Номер 990, страница 214 - гдз по математике 6 класс учебник Мерзляк, Полонский

Авторы: Мерзляк А. Г., Полонский В. Б., Якир М. С.
Тип: Учебник
Издательство: Просвещение, Вентана-граф
Год издания: 2019 - 2022
Цвет обложки: салатовый, зелёный
ISBN: 978-5-360-10057-7
Рекомендовано Министерством образования и науки Российской Федерации
Популярные ГДЗ в 6 классе
Упражнения. Параграф 35. Свойства сложения рациональных чисел. Глава 4. Рациональные числа и действия над ними - номер 990, страница 214.
№990 (с. 214)
Условие. №990 (с. 214)
скриншот условия

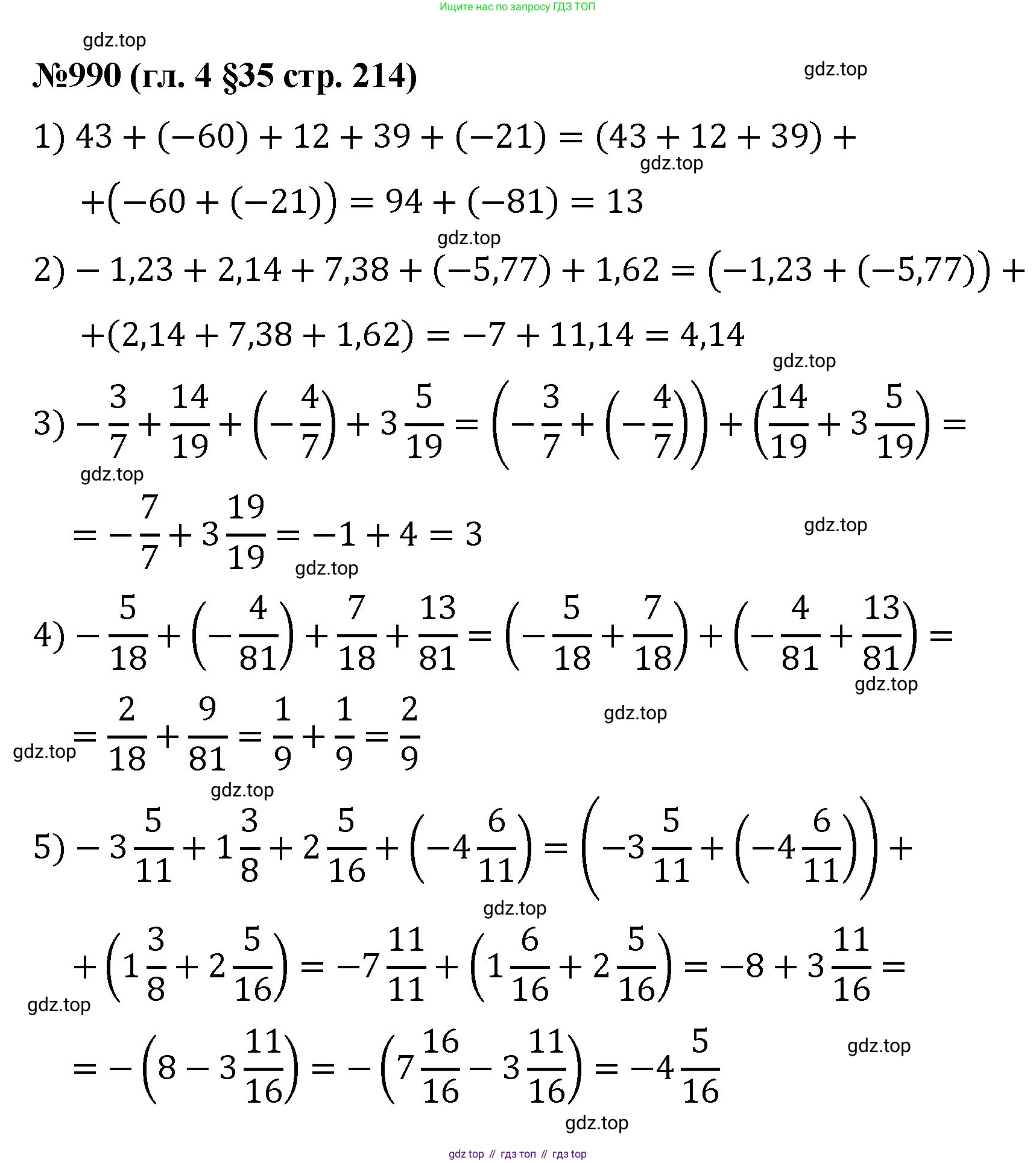
990. Найдите значение выражения:
1) $43 + (-60) + 12 + 39 + (-21);$
2) $-1,23 + 2,14 + 7,38 + (-5,77) + 1,62;$
3) $ - \frac{3}{7} + \frac{14}{19} + \left(-\frac{4}{7}\right) + 3\frac{5}{19}; $
4) $ - \frac{5}{18} + \left(-\frac{4}{81}\right) + \frac{7}{18} + \frac{13}{81}; $
5) $ -3\frac{5}{11} + 1\frac{3}{8} + 2\frac{5}{16} + \left(-4\frac{6}{11}\right). $
Решение. №990 (с. 214)

Решение 2. №990 (с. 214)
1) Для удобства вычислений сгруппируем положительные и отрицательные слагаемые, используя переместительное и сочетательное свойства сложения:
$43 + (-60) + 12 + 39 + (-21) = (43 + 12 + 39) + ((-60) + (-21))$.
Сложим положительные числа: $43 + 12 + 39 = 55 + 39 = 94$.
Сложим отрицательные числа: $-60 - 21 = -81$.
Найдем сумму результатов: $94 + (-81) = 94 - 81 = 13$.
Ответ: $13$.
2) Сгруппируем положительные и отрицательные слагаемые:
$-1,23 + 2,14 + 7,38 + (-5,77) + 1,62 = (2,14 + 7,38 + 1,62) + ((-1,23) + (-5,77))$.
Сумма положительных чисел: $2,14 + 7,38 + 1,62 = 9,52 + 1,62 = 11,14$.
Сумма отрицательных чисел: $-1,23 - 5,77 = -7$.
Найдем итоговую сумму: $11,14 - 7 = 4,14$.
Ответ: $4,14$.
3) Сгруппируем слагаемые с одинаковыми знаменателями:
$-\frac{3}{7} + \frac{14}{19} + (-\frac{4}{7}) + 3\frac{5}{19} = (-\frac{3}{7} - \frac{4}{7}) + (\frac{14}{19} + 3\frac{5}{19})$.
Вычислим сумму для каждой группы:
Первая группа: $-\frac{3}{7} - \frac{4}{7} = -\frac{3+4}{7} = -\frac{7}{7} = -1$.
Вторая группа: $\frac{14}{19} + 3\frac{5}{19} = 3 + (\frac{14}{19} + \frac{5}{19}) = 3 + \frac{14+5}{19} = 3 + \frac{19}{19} = 3 + 1 = 4$.
Сложим результаты: $-1 + 4 = 3$.
Ответ: $3$.
4) Сгруппируем слагаемые с одинаковыми знаменателями:
$-\frac{5}{18} + (-\frac{4}{81}) + \frac{7}{18} + \frac{13}{81} = (-\frac{5}{18} + \frac{7}{18}) + (-\frac{4}{81} + \frac{13}{81})$.
Вычислим сумму для каждой группы:
Первая группа: $-\frac{5}{18} + \frac{7}{18} = \frac{7-5}{18} = \frac{2}{18} = \frac{1}{9}$.
Вторая группа: $-\frac{4}{81} + \frac{13}{81} = \frac{13-4}{81} = \frac{9}{81} = \frac{1}{9}$.
Сложим результаты: $\frac{1}{9} + \frac{1}{9} = \frac{2}{9}$.
Ответ: $\frac{2}{9}$.
5) Сгруппируем слагаемые с одинаковыми знаменателями в дробных частях:
$-3\frac{5}{11} + 1\frac{3}{8} + 2\frac{5}{16} + (-4\frac{6}{11}) = (-3\frac{5}{11} - 4\frac{6}{11}) + (1\frac{3}{8} + 2\frac{5}{16})$.
Вычислим сумму для первой группы: $-3\frac{5}{11} - 4\frac{6}{11} = -(3\frac{5}{11} + 4\frac{6}{11}) = -((3+4) + (\frac{5}{11} + \frac{6}{11})) = -(7 + \frac{11}{11}) = -(7 + 1) = -8$.
Вычислим сумму для второй группы, приведя дроби к общему знаменателю 16: $1\frac{3}{8} + 2\frac{5}{16} = 1\frac{3 \cdot 2}{8 \cdot 2} + 2\frac{5}{16} = 1\frac{6}{16} + 2\frac{5}{16} = (1+2) + (\frac{6}{16} + \frac{5}{16}) = 3 + \frac{11}{16} = 3\frac{11}{16}$.
Сложим результаты: $-8 + 3\frac{11}{16} = -(8 - 3\frac{11}{16}) = -(7\frac{16}{16} - 3\frac{11}{16}) = -((7-3) + (\frac{16-11}{16})) = -(4 + \frac{5}{16}) = -4\frac{5}{16}$.
Ответ: $-4\frac{5}{16}$.
Другие задания:
Помогло решение? Оставьте отзыв в комментариях ниже.
Присоединяйтесь к Телеграм-группе @top_gdz
ПрисоединитьсяМы подготовили для вас ответ c подробным объяснением домашего задания по математике за 6 класс, для упражнения номер 990 расположенного на странице 214 к учебнику 2019 - 2022 года издания для учащихся школ и гимназий.
Теперь на нашем сайте ГДЗ.ТОП вы всегда легко и бесплатно найдёте условие с правильным ответом на вопрос «Как решить ДЗ» и «Как сделать» задание по математике к упражнению №990 (с. 214), авторов: Мерзляк (Аркадий Григорьевич), Полонский (Виталий Борисович), Якир (Михаил Семёнович), ФГОС (старый) учебного пособия издательства Просвещение, Вентана-граф.