Номер 3, страница 87, часть 2 - гдз по математике 5 класс учебник Виленкин, Жохов


Авторы: Виленкин Н. Я., Жохов В. И., Чесноков А. С., Александрова Л. А., Шварцбурд С. И.
Тип: Учебник
Издательство: Просвещение
Год издания: 2023 - 2025
Уровень обучения: базовый
Часть: 2
Цвет обложки: белый, красный, синий с пазлами
Допущено Министерством просвещения Российской Федерации
Популярные ГДЗ в 5 классе
Проверьте себя. Проверочная работа. § 5. Обыкновенные дроби. Глава 2. Дробные числа. ч. 2 - номер 3, страница 87.
№3 (с. 87)
Условие. №3 (с. 87)
скриншот условия

3 По данным таблицы выясните:
а) за какое время каждая из улиток проползёт 12 дм;
б) какая из улиток самая быстрая; самая медленная;
в) на сколько скорость самой быстрой улитки больше скорости самой медленной;
г) во сколько раз скорость самой медленной улитки меньше скорости самой быстрой;
д) сколько сантиметров преодолеет каждая улитка за 25 мин.
Вид | Скорость, дм/мин |
Янтарная улитка | 15 |
Виноградная улитка | 1825 |
Ахатинекая улитка | 710 |
Лесная улитка | 610 |
Решение 1. №3 (с. 87)
Решение 2. №3 (с. 87)
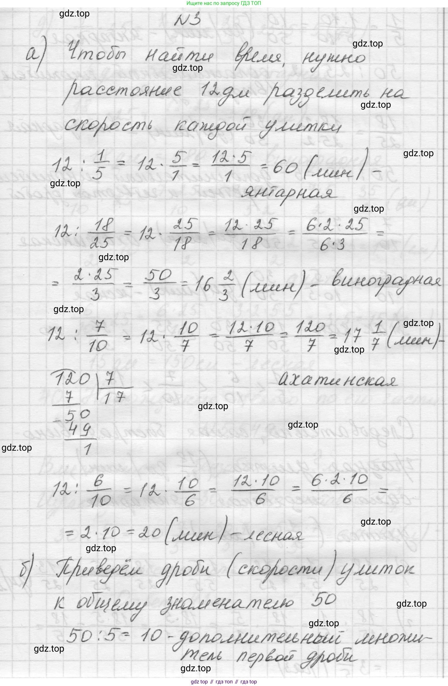
а) за какое время каждая из улиток проползёт 12 дм
Чтобы найти время, нужно расстояние разделить на скорость ($t = S \div v$). В данном случае расстояние $S = 12$ дм.
- Янтарная улитка:
$t = 12 \div \frac{1}{5} = 12 \times 5 = 60$ мин. - Виноградная улитка:
$t = 12 \div \frac{18}{25} = 12 \times \frac{25}{18} = \frac{2 \times 25}{3} = \frac{50}{3} = 16 \frac{2}{3}$ мин. - Ахатинская улитка:
$t = 12 \div \frac{7}{10} = 12 \times \frac{10}{7} = \frac{120}{7} = 17 \frac{1}{7}$ мин. - Лесная улитка:
$t = 12 \div \frac{6}{10} = 12 \times \frac{10}{6} = 2 \times 10 = 20$ мин.
Ответ: Янтарная улитка проползёт 12 дм за 60 минут, Виноградная – за $16 \frac{2}{3}$ минуты, Ахатинская – за $17 \frac{1}{7}$ минуты, а Лесная – за 20 минут.
б) какая из улиток самая быстрая; самая медленная
Чтобы сравнить скорости, приведем дроби к общему знаменателю. Наименьший общий знаменатель для 5, 25 и 10 — это 50.
- Янтарная улитка: $\frac{1}{5} = \frac{1 \times 10}{5 \times 10} = \frac{10}{50}$ дм/мин.
- Виноградная улитка: $\frac{18}{25} = \frac{18 \times 2}{25 \times 2} = \frac{36}{50}$ дм/мин.
- Ахатинская улитка: $\frac{7}{10} = \frac{7 \times 5}{10 \times 5} = \frac{35}{50}$ дм/мин.
- Лесная улитка: $\frac{6}{10} = \frac{6 \times 5}{10 \times 5} = \frac{30}{50}$ дм/мин.
Теперь сравним числители: $36 > 35 > 30 > 10$.
Самая большая скорость ($\frac{36}{50}$) у Виноградной улитки, а самая маленькая ($\frac{10}{50}$) – у Янтарной.
Ответ: самая быстрая – Виноградная улитка, самая медленная – Янтарная улитка.
в) на сколько скорость самой быстрой улитки больше скорости самой медленной
Нужно найти разность между скоростью самой быстрой (Виноградной) и самой медленной (Янтарной) улитки.
$\frac{18}{25} - \frac{1}{5} = \frac{18}{25} - \frac{5}{25} = \frac{18-5}{25} = \frac{13}{25}$ дм/мин.
Ответ: на $\frac{13}{25}$ дм/мин.
г) во сколько раз скорость самой медленной улитки меньше скорости самой быстрой
Нужно найти отношение скорости самой быстрой (Виноградной) улитки к скорости самой медленной (Янтарной).
$\frac{18}{25} \div \frac{1}{5} = \frac{18}{25} \times \frac{5}{1} = \frac{18 \times 5}{25 \times 1} = \frac{18}{5} = 3 \frac{3}{5}$ раза.
Ответ: в $3 \frac{3}{5}$ раза.
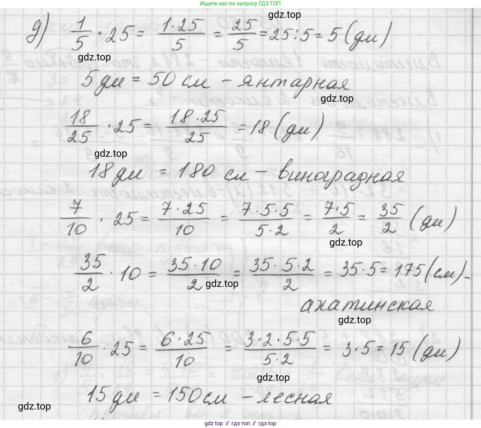
д) сколько сантиметров преодолеет каждая улитка за 25 мин.
Чтобы найти расстояние, нужно скорость умножить на время ($S = v \times t$). Время $t = 25$ мин. Так как ответ нужен в сантиметрах, сначала переведем скорость из дм/мин в см/мин, зная, что 1 дм = 10 см.
- Янтарная улитка:
Скорость: $\frac{1}{5} \times 10 = 2$ см/мин.
Расстояние: $2 \times 25 = 50$ см. - Виноградная улитка:
Скорость: $\frac{18}{25} \times 10 = \frac{180}{25} = \frac{36}{5}$ см/мин.
Расстояние: $\frac{36}{5} \times 25 = 36 \times 5 = 180$ см. - Ахатинская улитка:
Скорость: $\frac{7}{10} \times 10 = 7$ см/мин.
Расстояние: $7 \times 25 = 175$ см. - Лесная улитка:
Скорость: $\frac{6}{10} \times 10 = 6$ см/мин.
Расстояние: $6 \times 25 = 150$ см.
Ответ: за 25 минут Янтарная улитка преодолеет 50 см, Виноградная – 180 см, Ахатинская – 175 см, а Лесная – 150 см.
Решение 3. №3 (с. 87)


Решение 4. №3 (с. 87)


Другие задания:
Помогло решение? Оставьте отзыв в комментариях ниже.
Мы подготовили для вас ответ c подробным объяснением домашего задания по математике за 5 класс, для упражнения номер 3 расположенного на странице 87 для 2-й части к учебнику 2023 года издания для учащихся школ и гимназий.
Теперь на нашем сайте ГДЗ.ТОП вы всегда легко и бесплатно найдёте условие с правильным ответом на вопрос «Как решить ДЗ» и «Как сделать» задание по математике к упражнению №3 (с. 87), авторов: Виленкин (Наум Яковлевич), Жохов (Владимир Иванович), Чесноков (Александр Семёнович), Александрова (Лилия Александровна), Шварцбурд (Семён Исаакович), 2-й части ФГОС (новый, красный) базовый уровень обучения учебного пособия издательства Просвещение.