Номер 991, страница 214 - гдз по математике 6 класс учебник Мерзляк, Полонский

Авторы: Мерзляк А. Г., Полонский В. Б., Якир М. С.
Тип: Учебник
Издательство: Просвещение, Вентана-граф
Год издания: 2019 - 2022
Цвет обложки: салатовый, зелёный
ISBN: 978-5-360-10057-7
Рекомендовано Министерством образования и науки Российской Федерации
Популярные ГДЗ в 6 классе
Упражнения. Параграф 35. Свойства сложения рациональных чисел. Глава 4. Рациональные числа и действия над ними - номер 991, страница 214.
№991 (с. 214)
Условие. №991 (с. 214)
скриншот условия

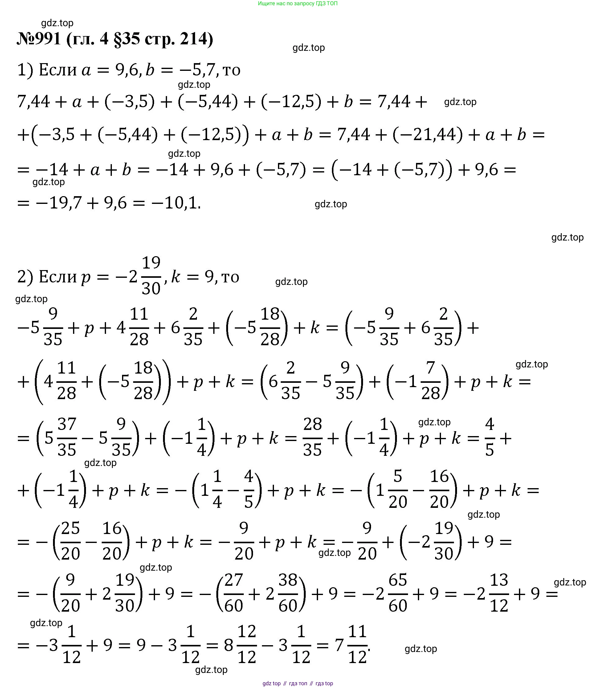
991. Упростите выражение и найдите его значение:
1) $7.44 + a + (-3.5) + (-5.44) + (-12.5) + b$, если $a = 9.6$, $b = -5.7$;
2) $-5\frac{9}{35} + p + 4\frac{11}{28} + 6\frac{2}{35} + \left(-5\frac{18}{28}\right) + k$, если $p = -2\frac{19}{30}$, $k = 9$.
Решение. №991 (с. 214)

Решение 2. №991 (с. 214)
1) Упростим выражение, сгруппировав числовые слагаемые и переменные.
$7,44 + a + (-3,5) + (-5,44) + (-12,5) + b = (7,44 - 5,44) + (-3,5 - 12,5) + a + b$
Выполним вычисления в каждой группе:
$7,44 - 5,44 = 2$
$-3,5 - 12,5 = -16$
Теперь объединим результаты. Упрощенное выражение выглядит так:
$2 + (-16) + a + b = a + b - 14$
Подставим значения $a = 9,6$ и $b = -5,7$ в упрощенное выражение:
$9,6 + (-5,7) - 14 = 9,6 - 5,7 - 14 = 3,9 - 14 = -10,1$
Ответ: $-10,1$
2) Упростим выражение, сгруппировав слагаемые с одинаковыми знаменателями и переменные.
$-5\frac{9}{35} + p + 4\frac{11}{28} + 6\frac{2}{35} + (-5\frac{18}{28}) + k = (-5\frac{9}{35} + 6\frac{2}{35}) + (4\frac{11}{28} - 5\frac{18}{28}) + p + k$
Выполним вычисления в каждой группе:
$-5\frac{9}{35} + 6\frac{2}{35} = (6 - 5) + (\frac{2}{35} - \frac{9}{35}) = 1 - \frac{7}{35} = 1 - \frac{1}{5} = \frac{4}{5}$
$4\frac{11}{28} + (-5\frac{18}{28}) = 4\frac{11}{28} - 5\frac{18}{28} = (4 - 5) + (\frac{11}{28} - \frac{18}{28}) = -1 - \frac{7}{28} = -1 - \frac{1}{4} = -1\frac{1}{4}$
Теперь объединим результаты. Упрощенное выражение выглядит так:
$\frac{4}{5} + (-1\frac{1}{4}) + p + k = \frac{4}{5} - 1\frac{1}{4} + p + k = \frac{16}{20} - \frac{25}{20} + p + k = -\frac{9}{20} + p + k$
Подставим значения $p = -2\frac{19}{30}$ и $k = 9$ в упрощенное выражение:
$-2\frac{19}{30} + 9 - \frac{9}{20} = (9 - 2\frac{19}{30}) - \frac{9}{20} = 6\frac{11}{30} - \frac{9}{20}$
Приведем дроби к общему знаменателю 60:
$6\frac{11}{30} - \frac{9}{20} = 6\frac{11 \cdot 2}{30 \cdot 2} - \frac{9 \cdot 3}{20 \cdot 3} = 6\frac{22}{60} - \frac{27}{60}$
Займем единицу у целой части:
$5\frac{60+22}{60} - \frac{27}{60} = 5\frac{82}{60} - \frac{27}{60} = 5\frac{82-27}{60} = 5\frac{55}{60} = 5\frac{11}{12}$
Ответ: $5\frac{11}{12}$
Другие задания:
Помогло решение? Оставьте отзыв в комментариях ниже.
Присоединяйтесь к Телеграм-группе @top_gdz
ПрисоединитьсяМы подготовили для вас ответ c подробным объяснением домашего задания по математике за 6 класс, для упражнения номер 991 расположенного на странице 214 к учебнику 2019 - 2022 года издания для учащихся школ и гимназий.
Теперь на нашем сайте ГДЗ.ТОП вы всегда легко и бесплатно найдёте условие с правильным ответом на вопрос «Как решить ДЗ» и «Как сделать» задание по математике к упражнению №991 (с. 214), авторов: Мерзляк (Аркадий Григорьевич), Полонский (Виталий Борисович), Якир (Михаил Семёнович), ФГОС (старый) учебного пособия издательства Просвещение, Вентана-граф.