Номер 5.81, страница 18, часть 2 - гдз по математике 5 класс учебник Виленкин, Жохов


Авторы: Виленкин Н. Я., Жохов В. И., Чесноков А. С., Александрова Л. А., Шварцбурд С. И.
Тип: Учебник
Издательство: Просвещение
Год издания: 2023 - 2025
Уровень обучения: базовый
Часть: 2
Цвет обложки: белый, красный, синий с пазлами
Допущено Министерством просвещения Российской Федерации
Популярные ГДЗ в 5 классе
26. Доли и дроби. Изображение дробей на координатной прямой. § 5. Обыкновенные дроби. Глава 2. Дробные числа. ч. 2 - номер 5.81, страница 18.
№5.81 (с. 18)
Условие. №5.81 (с. 18)
скриншот условия

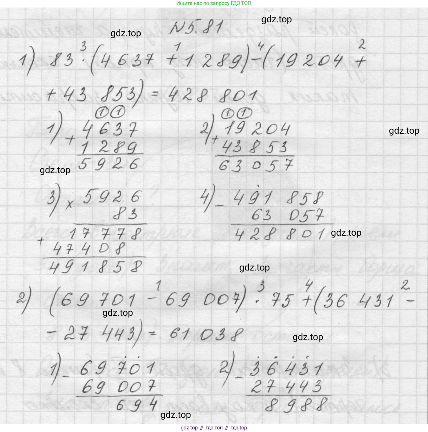
5.81 Найдите значение выражения:
1) 83 • (4637 + 1289) - (19 204 + 43 853);
2) (69 701 - 69 007) • 75 + (36 431 - 27 443).
Решение 1. №5.81 (с. 18)
Решение 2. №5.81 (с. 18)
1) Для того чтобы найти значение выражения $83 \cdot (4637 + 1289) - (19204 + 43853)$, необходимо выполнить действия в правильном порядке: сначала действия в скобках, затем умножение и вычитание.
1. Выполним сложение в первых скобках:
$4637 + 1289 = 5926$.
2. Выполним сложение во вторых скобках:
$19204 + 43853 = 63057$.
3. Теперь подставим полученные значения обратно в выражение:
$83 \cdot 5926 - 63057$.
4. Выполним умножение:
$83 \cdot 5926 = 491858$.
5. Выполним вычитание:
$491858 - 63057 = 428801$.
Ответ: 428801.
2) Для того чтобы найти значение выражения $(69701 - 69007) \cdot 75 + (36431 - 27443)$, необходимо выполнить действия в правильном порядке: сначала действия в скобках, затем умножение и сложение.
1. Выполним вычитание в первых скобках:
$69701 - 69007 = 694$.
2. Выполним вычитание во вторых скобках:
$36431 - 27443 = 8988$.
3. Теперь подставим полученные значения обратно в выражение:
$694 \cdot 75 + 8988$.
4. Выполним умножение:
$694 \cdot 75 = 52050$.
5. Выполним сложение:
$52050 + 8988 = 61038$.
Ответ: 61038.
Решение 3. №5.81 (с. 18)

Решение 4. №5.81 (с. 18)


Другие задания:
Помогло решение? Оставьте отзыв в комментариях ниже.
Мы подготовили для вас ответ c подробным объяснением домашего задания по математике за 5 класс, для упражнения номер 5.81 расположенного на странице 18 для 2-й части к учебнику 2023 года издания для учащихся школ и гимназий.
Теперь на нашем сайте ГДЗ.ТОП вы всегда легко и бесплатно найдёте условие с правильным ответом на вопрос «Как решить ДЗ» и «Как сделать» задание по математике к упражнению №5.81 (с. 18), авторов: Виленкин (Наум Яковлевич), Жохов (Владимир Иванович), Чесноков (Александр Семёнович), Александрова (Лилия Александровна), Шварцбурд (Семён Исаакович), 2-й части ФГОС (новый, красный) базовый уровень обучения учебного пособия издательства Просвещение.