Номер 5.490, страница 78, часть 2 - гдз по математике 5 класс учебник Виленкин, Жохов


Авторы: Виленкин Н. Я., Жохов В. И., Чесноков А. С., Александрова Л. А., Шварцбурд С. И.
Тип: Учебник
Издательство: Просвещение
Год издания: 2023 - 2025
Уровень обучения: базовый
Часть: 2
Цвет обложки: белый, красный, синий с пазлами
Допущено Министерством просвещения Российской Федерации
Популярные ГДЗ в 5 классе
37. Умножение дробей. § 5. Обыкновенные дроби. Глава 2. Дробные числа. ч. 2 - номер 5.490, страница 78.
№5.490 (с. 78)
Условие. №5.490 (с. 78)
скриншот условия

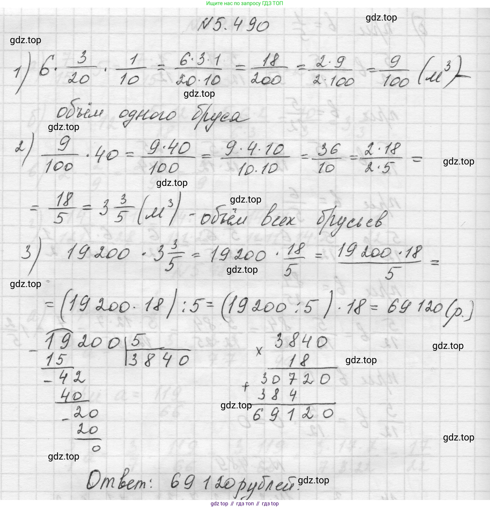
5.490 Деревянный брус имеет форму прямоугольного параллелепипеда с измерениями 6 м, 320 м и 110 м. Для строительных работ было куплено 40 штук этого бруса по цене 19 200 р. за 1 м³. На какую сумму был закуплен брус?
Решение 1. №5.490 (с. 78)
Решение 2. №5.490 (с. 78)
Для того чтобы найти общую стоимость закупленного бруса, необходимо последовательно выполнить три шага: вычислить объем одного бруса, затем найти общий объем всех брусьев и, наконец, рассчитать их стоимость.
1. Вычисление объема одного бруса
Брус имеет форму прямоугольного параллелепипеда. Его объем ($V$) вычисляется как произведение трех его измерений (длины, ширины и высоты).
Измерения бруса: $6$ м, $\frac{3}{20}$ м и $\frac{1}{10}$ м.
$V_{одного\;бруса} = 6 \cdot \frac{3}{20} \cdot \frac{1}{10} = \frac{6 \cdot 3 \cdot 1}{20 \cdot 10} = \frac{18}{200} = \frac{9}{100}$ м?.
2. Вычисление общего объема 40 брусьев
Для строительных работ было куплено 40 брусьев. Чтобы найти их общий объем ($V_{общий}$), нужно объем одного бруса умножить на количество.
$V_{общий} = \frac{9}{100} \cdot 40 = \frac{360}{100} = 3,6$ м?.
3. Расчет общей стоимости закупки
Стоимость одного кубического метра бруса составляет 19 200 рублей. Умножим общий объем на цену за 1 м?:
Стоимость = $V_{общий} \cdot Цена = 3,6 \cdot 19200 = 69120$ рублей.
Ответ: брус был закуплен на сумму 69 120 рублей.
Решение 3. №5.490 (с. 78)

Решение 4. №5.490 (с. 78)

Другие задания:
Помогло решение? Оставьте отзыв в комментариях ниже.
Мы подготовили для вас ответ c подробным объяснением домашего задания по математике за 5 класс, для упражнения номер 5.490 расположенного на странице 78 для 2-й части к учебнику 2023 года издания для учащихся школ и гимназий.
Теперь на нашем сайте ГДЗ.ТОП вы всегда легко и бесплатно найдёте условие с правильным ответом на вопрос «Как решить ДЗ» и «Как сделать» задание по математике к упражнению №5.490 (с. 78), авторов: Виленкин (Наум Яковлевич), Жохов (Владимир Иванович), Чесноков (Александр Семёнович), Александрова (Лилия Александровна), Шварцбурд (Семён Исаакович), 2-й части ФГОС (новый, красный) базовый уровень обучения учебного пособия издательства Просвещение.