Номер 757, страница 171, часть 3 - гдз по математике 6 класс учебник Дорофеев, Петерсон
 
                                                Авторы: Дорофеев Г. В., Петерсон Л. Г.
Тип: Учебник
Издательство: Просвещение
Год издания: 2023 - 2025
Уровень обучения: базовый
Часть: 3
Цвет обложки: голубой в клеточку
ISBN: 978-5-09-107332-4
Популярные ГДЗ в 6 классе
Часть 3. Глава 4. Геометрия. Задачи на повторение - номер 757, страница 171.
№757 (с. 171)
Условие 2023. №757 (с. 171)
скриншот условия
 
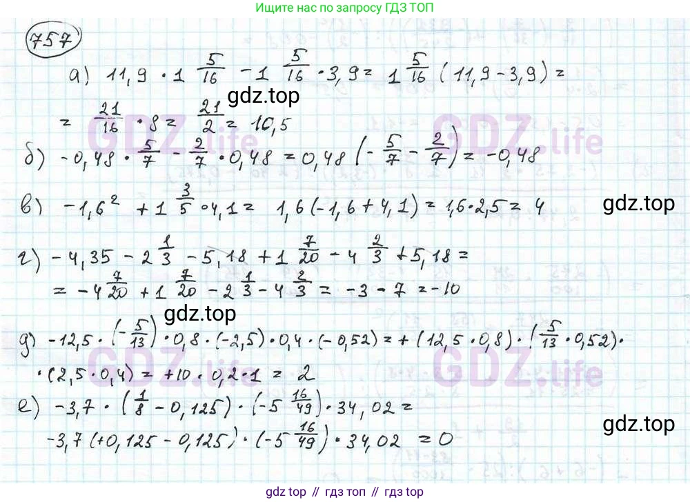
                                757 Вычисли наиболее рациональным способом:
а) $11,9 \cdot 1 \frac{5}{16} - 1 \frac{5}{16} \cdot 3,9;$
б) $-0,48 \cdot \frac{5}{7} - \frac{2}{7} \cdot 0,48;$
в) $-1,6^2 + 1 \frac{3}{5} \cdot 4,1;$
г) $-4,35 - 2 \frac{1}{3} - 5,18 + 1 \frac{7}{20} - 4 \frac{2}{3} + 5,18;$
д) $-12,5 \cdot \left(-\frac{5}{13}\right) \cdot 0,8 \cdot (-2,5) \cdot 0,4 \cdot (-0,52);$
е) $-3,7 \cdot \left(\frac{1}{8} - 0,125\right) \cdot \left(-5 \frac{16}{49}\right) \cdot 34,02.$
Решение 2 (2023). №757 (с. 171)
а) $11,9 \cdot 1\frac{5}{16} - 1\frac{5}{16} \cdot 3,9$
В этом выражении есть общий множитель $1\frac{5}{16}$. Наиболее рационально будет вынести его за скобки, применив распределительное свойство умножения $a \cdot c - b \cdot c = (a-b) \cdot c$.
$(11,9 - 3,9) \cdot 1\frac{5}{16}$
Сначала вычислим разность в скобках:
$11,9 - 3,9 = 8$
Теперь умножим полученный результат на общий множитель. Для этого представим смешанное число $1\frac{5}{16}$ в виде неправильной дроби:
$1\frac{5}{16} = \frac{1 \cdot 16 + 5}{16} = \frac{21}{16}$
Выполним умножение:
$8 \cdot \frac{21}{16} = \frac{8 \cdot 21}{16} = \frac{21}{2} = 10,5$
Ответ: 10,5
б) $-0,48 \cdot \frac{5}{7} - \frac{2}{7} \cdot 0,48$
Здесь также можно применить распределительное свойство, вынеся за скобки общий множитель. Удобнее вынести $-0,48$.
$-0,48 \cdot \frac{5}{7} - 0,48 \cdot \frac{2}{7} = -0,48 \cdot (\frac{5}{7} + \frac{2}{7})$
Вычислим сумму дробей в скобках:
$\frac{5}{7} + \frac{2}{7} = \frac{5+2}{7} = \frac{7}{7} = 1$
Теперь умножим результат на вынесенный множитель:
$-0,48 \cdot 1 = -0,48$
Ответ: -0,48
в) $-1,6^2 + 1\frac{3}{5} \cdot 4,1$
Для рационального вычисления преобразуем смешанное число $1\frac{3}{5}$ в десятичную дробь.
$1\frac{3}{5} = 1 + \frac{3}{5} = 1 + \frac{6}{10} = 1,6$
Подставим полученное значение в исходное выражение:
$-1,6^2 + 1,6 \cdot 4,1$
Запишем $-1,6^2$ как $-1,6 \cdot 1,6$ и вынесем общий множитель $1,6$ за скобки:
$-1,6 \cdot 1,6 + 1,6 \cdot 4,1 = 1,6 \cdot (-1,6 + 4,1)$
Вычислим значение в скобках:
$-1,6 + 4,1 = 2,5$
Выполним оставшееся умножение:
$1,6 \cdot 2,5 = 4$
Ответ: 4
г) $-4,35 - 2\frac{1}{3} - 5,18 + 1\frac{7}{20} - 4\frac{2}{3} + 5,18$
Наиболее рациональный способ — сгруппировать слагаемые: десятичные дроби, обыкновенные дроби с одинаковыми знаменателями и т.д.
$(-4,35 - 5,18 + 5,18) + (-2\frac{1}{3} - 4\frac{2}{3}) + 1\frac{7}{20}$
Теперь вычислим значение в каждой группе:
1) В первой группе слагаемые $-5,18$ и $+5,18$ являются противоположными числами, их сумма равна нулю. Остается $-4,35$.
2) Во второй группе сложим два отрицательных числа: $-2\frac{1}{3} - 4\frac{2}{3} = -(2\frac{1}{3} + 4\frac{2}{3}) = -((2+4) + (\frac{1}{3} + \frac{2}{3})) = -(6 + \frac{3}{3}) = -(6+1) = -7$.
Объединим полученные результаты с оставшимся слагаемым:
$-4,35 - 7 + 1\frac{7}{20}$
Преобразуем $1\frac{7}{20}$ в десятичную дробь для удобства сложения с $-4,35$.
$1\frac{7}{20} = 1 + \frac{7 \cdot 5}{20 \cdot 5} = 1 + \frac{35}{100} = 1,35$
Выполним оставшиеся действия:
$-4,35 - 7 + 1,35 = (-4,35 + 1,35) - 7 = -3 - 7 = -10$
Ответ: -10
д) $-12,5 \cdot (-\frac{5}{13}) \cdot 0,8 \cdot (-2,5) \cdot 0,4 \cdot (-0,52)$
Это произведение нескольких множителей. Сначала определим знак результата. В выражении четыре отрицательных множителя. Так как их число четное, результат будет положительным.
Теперь перемножим модули чисел, сгруппировав их для удобства вычислений:
$(12,5 \cdot 0,8) \cdot (2,5 \cdot 0,4) \cdot (\frac{5}{13} \cdot 0,52)$
Вычислим произведение в каждой группе:
1) $12,5 \cdot 0,8 = 10$
2) $2,5 \cdot 0,4 = 1$
3) В третьей группе представим $0,52$ в виде обыкновенной дроби $\frac{52}{100}$. Заметим, что $52 = 4 \cdot 13$, что позволяет сократить дробь с $\frac{5}{13}$.
$\frac{5}{13} \cdot 0,52 = \frac{5}{13} \cdot \frac{52}{100} = \frac{5 \cdot (4 \cdot 13)}{13 \cdot 100} = \frac{5 \cdot 4}{100} = \frac{20}{100} = 0,2$
Перемножим полученные результаты:
$10 \cdot 1 \cdot 0,2 = 2$
Ответ: 2
е) $-3,7 \cdot (\frac{1}{8} - 0,125) \cdot (-5\frac{16}{49}) \cdot 34,02$
Наиболее рациональный способ — начать с вычисления выражения в скобках $(\frac{1}{8} - 0,125)$.
Переведем дробь $\frac{1}{8}$ в десятичную:
$\frac{1}{8} = 1 \div 8 = 0,125$
Теперь вычислим значение в скобках:
$0,125 - 0,125 = 0$
Поскольку один из множителей в произведении равен нулю, то всё произведение равно нулю.
$-3,7 \cdot 0 \cdot (-5\frac{16}{49}) \cdot 34,02 = 0$
Ответ: 0
Условие 2010-2022. №757 (с. 171)
скриншот условия
 
                                757 Вычисли наиболее рациональным способом:
а) $11,9 \cdot 1\frac{5}{16} - 1\frac{5}{16} \cdot 3,9;$
б) $-0,48 \cdot \frac{5}{7} - \frac{2}{7} \cdot 0,48;$
в) $-1,6^2 + 1\frac{3}{5} \cdot 4,1;$
г) $-4,35 - 2\frac{1}{3} - 5,18 + 1\frac{7}{20} - 4\frac{2}{3} + 5,18;$
д) $-12,5 \cdot \left(-\frac{5}{13}\right) \cdot 0,8 \cdot (-2,5) \cdot 0,4 \cdot (-0,52);$
е) $-3,7 \cdot \left(\frac{1}{8} - 0,125\right) \cdot \left(-5\frac{16}{49}\right) \cdot 34,02.$
Решение 1 (2010-2022). №757 (с. 171)
 
             
             
             
             
             
                            Решение 2 (2010-2022). №757 (с. 171)
 
                            Решение 3 (2010-2022). №757 (с. 171)
 
                            Другие задания:
Помогло решение? Оставьте отзыв в комментариях ниже.
Присоединяйтесь к Телеграм-группе @top_gdz
ПрисоединитьсяМы подготовили для вас ответ c подробным объяснением домашего задания по математике за 6 класс, для упражнения номер 757 расположенного на странице 171 для 3-й части к учебнику 2023 года издания для учащихся школ и гимназий.
Теперь на нашем сайте ГДЗ.ТОП вы всегда легко и бесплатно найдёте условие с правильным ответом на вопрос «Как решить ДЗ» и «Как сделать» задание по математике к упражнению №757 (с. 171), авторов: Дорофеев (Георгий Владимирович), Петерсон (Людмила Георгиевна), 3-й части ФГОС (новый, красный) базовый уровень обучения учебного пособия издательства Просвещение.
 
                     
                     
                     
                     
                     
                     
                     
                     
                     
                     
                     
                     
                     
                     
                     
                     
                     
                     
                     
                    