Номер 6.59, страница 101, часть 2 - гдз по математике 5 класс учебник Виленкин, Жохов


Авторы: Виленкин Н. Я., Жохов В. И., Чесноков А. С., Александрова Л. А., Шварцбурд С. И.
Тип: Учебник
Издательство: Просвещение
Год издания: 2023 - 2025
Уровень обучения: базовый
Часть: 2
Цвет обложки: белый, красный, синий с пазлами
Допущено Министерством просвещения Российской Федерации
Популярные ГДЗ в 5 классе
42. Сравнение десятичных дробей. § 6. Десятичные дроби. Глава 2. Дробные числа. ч. 2 - номер 6.59, страница 101.
№6.59 (с. 101)
Условие. №6.59 (с. 101)
скриншот условия

6.59 Найдите разность:

Решение 1. №6.59 (с. 101)
Решение 2. №6.59 (с. 101)
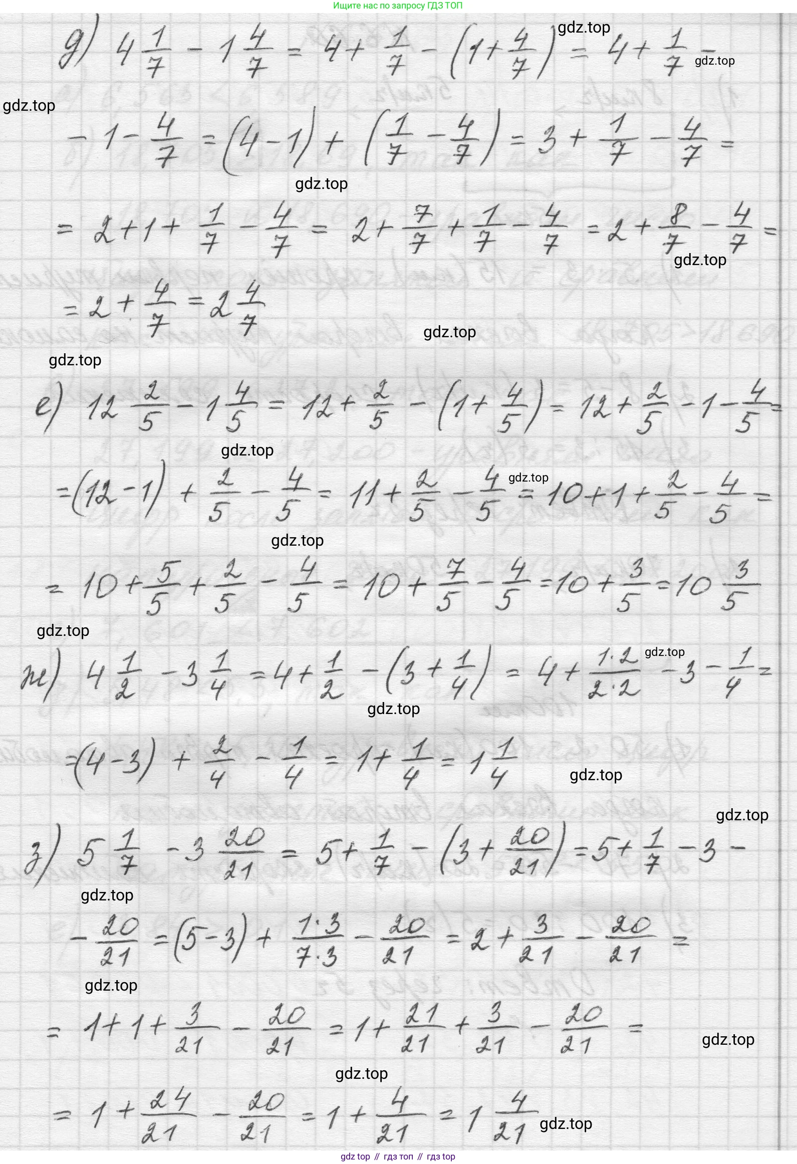
а) Чтобы найти разность смешанных чисел с одинаковыми знаменателями, вычтем отдельно их целые и дробные части. Целые части: $7 - 1 = 6$. Дробные части: $\frac{3}{5} - \frac{2}{5} = \frac{1}{5}$. Результат: $6 + \frac{1}{5} = 6\frac{1}{5}$.
$7\frac{3}{5} - 1\frac{2}{5} = (7 - 1) + (\frac{3}{5} - \frac{2}{5}) = 6 + \frac{1}{5} = 6\frac{1}{5}$.
Ответ: $6\frac{1}{5}$.
б) Вычитаем отдельно целые и дробные части, так как знаменатели одинаковы. Целые части: $28 - 7 = 21$. Дробные части: $\frac{6}{13} - \frac{1}{13} = \frac{5}{13}$. Результат: $21 + \frac{5}{13} = 21\frac{5}{13}$.
$28\frac{6}{13} - 7\frac{1}{13} = (28 - 7) + (\frac{6}{13} - \frac{1}{13}) = 21 + \frac{5}{13} = 21\frac{5}{13}$.
Ответ: $21\frac{5}{13}$.
в) Чтобы вычесть дробь из целого числа, "займем" единицу у целого числа и представим ее в виде дроби с нужным знаменателем. $6 = 5 + 1 = 5 + \frac{5}{5} = 5\frac{5}{5}$.
Теперь выполним вычитание: $5\frac{5}{5} - \frac{2}{5} = 5 + (\frac{5}{5} - \frac{2}{5}) = 5 + \frac{3}{5} = 5\frac{3}{5}$.
Ответ: $5\frac{3}{5}$.
г) Поступаем аналогично предыдущему примеру. "Займем" единицу у 21 и представим ее в виде дроби со знаменателем 9. $21 = 20 + 1 = 20 + \frac{9}{9} = 20\frac{9}{9}$.
Вычитаем: $20\frac{9}{9} - \frac{5}{9} = 20 + (\frac{9}{9} - \frac{5}{9}) = 20 + \frac{4}{9} = 20\frac{4}{9}$.
Ответ: $20\frac{4}{9}$.
д) В этом случае дробная часть уменьшаемого ($\frac{1}{7}$) меньше дробной части вычитаемого ($\frac{4}{7}$). Необходимо "занять" единицу у целой части уменьшаемого. $4\frac{1}{7} = 3 + 1 + \frac{1}{7} = 3 + \frac{7}{7} + \frac{1}{7} = 3\frac{8}{7}$.
Теперь вычитаем: $3\frac{8}{7} - 1\frac{4}{7} = (3 - 1) + (\frac{8}{7} - \frac{4}{7}) = 2 + \frac{4}{7} = 2\frac{4}{7}$.
Ответ: $2\frac{4}{7}$.
е) Дробная часть уменьшаемого ($\frac{2}{5}$) меньше дробной части вычитаемого ($\frac{4}{5}$). "Займем" единицу у 12. $12\frac{2}{5} = 11 + 1 + \frac{2}{5} = 11 + \frac{5}{5} + \frac{2}{5} = 11\frac{7}{5}$.
Выполняем вычитание: $11\frac{7}{5} - 1\frac{4}{5} = (11 - 1) + (\frac{7}{5} - \frac{4}{5}) = 10 + \frac{3}{5} = 10\frac{3}{5}$.
Ответ: $10\frac{3}{5}$.
ж) У дробей разные знаменатели. Сначала приведем их к общему знаменателю. Наименьший общий знаменатель для 2 и 4 это 4. $4\frac{1}{2} = 4\frac{1 \cdot 2}{2 \cdot 2} = 4\frac{2}{4}$.
Теперь, когда знаменатели одинаковы, выполняем вычитание: $4\frac{2}{4} - 3\frac{1}{4} = (4 - 3) + (\frac{2}{4} - \frac{1}{4}) = 1 + \frac{1}{4} = 1\frac{1}{4}$.
Ответ: $1\frac{1}{4}$.
з) Приведем дроби к общему знаменателю. Наименьший общий знаменатель для 7 и 21 это 21. $5\frac{1}{7} = 5\frac{1 \cdot 3}{7 \cdot 3} = 5\frac{3}{21}$.
Получаем выражение: $5\frac{3}{21} - 3\frac{20}{21}$. Дробная часть уменьшаемого меньше дробной части вычитаемого, поэтому "займем" единицу у целой части. $5\frac{3}{21} = 4 + 1 + \frac{3}{21} = 4 + \frac{21}{21} + \frac{3}{21} = 4\frac{24}{21}$.
Теперь вычитаем: $4\frac{24}{21} - 3\frac{20}{21} = (4 - 3) + (\frac{24}{21} - \frac{20}{21}) = 1 + \frac{4}{21} = 1\frac{4}{21}$.
Ответ: $1\frac{4}{21}$.
Решение 3. №6.59 (с. 101)


Решение 4. №6.59 (с. 101)

Другие задания:
Помогло решение? Оставьте отзыв в комментариях ниже.
Мы подготовили для вас ответ c подробным объяснением домашего задания по математике за 5 класс, для упражнения номер 6.59 расположенного на странице 101 для 2-й части к учебнику 2023 года издания для учащихся школ и гимназий.
Теперь на нашем сайте ГДЗ.ТОП вы всегда легко и бесплатно найдёте условие с правильным ответом на вопрос «Как решить ДЗ» и «Как сделать» задание по математике к упражнению №6.59 (с. 101), авторов: Виленкин (Наум Яковлевич), Жохов (Владимир Иванович), Чесноков (Александр Семёнович), Александрова (Лилия Александровна), Шварцбурд (Семён Исаакович), 2-й части ФГОС (новый, красный) базовый уровень обучения учебного пособия издательства Просвещение.