Номер 6.66, страница 102, часть 2 - гдз по математике 5 класс учебник Виленкин, Жохов


Авторы: Виленкин Н. Я., Жохов В. И., Чесноков А. С., Александрова Л. А., Шварцбурд С. И.
Тип: Учебник
Издательство: Просвещение
Год издания: 2023 - 2025
Уровень обучения: базовый
Часть: 2
Цвет обложки: белый, красный, синий с пазлами
Допущено Министерством просвещения Российской Федерации
Популярные ГДЗ в 5 классе
42. Сравнение десятичных дробей. § 6. Десятичные дроби. Глава 2. Дробные числа. ч. 2 - номер 6.66, страница 102.
№6.66 (с. 102)
Условие. №6.66 (с. 102)
скриншот условия

6.66 Найдите значение выражения:

Решение 1. №6.66 (с. 102)
Решение 2. №6.66 (с. 102)
а) $37\frac{9}{13} - 13\frac{6}{13} + 7\frac{2}{13}$
Чтобы найти значение выражения, сгруппируем целые и дробные части. Так как знаменатели у всех дробей одинаковые, можно выполнить действия с целыми и дробными частями отдельно.
1. Выполняем действия с целыми частями: $37 - 13 + 7 = 24 + 7 = 31$.
2. Выполняем действия с дробными частями: $\frac{9}{13} - \frac{6}{13} + \frac{2}{13} = \frac{9-6+2}{13} = \frac{5}{13}$.
3. Складываем полученные результаты: $31 + \frac{5}{13} = 31\frac{5}{13}$.
Ответ: $31\frac{5}{13}$.
б) $21\frac{2}{9} + 4\frac{5}{6} - 5\frac{4}{9}$
Для удобства вычислений сначала сгруппируем числа с одинаковыми знаменателями.
1. Выполним вычитание: $21\frac{2}{9} - 5\frac{4}{9}$. Поскольку дробная часть уменьшаемого ($\frac{2}{9}$) меньше дробной части вычитаемого ($\frac{4}{9}$), нужно занять единицу у целой части.
$21\frac{2}{9} = 20 + 1 + \frac{2}{9} = 20 + \frac{9}{9} + \frac{2}{9} = 20\frac{11}{9}$.
Теперь вычитаем: $20\frac{11}{9} - 5\frac{4}{9} = (20-5) + (\frac{11-4}{9}) = 15 + \frac{7}{9} = 15\frac{7}{9}$.
2. К полученному результату прибавим оставшееся число: $15\frac{7}{9} + 4\frac{5}{6}$.
Складываем целые части: $15 + 4 = 19$.
Складываем дробные части, приведя их к общему знаменателю 18: $\frac{7}{9} + \frac{5}{6} = \frac{7 \cdot 2}{18} + \frac{5 \cdot 3}{18} = \frac{14}{18} + \frac{15}{18} = \frac{29}{18}$.
3. Преобразуем неправильную дробь в смешанное число: $\frac{29}{18} = 1\frac{11}{18}$.
4. Складываем целую часть и полученное смешанное число: $19 + 1\frac{11}{18} = 20\frac{11}{18}$.
Ответ: $20\frac{11}{18}$.
в) $54\frac{3}{11} + 8\frac{5}{11} + \frac{3}{22}$
1. Сначала сложим смешанные числа с одинаковыми знаменателями.
$54\frac{3}{11} + 8\frac{5}{11} = (54+8) + (\frac{3}{11}+\frac{5}{11}) = 62 + \frac{8}{11} = 62\frac{8}{11}$.
2. Теперь к результату прибавим оставшуюся дробь: $62\frac{8}{11} + \frac{3}{22}$.
Приведем дроби к общему знаменателю 22: $62\frac{8 \cdot 2}{11 \cdot 2} + \frac{3}{22} = 62\frac{16}{22} + \frac{3}{22}$.
3. Складываем дробные части: $62 + (\frac{16+3}{22}) = 62 + \frac{19}{22} = 62\frac{19}{22}$.
Ответ: $62\frac{19}{22}$.
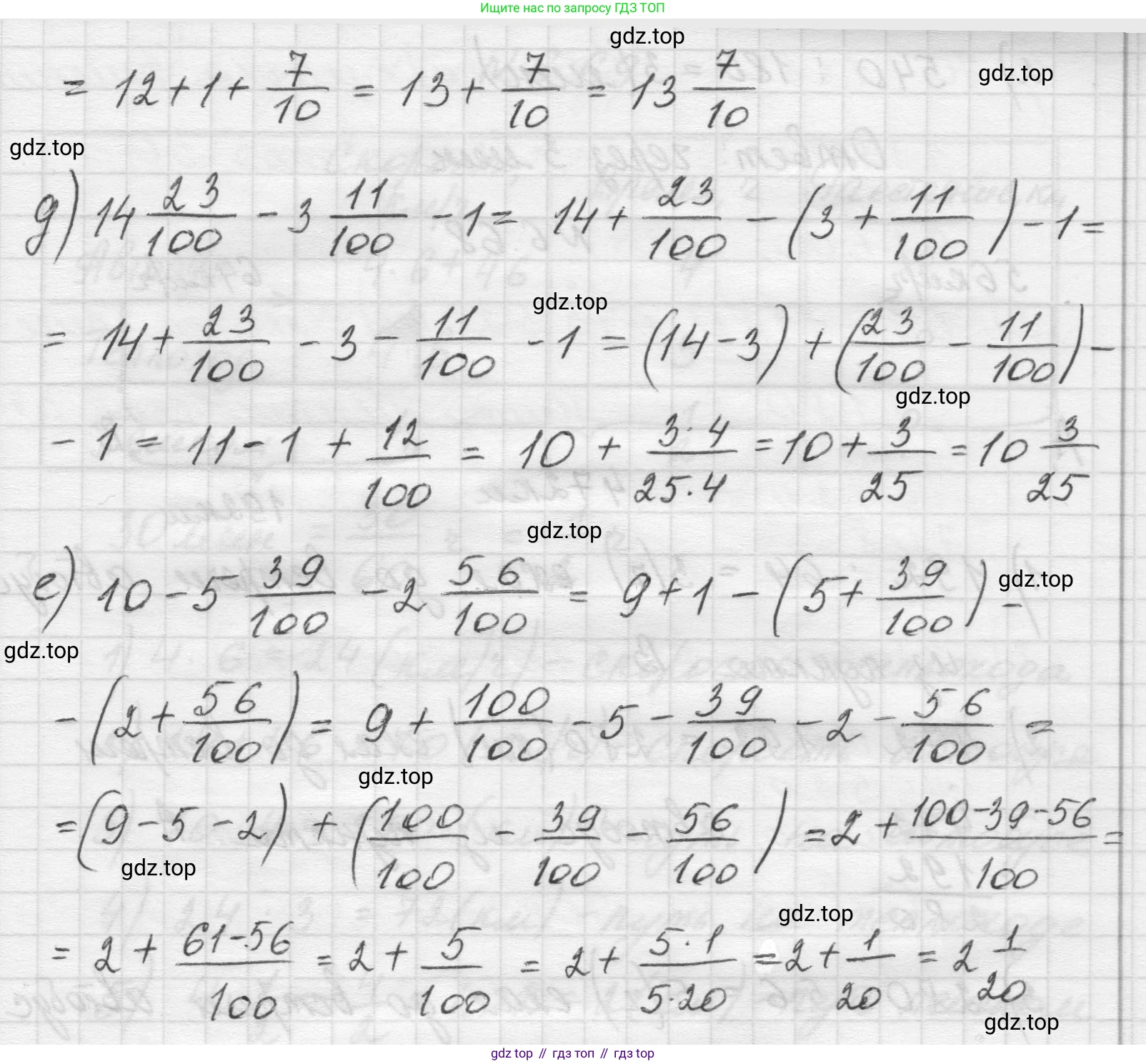
г) $6\frac{9}{10} + 2\frac{7}{10} + 4\frac{1}{10}$
Так как у всех дробей одинаковые знаменатели, сложим отдельно целые и дробные части.
1. Складываем целые части: $6 + 2 + 4 = 12$.
2. Складываем дробные части: $\frac{9}{10} + \frac{7}{10} + \frac{1}{10} = \frac{9+7+1}{10} = \frac{17}{10}$.
3. Преобразуем неправильную дробь $\frac{17}{10}$ в смешанное число: $\frac{17}{10} = 1\frac{7}{10}$.
4. Складываем полученные результаты: $12 + 1\frac{7}{10} = 13\frac{7}{10}$.
Ответ: $13\frac{7}{10}$.
д) $14\frac{23}{100} - 3\frac{11}{100} - 1$
Знаменатели одинаковые, поэтому вычитаем отдельно целые и дробные части.
1. Выполняем действия с целыми частями: $14 - 3 - 1 = 11 - 1 = 10$.
2. Выполняем действия с дробными частями: $\frac{23}{100} - \frac{11}{100} = \frac{23-11}{100} = \frac{12}{100}$.
3. Объединяем результат и сокращаем дробь: $10\frac{12}{100} = 10\frac{12 \div 4}{100 \div 4} = 10\frac{3}{25}$.
Ответ: $10\frac{3}{25}$.
е) $10 - 5\frac{39}{100} - 2\frac{56}{100}$
Можно решить это выражение, сначала сложив вычитаемые числа.
1. Складываем вычитаемые: $5\frac{39}{100} + 2\frac{56}{100} = (5+2) + (\frac{39+56}{100}) = 7 + \frac{95}{100} = 7\frac{95}{100}$.
2. Теперь вычитаем полученную сумму из 10: $10 - 7\frac{95}{100}$.
Представим 10 в виде смешанного числа со знаменателем 100: $10 = 9 + 1 = 9\frac{100}{100}$.
3. Выполняем вычитание: $9\frac{100}{100} - 7\frac{95}{100} = (9-7) + (\frac{100-95}{100}) = 2 + \frac{5}{100} = 2\frac{5}{100}$.
4. Сокращаем дробную часть: $2\frac{5}{100} = 2\frac{5 \div 5}{100 \div 5} = 2\frac{1}{20}$.
Ответ: $2\frac{1}{20}$.
Решение 3. №6.66 (с. 102)

Решение 4. №6.66 (с. 102)

Другие задания:
Помогло решение? Оставьте отзыв в комментариях ниже.
Мы подготовили для вас ответ c подробным объяснением домашего задания по математике за 5 класс, для упражнения номер 6.66 расположенного на странице 102 для 2-й части к учебнику 2023 года издания для учащихся школ и гимназий.
Теперь на нашем сайте ГДЗ.ТОП вы всегда легко и бесплатно найдёте условие с правильным ответом на вопрос «Как решить ДЗ» и «Как сделать» задание по математике к упражнению №6.66 (с. 102), авторов: Виленкин (Наум Яковлевич), Жохов (Владимир Иванович), Чесноков (Александр Семёнович), Александрова (Лилия Александровна), Шварцбурд (Семён Исаакович), 2-й части ФГОС (новый, красный) базовый уровень обучения учебного пособия издательства Просвещение.