Номер 977, страница 211 - гдз по математике 6 класс учебник Мерзляк, Полонский

Авторы: Мерзляк А. Г., Полонский В. Б., Якир М. С.
Тип: Учебник
Издательство: Просвещение, Вентана-граф
Год издания: 2019 - 2022
Цвет обложки: салатовый, зелёный
ISBN: 978-5-360-10057-7
Рекомендовано Министерством образования и науки Российской Федерации
Популярные ГДЗ в 6 классе
Упражнения. Параграф 34. Сложение рациональных чисел. Глава 4. Рациональные числа и действия над ними - номер 977, страница 211.
№977 (с. 211)
Условие. №977 (с. 211)
скриншот условия

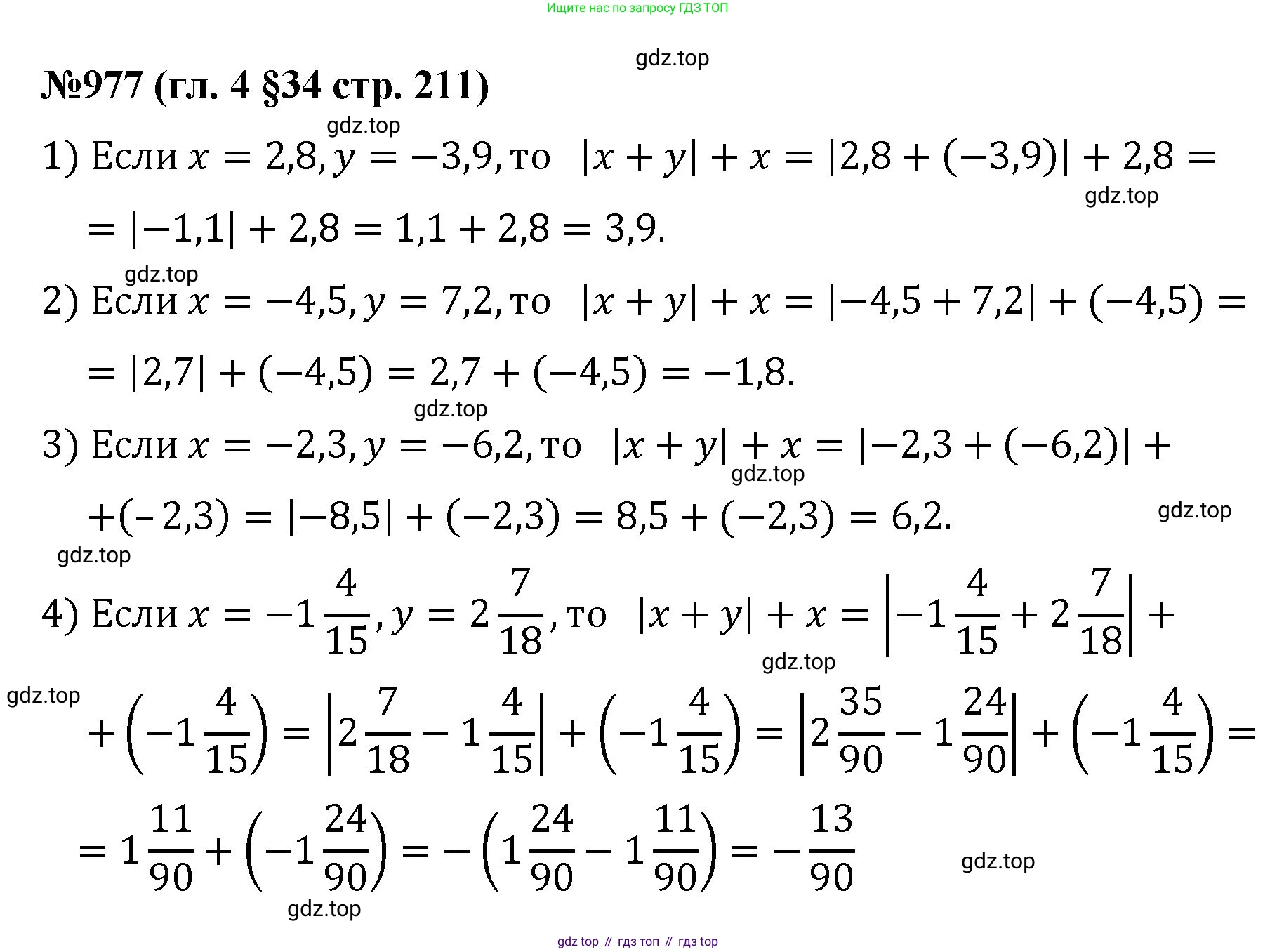
977. Найдите значение выражения $|x + y| + x$, если:
1) $x = 2,8, y = -3,9;$
2) $x = -4,5, y = 7,2;$
3) $x = -2,3, y = -6,2;$
4) $x = -1 \frac{4}{15}, y = 2 \frac{7}{18}.$
Решение. №977 (с. 211)

Решение 2. №977 (с. 211)
Чтобы найти значение выражения $|x + y| + x$, нужно подставить в него данные значения $x$ и $y$ для каждого случая.
1) При $x = 2,8$ и $y = -3,9$:
Сначала найдем сумму $x + y$:
$x + y = 2,8 + (-3,9) = 2,8 - 3,9 = -1,1$
Теперь подставим это значение в исходное выражение:
$|x + y| + x = |-1,1| + 2,8 = 1,1 + 2,8 = 3,9$
Ответ: $3,9$
2) При $x = -4,5$ и $y = 7,2$:
Сначала найдем сумму $x + y$:
$x + y = -4,5 + 7,2 = 2,7$
Теперь подставим это значение в исходное выражение:
$|x + y| + x = |2,7| + (-4,5) = 2,7 - 4,5 = -1,8$
Ответ: $-1,8$
3) При $x = -2,3$ и $y = -6,2$:
Сначала найдем сумму $x + y$:
$x + y = -2,3 + (-6,2) = -8,5$
Теперь подставим это значение в исходное выражение:
$|x + y| + x = |-8,5| + (-2,3) = 8,5 - 2,3 = 6,2$
Ответ: $6,2$
4) При $x = -1\frac{4}{15}$ и $y = 2\frac{7}{18}$:
Сначала найдем сумму $x + y$. Для этого приведем дроби к общему знаменателю. Наименьший общий знаменатель для 15 и 18 - это 90.
$x = -1\frac{4}{15} = -1\frac{4 \cdot 6}{15 \cdot 6} = -1\frac{24}{90}$
$y = 2\frac{7}{18} = 2\frac{7 \cdot 5}{18 \cdot 5} = 2\frac{35}{90}$
$x + y = -1\frac{24}{90} + 2\frac{35}{90} = 2\frac{35}{90} - 1\frac{24}{90} = 1\frac{11}{90}$
Теперь подставим это значение в исходное выражение:
$|x + y| + x = |1\frac{11}{90}| + (-1\frac{4}{15}) = 1\frac{11}{90} - 1\frac{4}{15}$
Снова приведем дроби к общему знаменателю 90:
$1\frac{11}{90} - 1\frac{24}{90}$
Для удобства вычисления переведем смешанные числа в неправильные дроби:
$1\frac{11}{90} = \frac{90 \cdot 1 + 11}{90} = \frac{101}{90}$
$1\frac{24}{90} = \frac{90 \cdot 1 + 24}{90} = \frac{114}{90}$
$\frac{101}{90} - \frac{114}{90} = \frac{101 - 114}{90} = -\frac{13}{90}$
Ответ: $-\frac{13}{90}$
Другие задания:
Помогло решение? Оставьте отзыв в комментариях ниже.
Присоединяйтесь к Телеграм-группе @top_gdz
ПрисоединитьсяМы подготовили для вас ответ c подробным объяснением домашего задания по математике за 6 класс, для упражнения номер 977 расположенного на странице 211 к учебнику 2019 - 2022 года издания для учащихся школ и гимназий.
Теперь на нашем сайте ГДЗ.ТОП вы всегда легко и бесплатно найдёте условие с правильным ответом на вопрос «Как решить ДЗ» и «Как сделать» задание по математике к упражнению №977 (с. 211), авторов: Мерзляк (Аркадий Григорьевич), Полонский (Виталий Борисович), Якир (Михаил Семёнович), ФГОС (старый) учебного пособия издательства Просвещение, Вентана-граф.