Номер 6.159, страница 115, часть 2 - гдз по математике 5 класс учебник Виленкин, Жохов


Авторы: Виленкин Н. Я., Жохов В. И., Чесноков А. С., Александрова Л. А., Шварцбурд С. И.
Тип: Учебник
Издательство: Просвещение
Год издания: 2023 - 2025
Уровень обучения: базовый
Часть: 2
Цвет обложки: белый, красный, синий с пазлами
Допущено Министерством просвещения Российской Федерации
Популярные ГДЗ в 5 классе
44. Округление чисел. Прикидка. § 6. Десятичные дроби. Глава 2. Дробные числа. ч. 2 - номер 6.159, страница 115.
№6.159 (с. 115)
Условие. №6.159 (с. 115)
скриншот условия

6.159 Выполните действия сложения и вычитания:
a) 93,4 - (27 + 0,285);
б) 70,3 + 41,3 - 70,6;
в) 721 - 34,8 + (68 - 47,5);
г) 23,436 - (44 - 31,8) + 0,564.
Решение 1. №6.159 (с. 115)
Решение 2. №6.159 (с. 115)
а) $93,4 - (27 + 0,285)$
Согласно порядку выполнения действий, сначала вычисляем выражение в скобках:
$1) \ 27 + 0,285 = 27,285$
Теперь выполняем вычитание, подставив полученное значение в исходное выражение:
$2) \ 93,4 - 27,285 = 66,115$
Ответ: $66,115$.
б) $70,3 + 41,3 - 70,6$
В этом выражении нет скобок. Действия сложения и вычитания имеют одинаковый приоритет, поэтому выполняем их по порядку, слева направо:
$1) \ 70,3 + 41,3 = 111,6$
$2) \ 111,6 - 70,6 = 41$
Ответ: $41$.
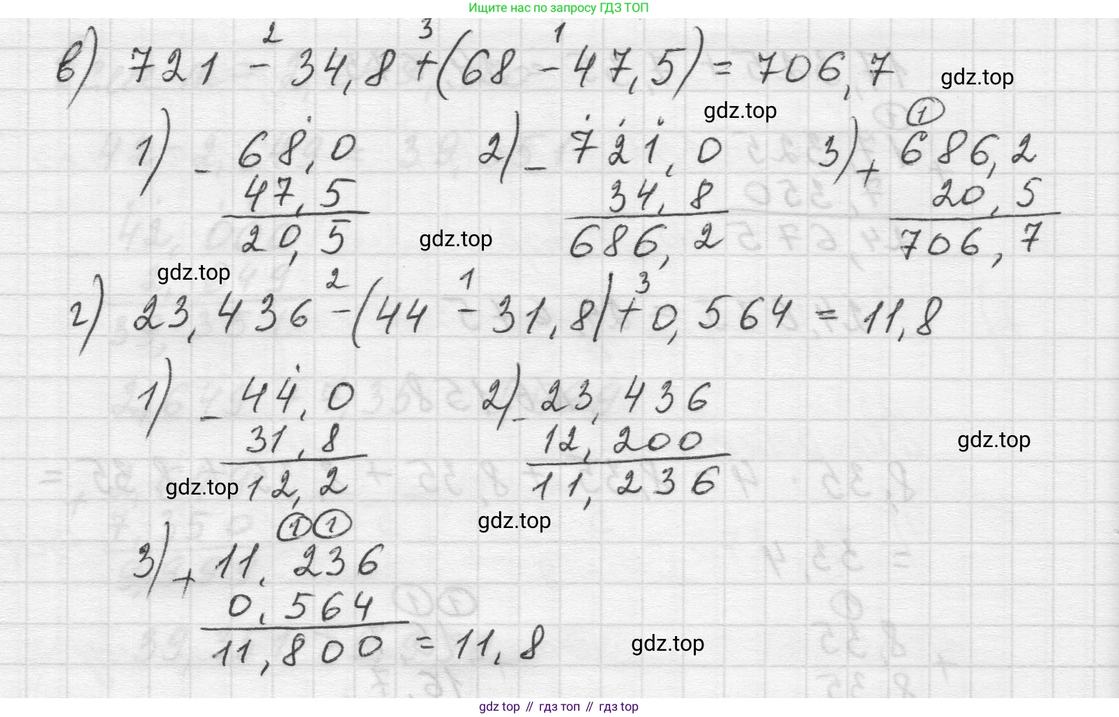
в) $721 - 34,8 + (68 - 47,5)$
Первым действием выполняем вычитание в скобках:
$1) \ 68 - 47,5 = 20,5$
Теперь выражение принимает вид $721 - 34,8 + 20,5$. Выполняем оставшиеся действия слева направо:
$2) \ 721 - 34,8 = 686,2$
$3) \ 686,2 + 20,5 = 706,7$
Ответ: $706,7$.
г) $23,436 - (44 - 31,8) + 0,564$
Сначала выполняем действие в скобках:
$1) \ 44 - 31,8 = 12,2$
Получаем выражение: $23,436 - 12,2 + 0,564$. Для удобства вычислений можно сначала сложить первое и третье число, а затем вычесть второе:
$2) \ 23,436 + 0,564 = 24$
Теперь выполняем вычитание:
$3) \ 24 - 12,2 = 11,8$
Ответ: $11,8$.
Решение 3. №6.159 (с. 115)


Решение 4. №6.159 (с. 115)

Другие задания:
Помогло решение? Оставьте отзыв в комментариях ниже.
Мы подготовили для вас ответ c подробным объяснением домашего задания по математике за 5 класс, для упражнения номер 6.159 расположенного на странице 115 для 2-й части к учебнику 2023 года издания для учащихся школ и гимназий.
Теперь на нашем сайте ГДЗ.ТОП вы всегда легко и бесплатно найдёте условие с правильным ответом на вопрос «Как решить ДЗ» и «Как сделать» задание по математике к упражнению №6.159 (с. 115), авторов: Виленкин (Наум Яковлевич), Жохов (Владимир Иванович), Чесноков (Александр Семёнович), Александрова (Лилия Александровна), Шварцбурд (Семён Исаакович), 2-й части ФГОС (новый, красный) базовый уровень обучения учебного пособия издательства Просвещение.