычисления по порядку:
1) $15 \cdot 6 = 90$
2) $90 - 39 = 51$
3) $51 : 17 = 3$
4) $3 \cdot 18 = 54$
5) $54 + 46 = 100$
Ответ: 100
д)
Выполним вычисления по порядку:
1) $45 + 30 = 75$
2) $75 : 15 = 5$
3) $5 \cdot 20 = 100$
4) $100 - 34 = 66$
5) $66 : 11 = 6$
Ответ: 6
Решение 3. №5.375 (с. 63)

Решение 4. №5.375 (с. 63)

Другие задания:
Помогло решение? Оставьте отзыв в комментариях ниже.
Мы подготовили для вас ответ c подробным объяснением домашего задания по математике за 5 класс, для упражнения номер 5.375 расположенного на странице 63 для 2-й части к учебнику 2023 года издания для учащихся школ и гимназий.
Теперь на нашем сайте ГДЗ.ТОП вы всегда легко и бесплатно найдёте условие с правильным ответом на вопрос «Как решить ДЗ» и «Как сделать» задание по математике к упражнению №5.375 (с. 63), авторов: Виленкин (Наум Яковлевич), Жохов (Владимир Иванович), Чесноков (Александр Семёнович), Александрова (Лилия Александровна), Шварцбурд (Семён Исаакович), 2-й части ФГОС (новый, красный) базовый уровень обучения учебного пособия издательства Просвещение.