Номер 6.302, страница 134, часть 2 - гдз по математике 5 класс учебник Виленкин, Жохов


Авторы: Виленкин Н. Я., Жохов В. И., Чесноков А. С., Александрова Л. А., Шварцбурд С. И.
Тип: Учебник
Издательство: Просвещение
Год издания: 2023 - 2025
Уровень обучения: базовый
Часть: 2
Цвет обложки: белый, красный, синий с пазлами
Допущено Министерством просвещения Российской Федерации
Популярные ГДЗ в 5 классе
47. Умножение на десятичную дробь. § 6. Десятичные дроби. Глава 2. Дробные числа. ч. 2 - номер 6.302, страница 134.
№6.302 (с. 134)
Условие. №6.302 (с. 134)
скриншот условия

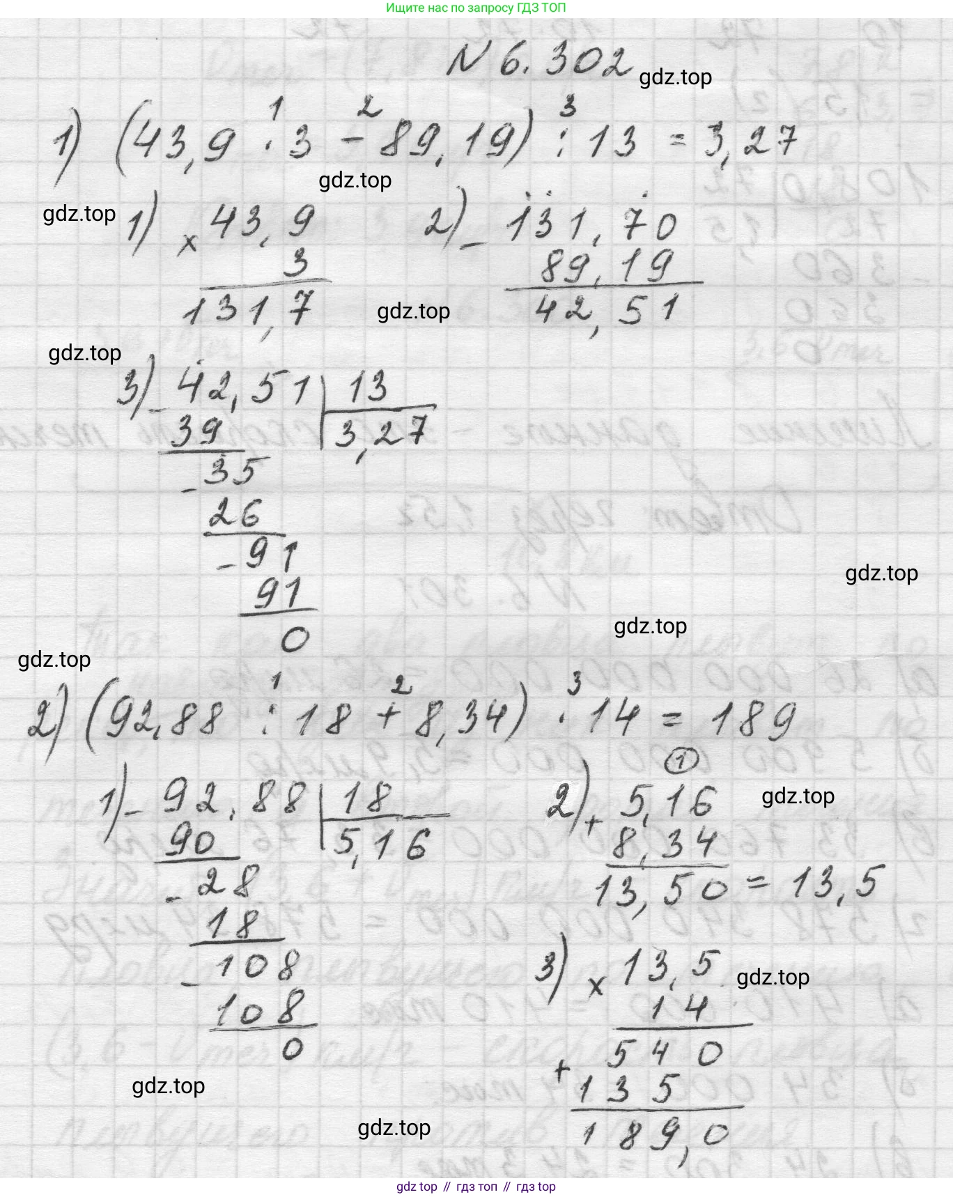
6.302 Выполните действия:
1) (43,9 • 3 - 89,19) : 13;
2) (92,88 : 18 + 8,34) • 14.
Решение 1. №6.302 (с. 134)
Решение 2. №6.302 (с. 134)
1) Выполним действия для выражения $(43,9 \cdot 3 - 89,19) : 13$.
Согласно порядку выполнения математических операций, сначала выполняем действия в скобках, а затем за их пределами. Внутри скобок сначала выполняется умножение, а затем вычитание.
1. Выполним умножение в скобках:
$43,9 \cdot 3 = 131,7$
2. Теперь выполним вычитание в скобках:
$131,7 - 89,19 = 42,51$
3. Выполним деление результата на 13:
$42,51 : 13 = 3,27$
Ответ: 3,27
2) Выполним действия для выражения $(92,88 : 18 + 8,34) \cdot 14$.
Сначала выполняются действия в скобках: сперва деление, потом сложение. Затем результат умножается на 14.
1. Выполним деление в скобках:
$92,88 : 18 = 5,16$
2. Теперь выполним сложение в скобках:
$5,16 + 8,34 = 13,5$
3. Выполним умножение:
$13,5 \cdot 14 = 189$
Ответ: 189
Решение 3. №6.302 (с. 134)

Решение 4. №6.302 (с. 134)

Другие задания:
Помогло решение? Оставьте отзыв в комментариях ниже.
Мы подготовили для вас ответ c подробным объяснением домашего задания по математике за 5 класс, для упражнения номер 6.302 расположенного на странице 134 для 2-й части к учебнику 2023 года издания для учащихся школ и гимназий.
Теперь на нашем сайте ГДЗ.ТОП вы всегда легко и бесплатно найдёте условие с правильным ответом на вопрос «Как решить ДЗ» и «Как сделать» задание по математике к упражнению №6.302 (с. 134), авторов: Виленкин (Наум Яковлевич), Жохов (Владимир Иванович), Чесноков (Александр Семёнович), Александрова (Лилия Александровна), Шварцбурд (Семён Исаакович), 2-й части ФГОС (новый, красный) базовый уровень обучения учебного пособия издательства Просвещение.