Номер 6.142, страница 114, часть 2 - гдз по математике 5 класс учебник Виленкин, Жохов


Авторы: Виленкин Н. Я., Жохов В. И., Чесноков А. С., Александрова Л. А., Шварцбурд С. И.
Тип: Учебник
Издательство: Просвещение
Год издания: 2023 - 2025
Уровень обучения: базовый
Часть: 2
Цвет обложки: белый, красный, синий с пазлами
Допущено Министерством просвещения Российской Федерации
Популярные ГДЗ в 5 классе
44. Округление чисел. Прикидка. § 6. Десятичные дроби. Глава 2. Дробные числа. ч. 2 - номер 6.142, страница 114.
№6.142 (с. 114)
Условие. №6.142 (с. 114)
скриншот условия

6.142 Вычислите.

Решение 1. №6.142 (с. 114)
Решение 2. №6.142 (с. 114)
а) Для решения данного примера необходимо выполнить действия по порядку:
1. Умножение: $12 \cdot 8 = 96$
2. Сложение: $96 + 14 = 110$
3. Деление: $110 : 11 = 10$
4. Умножение: $10 \cdot 15 = 150$
5. Деление: $150 : 25 = 6$
Ответ: 6
б) Выполним вычисления по шагам:
1. Умножение: $16 \cdot 3 = 48$
2. Деление: $48 : 12 = 4$
3. Умножение: $4 \cdot 13 = 52$
4. Сложение: $52 + 38 = 90$
5. Деление: $90 : 18 = 5$
Ответ: 5
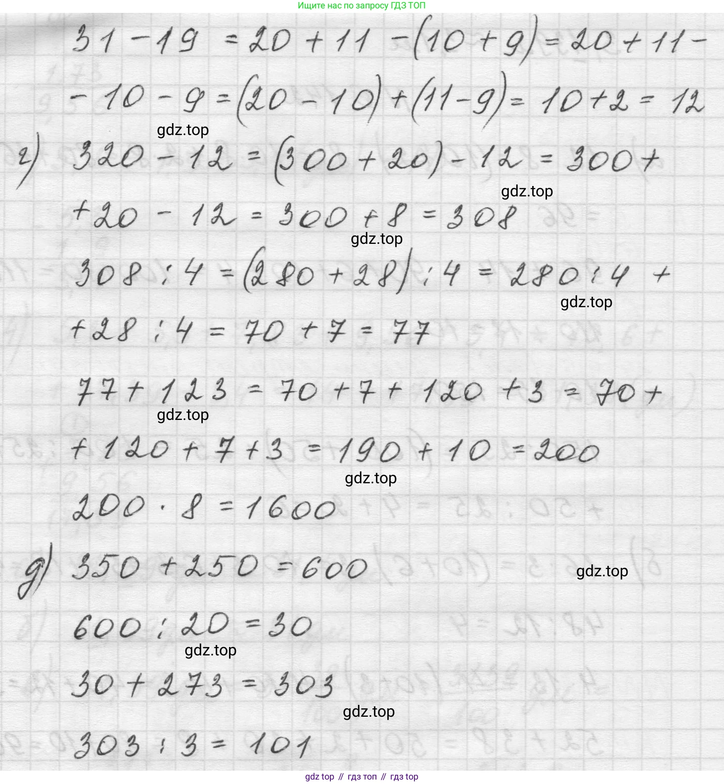
в) Выполним вычисления по шагам:
1. Деление: $204 : 2 = 102$
2. Умножение: $102 \cdot 6 = 612$
3. Сложение: $612 + 8 = 620$
4. Деление: $620 : 20 = 31$
5. Вычитание: $31 - 19 = 12$
Ответ: 12
г) Выполним вычисления по шагам:
1. Вычитание: $320 - 12 = 308$
2. Деление: $308 : 4 = 77$
3. Сложение: $77 + 123 = 200$
4. Умножение: $200 \cdot 8 = 1600$
Ответ: 1600
д) Выполним вычисления по шагам:
1. Сложение: $350 + 250 = 600$
2. Деление: $600 : 20 = 30$
3. Сложение: $30 + 273 = 303$
4. Деление: $303 : 3 = 101$
Ответ: 101
Решение 3. №6.142 (с. 114)

Решение 4. №6.142 (с. 114)

Другие задания:
Помогло решение? Оставьте отзыв в комментариях ниже.
Мы подготовили для вас ответ c подробным объяснением домашего задания по математике за 5 класс, для упражнения номер 6.142 расположенного на странице 114 для 2-й части к учебнику 2023 года издания для учащихся школ и гимназий.
Теперь на нашем сайте ГДЗ.ТОП вы всегда легко и бесплатно найдёте условие с правильным ответом на вопрос «Как решить ДЗ» и «Как сделать» задание по математике к упражнению №6.142 (с. 114), авторов: Виленкин (Наум Яковлевич), Жохов (Владимир Иванович), Чесноков (Александр Семёнович), Александрова (Лилия Александровна), Шварцбурд (Семён Исаакович), 2-й части ФГОС (новый, красный) базовый уровень обучения учебного пособия издательства Просвещение.