Номер 15, страница 8, часть 2 - гдз по математике 6 класс учебник Дорофеев, Петерсон
 
                                                Авторы: Дорофеев Г. В., Петерсон Л. Г.
Тип: Учебник
Издательство: Просвещение
Год издания: 2023 - 2025
Уровень обучения: базовый
Часть: 2
Цвет обложки: голубой в клеточку
ISBN: 978-5-09-107332-4
Популярные ГДЗ в 6 классе
Часть 2. Глава 2. Арифметика. Параграф 3. Отношения. 1. Понятие отношения - номер 15, страница 8.
№15 (с. 8)
Условие 2023. №15 (с. 8)
скриншот условия
 
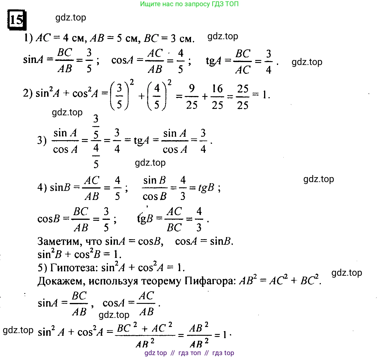
                                15 1) Измерь стороны треугольника ABC и вычисли синус, косинус и тангенс угла A.
2) Вычисли сумму квадратов синуса и косинуса угла A.
3) Найди отношение синуса угла A к косинусу угла A и сравни его с тангенсом угла A.
4) Выполни три предыдущих задания для угла B треугольника ABC. Что ты замечаешь?
5) Повтори исследование для острого угла произвольного прямоугольного треугольника. Сформулируй гипотезу. Попробуй доказать её в общем виде, используя теорему Пифагора (см. № 18).
Решение 2 (2023). №15 (с. 8)
1) Измерь стороны треугольника ABC и вычисли синус, косинус и тангенс угла A.
 Поскольку невозможно точно измерить стороны на изображении, примем их длины пропорциональными известному "египетскому" треугольнику для простоты вычислений. Пусть катет, противолежащий углу A, $BC = 3$ условных единицы, а катет, прилежащий к углу A, $AC = 4$ условных единицы.
 По теореме Пифагора найдем гипотенузу AB:
 $AB = \sqrt{AC^2 + BC^2} = \sqrt{4^2 + 3^2} = \sqrt{16 + 9} = \sqrt{25} = 5$ условных единиц.
 Теперь вычислим тригонометрические функции для угла A:
 Синус угла A — это отношение противолежащего катета к гипотенузе:
 $sin(A) = \frac{BC}{AB} = \frac{3}{5} = 0.6$
 Косинус угла A — это отношение прилежащего катета к гипотенузе:
 $cos(A) = \frac{AC}{AB} = \frac{4}{5} = 0.8$
 Тангенс угла A — это отношение противолежащего катета к прилежащему:
 $tan(A) = \frac{BC}{AC} = \frac{3}{4} = 0.75$
 
 Ответ: $sin(A) = \frac{3}{5}$, $cos(A) = \frac{4}{5}$, $tan(A) = \frac{3}{4}$.
2) Вычисли сумму квадратов синуса и косинуса угла A.
 Используя значения, полученные в предыдущем пункте, вычислим $sin^2(A) + cos^2(A)$:
 $sin^2(A) + cos^2(A) = (\frac{3}{5})^2 + (\frac{4}{5})^2 = \frac{9}{25} + \frac{16}{25} = \frac{9 + 16}{25} = \frac{25}{25} = 1$
 
 Ответ: 1.
3) Найди отношение синуса угла A к косинусу угла A и сравни его с тангенсом угла A.
 Найдем отношение $\frac{sin(A)}{cos(A)}$:
 $\frac{sin(A)}{cos(A)} = \frac{3/5}{4/5} = \frac{3}{5} \cdot \frac{5}{4} = \frac{3}{4}$
 Сравним полученное значение с тангенсом угла A из пункта 1: $tan(A) = \frac{3}{4}$.
 Значения равны.
 
 Ответ: Отношение синуса угла A к косинусу угла A равно тангенсу угла A ($\frac{sin(A)}{cos(A)} = tan(A)$).
4) Выполни три предыдущих задания для угла B треугольника ABC. Что ты замечаешь?
 Выполним задания для угла B. Для угла B катет AC является противолежащим ($AC=4$), а катет BC — прилежащим ($BC=3$). Гипотенуза $AB=5$.
 1. Вычисление тригонометрических функций угла B:
 $sin(B) = \frac{AC}{AB} = \frac{4}{5}$
 $cos(B) = \frac{BC}{AB} = \frac{3}{5}$
 $tan(B) = \frac{AC}{BC} = \frac{4}{3}$
 2. Сумма квадратов синуса и косинуса угла B:
 $sin^2(B) + cos^2(B) = (\frac{4}{5})^2 + (\frac{3}{5})^2 = \frac{16}{25} + \frac{9}{25} = \frac{25}{25} = 1$
 3. Отношение синуса угла B к косинусу угла B:
 $\frac{sin(B)}{cos(B)} = \frac{4/5}{3/5} = \frac{4}{3}$, что равно $tan(B)$.
 
 Что можно заметить:
 - Для угла B, как и для угла A, сумма квадратов синуса и косинуса равна 1.
 - Для угла B, как и для угла A, отношение синуса к косинусу равно тангенсу.
 - Сравнивая функции углов A и B (которые являются острыми углами прямоугольного треугольника, т.е. $A+B=90^\circ$), можно заметить, что:
 $sin(A) = \frac{3}{5} = cos(B)$
 $cos(A) = \frac{4}{5} = sin(B)$
 $tan(A) = \frac{3}{4}$ и $tan(B) = \frac{4}{3}$, т.е. $tan(A) = \frac{1}{tan(B)}$.
 
 Ответ: Для угла B получены аналогичные результаты: $sin^2(B) + cos^2(B) = 1$ и $\frac{sin(B)}{cos(B)} = tan(B)$. Также было замечено, что $sin(A) = cos(B)$ и $cos(A) = sin(B)$.
5) Повтори исследование для острого угла произвольного прямоугольного треугольника. Сформулируй гипотезу. Попробуй доказать её в общем виде, используя теорему Пифагора.
 Рассмотрим произвольный прямоугольный треугольник с катетами $a$ и $b$ и гипотенузой $c$. Пусть $\alpha$ — острый угол, противолежащий катету $a$ и прилежащий к катету $b$.
 По определению:
 $sin(\alpha) = \frac{a}{c}$
 $cos(\alpha) = \frac{b}{c}$
 $tan(\alpha) = \frac{a}{b}$
 По теореме Пифагора: $a^2 + b^2 = c^2$.
 
 Гипотеза: Для любого острого угла $\alpha$ справедливы следующие тождества:
 1. $sin^2(\alpha) + cos^2(\alpha) = 1$ (основное тригонометрическое тождество).
 2. $\frac{sin(\alpha)}{cos(\alpha)} = tan(\alpha)$.
 
 Доказательство:
 1. Докажем первое тождество. Подставим определения синуса и косинуса:
 $sin^2(\alpha) + cos^2(\alpha) = (\frac{a}{c})^2 + (\frac{b}{c})^2 = \frac{a^2}{c^2} + \frac{b^2}{c^2} = \frac{a^2 + b^2}{c^2}$
 Используя теорему Пифагора ($a^2 + b^2 = c^2$), заменим числитель:
 $\frac{c^2}{c^2} = 1$
 Таким образом, $sin^2(\alpha) + cos^2(\alpha) = 1$. Тождество доказано.
 
 2. Докажем второе тождество. Подставим определения синуса и косинуса в левую часть:
 $\frac{sin(\alpha)}{cos(\alpha)} = \frac{a/c}{b/c} = \frac{a}{c} \cdot \frac{c}{b} = \frac{a}{b}$
 По определению, $tan(\alpha) = \frac{a}{b}$. Следовательно, $\frac{sin(\alpha)}{cos(\alpha)} = tan(\alpha)$. Тождество доказано.
 
 Ответ: Гипотеза состоит в том, что для любого острого угла $\alpha$ выполняются тождества $sin^2(\alpha) + cos^2(\alpha) = 1$ и $\frac{sin(\alpha)}{cos(\alpha)} = tan(\alpha)$. Доказательство приведено выше и основывается на определениях тригонометрических функций и теореме Пифагора.
Условие 2010-2022. №15 (с. 8)
скриншот условия
 
                                15 1) Измерь стороны треугольника ABC и вычисли синус, косинус и тангенс угла A.
2) Вычисли сумму квадратов синуса и косинуса угла A.
3) Найди отношение синуса угла A к косинусу угла A и сравни его с тангенсом угла A.
4) Выполни три предыдущих задания для угла B треугольника ABC. Что ты замечаешь?
5) Повтори исследование для острого угла произвольного прямоугольного треугольника. Сформулируй гипотезу. Попробуй доказать ее в общем виде, используя теорему Пифагора (см. № 18).
Решение 1 (2010-2022). №15 (с. 8)
 
             
             
             
             
                            Решение 2 (2010-2022). №15 (с. 8)
 
                            Решение 3 (2010-2022). №15 (с. 8)
 
             
             
                            Другие задания:
Помогло решение? Оставьте отзыв в комментариях ниже.
Присоединяйтесь к Телеграм-группе @top_gdz
ПрисоединитьсяМы подготовили для вас ответ c подробным объяснением домашего задания по математике за 6 класс, для упражнения номер 15 расположенного на странице 8 для 2-й части к учебнику 2023 года издания для учащихся школ и гимназий.
Теперь на нашем сайте ГДЗ.ТОП вы всегда легко и бесплатно найдёте условие с правильным ответом на вопрос «Как решить ДЗ» и «Как сделать» задание по математике к упражнению №15 (с. 8), авторов: Дорофеев (Георгий Владимирович), Петерсон (Людмила Георгиевна), 2-й части ФГОС (новый, красный) базовый уровень обучения учебного пособия издательства Просвещение.
 
                     
                     
                     
                     
                     
                     
                     
                     
                     
                     
                     
                     
                     
                     
                     
                     
                     
                     
                     
                    