Номер 6.192, страница 120, часть 2 - гдз по математике 5 класс учебник Виленкин, Жохов


Авторы: Виленкин Н. Я., Жохов В. И., Чесноков А. С., Александрова Л. А., Шварцбурд С. И.
Тип: Учебник
Издательство: Просвещение
Год издания: 2023 - 2025
Уровень обучения: базовый
Часть: 2
Цвет обложки: белый, красный, синий с пазлами
Допущено Министерством просвещения Российской Федерации
Популярные ГДЗ в 5 классе
45. Умножение десятичной дроби на натуральное число. § 6. Десятичные дроби. Глава 2. Дробные числа. ч. 2 - номер 6.192, страница 120.
№6.192 (с. 120)
Условие. №6.192 (с. 120)
скриншот условия

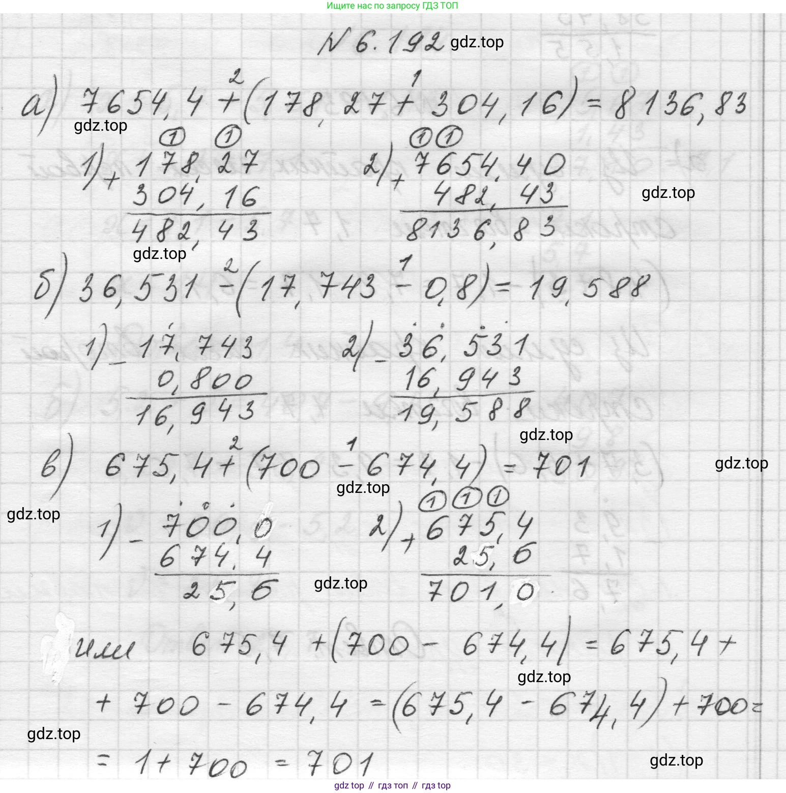
6.192 Найдите значение выражения:
а) 7654,4 + (178,27 + 304,16);
б) 36,531 - (17,743 - 0,8);
в) 675,4 + (700 - 674,4);
г) (43,76 - 38,45) - 3,76.
Решение 1. №6.192 (с. 120)
Решение 2. №6.192 (с. 120)
а) $7654,4 + (178,27 + 304,16)$
Для решения этого выражения сначала выполним действие в скобках, а затем сложим результат с первым числом.
1. Найдем сумму в скобках:
$178,27 + 304,16 = 482,43$
2. Прибавим полученное значение к первому числу:
$7654,4 + 482,43 = 8136,83$
Ответ: 8136,83
б) $36,531 - (17,743 - 0,8)$
Сначала выполним вычитание в скобках, а затем вычтем результат из первого числа.
1. Найдем разность в скобках:
$17,743 - 0,8 = 16,943$
2. Вычтем полученное значение из первого числа:
$36,531 - 16,943 = 19,588$
Ответ: 19,588
в) $675,4 + (700 - 674,4)$
Сначала выполним вычитание в скобках, а затем прибавим результат к первому числу.
1. Найдем разность в скобках:
$700 - 674,4 = 25,6$
2. Прибавим полученное значение к первому числу:
$675,4 + 25,6 = 701$
Ответ: 701
г) $(43,76 - 38,45) - 3,76$
В данном выражении можно раскрыть скобки и для удобства вычислений перегруппировать числа. Это свойство вычитания: $ (a - b) - c = a - c - b $.
1. Сначала вычтем $3,76$ из $43,76$:
$43,76 - 3,76 = 40$
2. Теперь из полученного результата вычтем $38,45$:
$40 - 38,45 = 1,55$
Ответ: 1,55
Решение 3. №6.192 (с. 120)

Решение 4. №6.192 (с. 120)

Другие задания:
Помогло решение? Оставьте отзыв в комментариях ниже.
Мы подготовили для вас ответ c подробным объяснением домашего задания по математике за 5 класс, для упражнения номер 6.192 расположенного на странице 120 для 2-й части к учебнику 2023 года издания для учащихся школ и гимназий.
Теперь на нашем сайте ГДЗ.ТОП вы всегда легко и бесплатно найдёте условие с правильным ответом на вопрос «Как решить ДЗ» и «Как сделать» задание по математике к упражнению №6.192 (с. 120), авторов: Виленкин (Наум Яковлевич), Жохов (Владимир Иванович), Чесноков (Александр Семёнович), Александрова (Лилия Александровна), Шварцбурд (Семён Исаакович), 2-й части ФГОС (новый, красный) базовый уровень обучения учебного пособия издательства Просвещение.