Номер 1394, страница 307 - гдз по математике 6 класс учебник Мерзляк, Полонский

Авторы: Мерзляк А. Г., Полонский В. Б., Якир М. С.
Тип: Учебник
Издательство: Просвещение, Вентана-граф
Год издания: 2019 - 2022
Цвет обложки: салатовый, зелёный
ISBN: 978-5-360-10057-7
Рекомендовано Министерством образования и науки Российской Федерации
Популярные ГДЗ в 6 классе
Упражнения. Упражнения для повторения курса математики - номер 1394, страница 307.
№1394 (с. 307)
Условие. №1394 (с. 307)
скриншот условия

1394.1) Разделите число 96 на три части $x, y$ и $z$ так, чтобы $x : y = 3 : 4$,
а $y : z = 4 : 9$.
2) Разделите число 185 на три части $x, y$ и $z$ так, чтобы $x : y = 3 : 2$,
а $y : z = 2\frac{1}{2} : 3$.
Решение. №1394 (с. 307)


Решение 2. №1394 (с. 307)
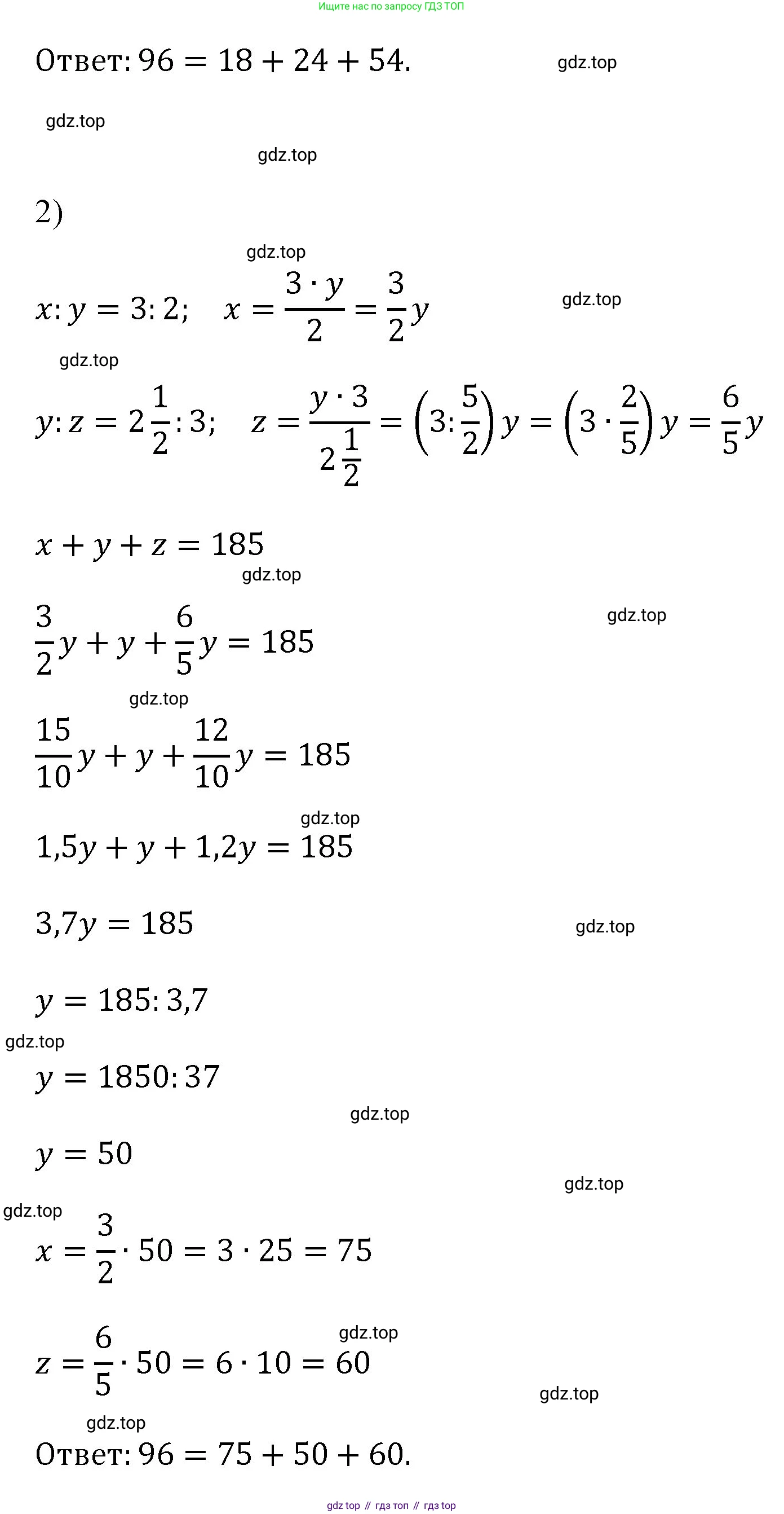
1)
По условию задачи, нам нужно разделить число 96 на три части $x$, $y$ и $z$ так, что их сумма равна 96, то есть $x + y + z = 96$.
Нам даны два отношения:
$x : y = 3 : 4$
$y : z = 4 : 9$
В обоих отношениях часть, соответствующая переменной $y$, одна и та же и равна 4. Это позволяет нам объединить эти два отношения в одно тройное отношение:
$x : y : z = 3 : 4 : 9$
Введем коэффициент пропорциональности $k$. Тогда части можно представить в виде:
$x = 3k$
$y = 4k$
$z = 9k$
Составим уравнение, используя тот факт, что сумма частей равна 96:
$3k + 4k + 9k = 96$
$16k = 96$
Теперь найдем значение коэффициента $k$:
$k = \frac{96}{16} = 6$
Зная коэффициент, мы можем найти значения каждой части:
$x = 3 \cdot 6 = 18$
$y = 4 \cdot 6 = 24$
$z = 9 \cdot 6 = 54$
Проверка: $18 + 24 + 54 = 96$.
Ответ: $x=18, y=24, z=54$.
2)
По условию, число 185 нужно разделить на три части $x$, $y$ и $z$, сумма которых равна 185: $x + y + z = 185$.
Даны следующие отношения:
$x : y = 3 : 2$
$y : z = 2\frac{1}{2} : 3$
Для начала, преобразуем второе отношение, чтобы работать с целыми числами. Переведем смешанное число в неправильную дробь: $2\frac{1}{2} = \frac{5}{2}$.
Отношение принимает вид: $y : z = \frac{5}{2} : 3$.
Чтобы избавиться от дроби, умножим обе части отношения на 2:
$y : z = (\frac{5}{2} \cdot 2) : (3 \cdot 2) = 5 : 6$
Теперь у нас есть два отношения с целыми числами:
$x : y = 3 : 2$
$y : z = 5 : 6$
Чтобы объединить их в одно тройное отношение $x:y:z$, необходимо, чтобы часть, соответствующая $y$, была одинаковой в обоих отношениях. Найдем наименьшее общее кратное для чисел 2 и 5. НОК(2, 5) = 10.
Приведем первое отношение к общему значению для $y$, умножив обе его части на 5:
$x : y = (3 \cdot 5) : (2 \cdot 5) = 15 : 10$
Приведем второе отношение, умножив обе его части на 2:
$y : z = (5 \cdot 2) : (6 \cdot 2) = 10 : 12$
Теперь мы можем записать объединенное отношение:
$x : y : z = 15 : 10 : 12$
Введем коэффициент пропорциональности $k$:
$x = 15k$
$y = 10k$
$z = 12k$
Составим уравнение, зная, что сумма частей равна 185:
$15k + 10k + 12k = 185$
$37k = 185$
Найдем $k$:
$k = \frac{185}{37} = 5$
Теперь вычислим значения $x$, $y$ и $z$:
$x = 15 \cdot 5 = 75$
$y = 10 \cdot 5 = 50$
$z = 12 \cdot 5 = 60$
Проверка: $75 + 50 + 60 = 185$.
Ответ: $x=75, y=50, z=60$.
Другие задания:
Помогло решение? Оставьте отзыв в комментариях ниже.
Присоединяйтесь к Телеграм-группе @top_gdz
ПрисоединитьсяМы подготовили для вас ответ c подробным объяснением домашего задания по математике за 6 класс, для упражнения номер 1394 расположенного на странице 307 к учебнику 2019 - 2022 года издания для учащихся школ и гимназий.
Теперь на нашем сайте ГДЗ.ТОП вы всегда легко и бесплатно найдёте условие с правильным ответом на вопрос «Как решить ДЗ» и «Как сделать» задание по математике к упражнению №1394 (с. 307), авторов: Мерзляк (Аркадий Григорьевич), Полонский (Виталий Борисович), Якир (Михаил Семёнович), ФГОС (старый) учебного пособия издательства Просвещение, Вентана-граф.