Номер 6.101, страница 107, часть 2 - гдз по математике 5 класс учебник Виленкин, Жохов


Авторы: Виленкин Н. Я., Жохов В. И., Чесноков А. С., Александрова Л. А., Шварцбурд С. И.
Тип: Учебник
Издательство: Просвещение
Год издания: 2023 - 2025
Уровень обучения: базовый
Часть: 2
Цвет обложки: белый, красный, синий с пазлами
Допущено Министерством просвещения Российской Федерации
Популярные ГДЗ в 5 классе
43. Сложение и вычитание десятичных дробей. § 6. Десятичные дроби. Глава 2. Дробные числа. ч. 2 - номер 6.101, страница 107.
№6.101 (с. 107)
Условие. №6.101 (с. 107)
скриншот условия

6.101 Вычислите.

Решение 1. №6.101 (с. 107)
Решение 2. №6.101 (с. 107)
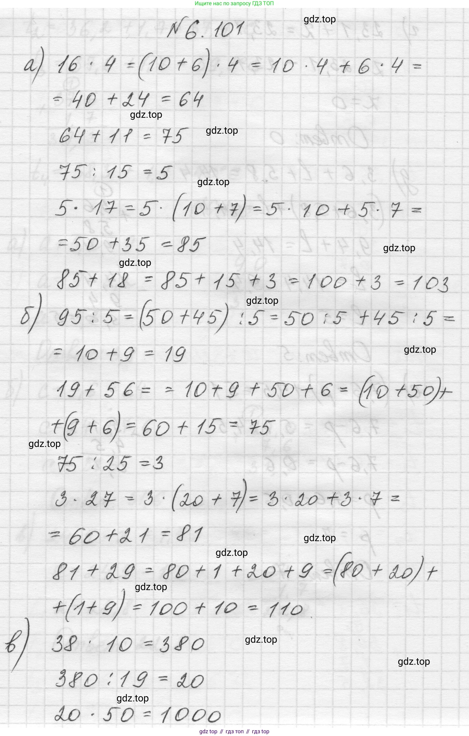
а)
Решим пример по действиям, выполняя операции последовательно сверху вниз:
1) Первое действие: умножение. $16 \cdot 4 = 64$
2) Второе действие: сложение. $64 + 11 = 75$
3) Третье действие: деление. $75 : 15 = 5$
4) Четвертое действие: умножение. $5 \cdot 17 = 85$
5) Пятое действие: сложение. $85 + 18 = 103$
Ответ: 103
б)
Решим пример по действиям, выполняя операции последовательно сверху вниз:
1) Первое действие: деление. $95 : 5 = 19$
2) Второе действие: сложение. $19 + 56 = 75$
3) Третье действие: деление. $75 : 25 = 3$
4) Четвертое действие: умножение. $3 \cdot 27 = 81$
5) Пятое действие: сложение. $81 + 29 = 110$
Ответ: 110
в)
Решим пример по действиям, выполняя операции последовательно сверху вниз:
1) Первое действие: умножение. $38 \cdot 10 = 380$
2) Второе действие: деление. $380 : 19 = 20$
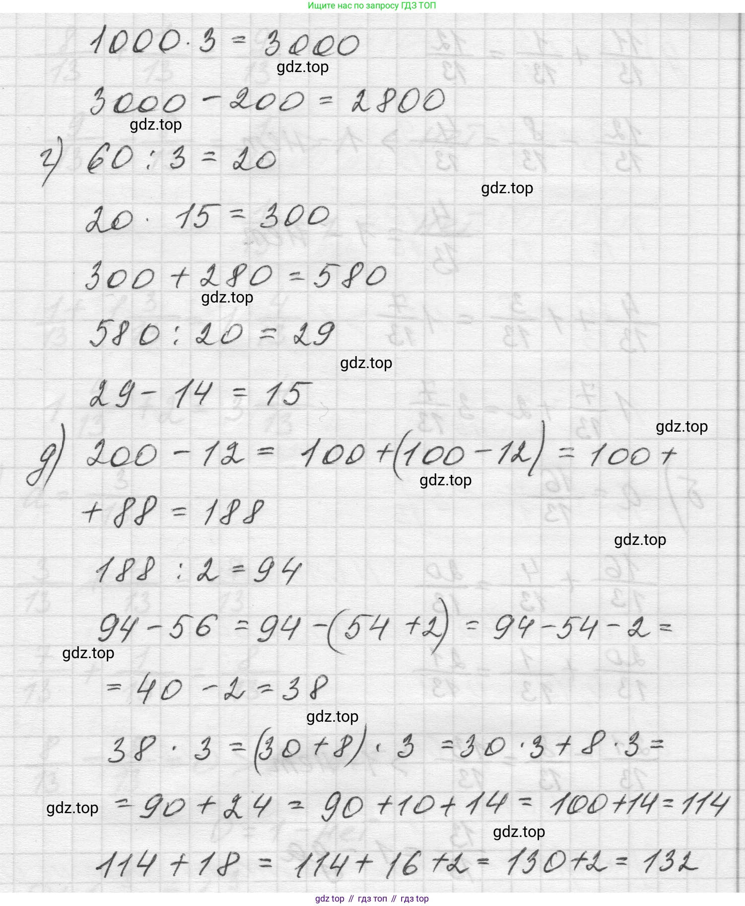
3) Третье действие: умножение. $20 \cdot 50 = 1000$
4) Четвертое действие: умножение. $1000 \cdot 3 = 3000$
5) Пятое действие: вычитание. $3000 - 200 = 2800$
Ответ: 2800
г)
Решим пример по действиям, выполняя операции последовательно сверху вниз:
1) Первое действие: деление. $60 : 3 = 20$
2) Второе действие: умножение. $20 \cdot 15 = 300$
3) Третье действие: сложение. $300 + 280 = 580$
4) Четвертое действие: деление. $580 : 20 = 29$
5) Пятое действие: вычитание. $29 - 14 = 15$
Ответ: 15
д)
Решим пример по действиям, выполняя операции последовательно сверху вниз:
1) Первое действие: вычитание. $200 - 12 = 188$
2) Второе действие: деление. $188 : 2 = 94$
3) Третье действие: вычитание. $94 - 56 = 38$
4) Четвертое действие: умножение. $38 \cdot 3 = 114$
5) Пятое действие: сложение. $114 + 18 = 132$
Ответ: 132
Решение 3. №6.101 (с. 107)

Решение 4. №6.101 (с. 107)

Другие задания:
Помогло решение? Оставьте отзыв в комментариях ниже.
Мы подготовили для вас ответ c подробным объяснением домашего задания по математике за 5 класс, для упражнения номер 6.101 расположенного на странице 107 для 2-й части к учебнику 2023 года издания для учащихся школ и гимназий.
Теперь на нашем сайте ГДЗ.ТОП вы всегда легко и бесплатно найдёте условие с правильным ответом на вопрос «Как решить ДЗ» и «Как сделать» задание по математике к упражнению №6.101 (с. 107), авторов: Виленкин (Наум Яковлевич), Жохов (Владимир Иванович), Чесноков (Александр Семёнович), Александрова (Лилия Александровна), Шварцбурд (Семён Исаакович), 2-й части ФГОС (новый, красный) базовый уровень обучения учебного пособия издательства Просвещение.