Номер 986, страница 213 - гдз по математике 6 класс учебник Мерзляк, Полонский

Авторы: Мерзляк А. Г., Полонский В. Б., Якир М. С.
Тип: Учебник
Издательство: Просвещение, Вентана-граф
Год издания: 2019 - 2022
Цвет обложки: салатовый, зелёный
ISBN: 978-5-360-10057-7
Рекомендовано Министерством образования и науки Российской Федерации
Популярные ГДЗ в 6 классе
Упражнения. Параграф 35. Свойства сложения рациональных чисел. Глава 4. Рациональные числа и действия над ними - номер 986, страница 213.
№986 (с. 213)
Условие. №986 (с. 213)
скриншот условия

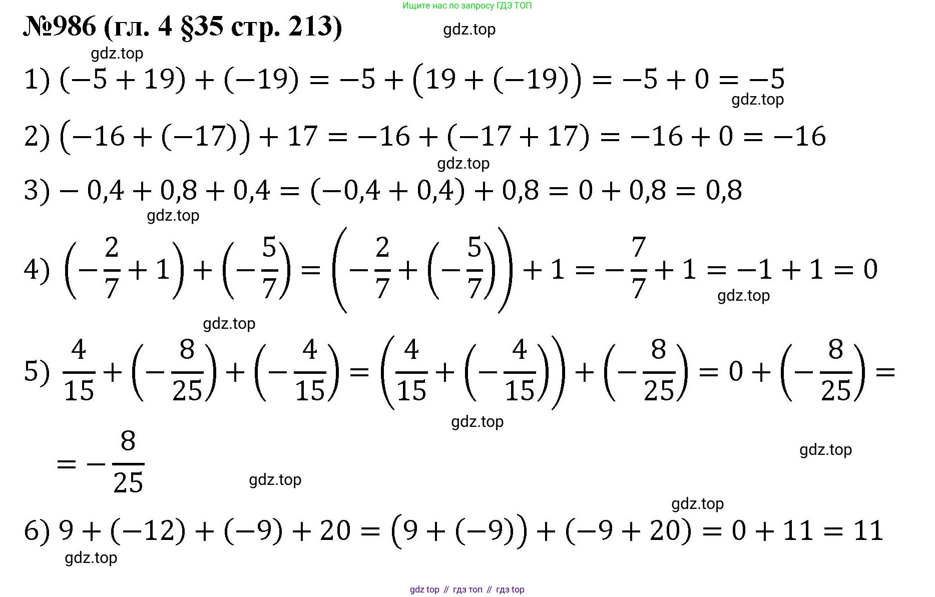
986. Вычислите, используя свойства сложения:
1) $(-5 + 19) + (-19)$;
2) $(-16 + (-17)) + 17$;
3) $-0,4 + 0,8 + 0,4$;
4) $(-\frac{2}{7} + 1) + (-\frac{5}{7})$;
5) $\frac{4}{15} + (-\frac{8}{25}) + (-\frac{4}{15})$;
6) $9 + (-12) + (-9) + 20$.
Решение. №986 (с. 213)

Решение 2. №986 (с. 213)
1) Для вычисления используем сочетательное свойство сложения, которое позволяет нам изменять порядок действий: $(a+b)+c = a+(b+c)$. Сгруппируем второе и третье слагаемые, так как они являются противоположными числами, и их сумма равна нулю.
$(-5 + 19) + (-19) = -5 + (19 + (-19)) = -5 + 0 = -5$.
Ответ: -5.
2) Используем сочетательное свойство сложения. Сгруппируем второе и третье слагаемые, которые являются противоположными числами.
$(-16 + (-17)) + 17 = -16 + ((-17) + 17) = -16 + 0 = -16$.
Ответ: -16.
3) Используем переместительное свойство сложения ($a+b=b+a$), чтобы поменять слагаемые местами, а затем сочетательное, чтобы сгруппировать противоположные числа $-0,4$ и $0,4$.
$-0,4 + 0,8 + 0,4 = (-0,4 + 0,4) + 0,8 = 0 + 0,8 = 0,8$.
Ответ: 0,8.
4) Используем переместительное и сочетательное свойства сложения, чтобы сгруппировать дроби с одинаковым знаменателем.
$(-\frac{2}{7} + 1) + (-\frac{5}{7}) = (-\frac{2}{7} + (-\frac{5}{7})) + 1 = -\frac{2+5}{7} + 1 = -\frac{7}{7} + 1 = -1 + 1 = 0$.
Ответ: 0.
5) Используем переместительное и сочетательное свойства сложения, чтобы сгруппировать первое и третье слагаемые, которые являются противоположными числами.
$\frac{4}{15} + (-\frac{8}{25}) + (-\frac{4}{15}) = (\frac{4}{15} + (-\frac{4}{15})) + (-\frac{8}{25}) = 0 + (-\frac{8}{25}) = -\frac{8}{25}$.
Ответ: $-\frac{8}{25}$.
6) Используем переместительное и сочетательное свойства сложения, чтобы сгруппировать слагаемые парами: сначала противоположные числа, а затем оставшиеся.
$9 + (-12) + (-9) + 20 = (9 + (-9)) + ((-12) + 20) = 0 + 8 = 8$.
Ответ: 8.
Другие задания:
Помогло решение? Оставьте отзыв в комментариях ниже.
Присоединяйтесь к Телеграм-группе @top_gdz
ПрисоединитьсяМы подготовили для вас ответ c подробным объяснением домашего задания по математике за 6 класс, для упражнения номер 986 расположенного на странице 213 к учебнику 2019 - 2022 года издания для учащихся школ и гимназий.
Теперь на нашем сайте ГДЗ.ТОП вы всегда легко и бесплатно найдёте условие с правильным ответом на вопрос «Как решить ДЗ» и «Как сделать» задание по математике к упражнению №986 (с. 213), авторов: Мерзляк (Аркадий Григорьевич), Полонский (Виталий Борисович), Якир (Михаил Семёнович), ФГОС (старый) учебного пособия издательства Просвещение, Вентана-граф.