Номер 755, страница 171, часть 3 - гдз по математике 6 класс учебник Дорофеев, Петерсон
 
                                                Авторы: Дорофеев Г. В., Петерсон Л. Г.
Тип: Учебник
Издательство: Просвещение
Год издания: 2023 - 2025
Уровень обучения: базовый
Часть: 3
Цвет обложки: голубой в клеточку
ISBN: 978-5-09-107332-4
Популярные ГДЗ в 6 классе
Часть 3. Глава 4. Геометрия. Задачи на повторение - номер 755, страница 171.
№755 (с. 171)
Условие 2023. №755 (с. 171)
скриншот условия
 
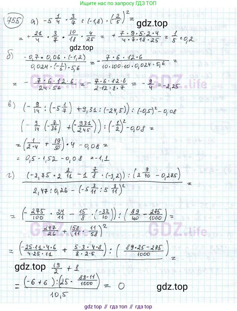
                                                                                                                                        755 Найди значение выражения:
а) $-5\frac{1}{4} \cdot \frac{3}{7} : (-1,8) \cdot \left(-\frac{2}{5}\right)^2;$
в) $\left(-\frac{9}{14} : \left(-5\frac{1}{7}\right) + 9,31 : (-24,5)\right) : (-0,5)^2 - 0,08;$
б) $\frac{-0,7 \cdot 0,06 \cdot (-1,2)}{0,024 \cdot \left(-\frac{1}{6}\right) \cdot 5,6};$
г) $\frac{\left(-2,75 \cdot 2\frac{2}{11} - 1\frac{7}{8} \cdot (-3,2)\right) : \left(2\frac{9}{40} - 0,275\right)}{2,47 : 0,26 - \left(-5\frac{3}{11} : 5\frac{3}{11}\right)^2}.$
Решение 2 (2023). №755 (с. 171)
а) $-5\frac{1}{4} \cdot \frac{3}{7} : (-1,8) \cdot (-\frac{2}{5})^2$
Решим выражение по действиям, предварительно преобразовав все числа в обыкновенные дроби.
1. Преобразуем смешанное число и десятичную дробь в неправильные дроби: 
$ -5\frac{1}{4} = -\frac{5 \cdot 4 + 1}{4} = -\frac{21}{4} $ 
$ -1,8 = -1\frac{8}{10} = -1\frac{4}{5} = -\frac{9}{5} $
2. Возведем дробь в степень: 
$ (-\frac{2}{5})^2 = \frac{4}{25} $
3. Выполним умножение и деление в порядке их следования: 
$ -\frac{21}{4} \cdot \frac{3}{7} = -\frac{21 \cdot 3}{4 \cdot 7} = -\frac{3 \cdot 7 \cdot 3}{4 \cdot 7} = -\frac{9}{4} $
4. Следующее действие — деление: 
$ -\frac{9}{4} : (-\frac{9}{5}) = \frac{9}{4} \cdot \frac{5}{9} = \frac{9 \cdot 5}{4 \cdot 9} = \frac{5}{4} $
5. Последнее умножение: 
$ \frac{5}{4} \cdot \frac{4}{25} = \frac{5 \cdot 4}{4 \cdot 25} = \frac{5}{25} = \frac{1}{5} $
Результат можно записать в виде десятичной дроби: $ \frac{1}{5} = 0,2 $.
Ответ: $ \frac{1}{5} $
б) $ \frac{-0,7 \cdot 0,06 \cdot (-1,2)}{0,024 \cdot (-\frac{1}{6}) \cdot 5,6} $
1. Определим знак всего выражения. В числителе два отрицательных множителя, значит, числитель будет положительным. В знаменателе один отрицательный множитель, значит, знаменатель будет отрицательным. В итоге всё выражение будет отрицательным.
2. Вычислим значение числителя (без учета знаков): 
$ 0,7 \cdot 0,06 \cdot 1,2 = 0,042 \cdot 1,2 = 0,0504 $
3. Вычислим значение знаменателя (без учета знаков): 
$ 0,024 \cdot \frac{1}{6} \cdot 5,6 = \frac{0,024}{6} \cdot 5,6 = 0,004 \cdot 5,6 = 0,0224 $
4. Разделим модуль числителя на модуль знаменателя: 
$ \frac{0,0504}{0,0224} = \frac{504}{224} $
5. Сократим полученную дробь. Оба числа делятся на 56: 
$ \frac{504 \div 56}{224 \div 56} = \frac{9}{4} = 2,25 $
6. Учитывая знак, полученный в пункте 1, получаем окончательный ответ.
Ответ: -2,25
в) $(-\frac{9}{14} : (-5\frac{1}{7}) + 9,31 : (-24,5)) : (-0,5)^2 - 0,08$
Решим выражение по действиям, соблюдая порядок операций.
1. Выполним первое деление в скобках: 
$ -\frac{9}{14} : (-5\frac{1}{7}) = -\frac{9}{14} : (-\frac{36}{7}) = \frac{9}{14} \cdot \frac{7}{36} = \frac{9 \cdot 7}{14 \cdot 36} = \frac{1 \cdot 1}{2 \cdot 4} = \frac{1}{8} $
2. Выполним второе деление в скобках: 
$ 9,31 : (-24,5) = - \frac{9,31}{24,5} = - \frac{93,1}{245} = -0,38 $
3. Выполним сложение в скобках: 
$ \frac{1}{8} + (-0,38) = 0,125 - 0,38 = -0,255 $
4. Возведем в степень: 
$ (-0,5)^2 = 0,25 $
5. Выполним деление результата из скобок на результат возведения в степень: 
$ -0,255 : 0,25 = - \frac{255}{250} = - \frac{51}{50} = -1,02 $
6. Выполним вычитание: 
$ -1,02 - 0,08 = -1,1 $
Ответ: -1,1
г) $ \frac{(-2,75 \cdot 2\frac{2}{11} - 1\frac{7}{8} \cdot (-3,2)) : (2\frac{9}{40} - 0,275)}{2,47 : 0,26 - (-5\frac{3}{11} : 5\frac{3}{11})^2} $
Вычислим значения числителя и знаменателя по отдельности.
Вычисление числителя:
1. Вычислим значение первого выражения в скобках: $(-2,75 \cdot 2\frac{2}{11} - 1\frac{7}{8} \cdot (-3,2))$. 
Преобразуем числа в дроби: $ -2,75 = -2\frac{3}{4} = -\frac{11}{4} $; $ 2\frac{2}{11} = \frac{24}{11} $; $ 1\frac{7}{8} = \frac{15}{8} $; $ -3,2 = -3\frac{1}{5} = -\frac{16}{5} $.
2. Выполним умножение: 
$ -2,75 \cdot 2\frac{2}{11} = -\frac{11}{4} \cdot \frac{24}{11} = -\frac{24}{4} = -6 $
3. Выполним второе умножение: 
$ 1\frac{7}{8} \cdot (-3,2) = \frac{15}{8} \cdot (-\frac{16}{5}) = -\frac{15 \cdot 16}{8 \cdot 5} = -3 \cdot 2 = -6 $
4. Выполним вычитание: 
$ -6 - (-6) = -6 + 6 = 0 $
5. Так как результат в первых скобках равен 0, то и весь числитель равен 0, поскольку $0$ разделить на любое число (кроме нуля) будет $0$. 
Числитель: $ 0 : (2\frac{9}{40} - 0,275) = 0 $.
Вычисление знаменателя:
1. Вычислим выражение $ 2,47 : 0,26 - (-5\frac{3}{11} : 5\frac{3}{11})^2 $.
2. Выполним деление: 
$ 2,47 : 0,26 = \frac{247}{26} = 9,5 $
3. Вычислим выражение в скобках и возведем в степень: 
$ (-5\frac{3}{11} : 5\frac{3}{11})^2 = (-1)^2 = 1 $
4. Выполним вычитание: 
$ 9,5 - 1 = 8,5 $
Итоговое значение:
Теперь разделим значение числителя на значение знаменателя: 
$ \frac{0}{8,5} = 0 $
Ответ: 0
Условие 2010-2022. №755 (с. 171)
скриншот условия
 
                                                                                                                                        755 Найди значения выражений:
а) $-5\frac{1}{4} \cdot \frac{3}{7} : (-1.8) \cdot \left(-\frac{2}{5}\right)^2;$
в) $\left(-\frac{9}{14} : \left(-5\frac{1}{7}\right) + 9.31 : (-24.5)\right) : (-0.5)^2 - 0.08;$
б) $\frac{-0.7 \cdot 0.06 \cdot (-1.2)}{0.024 \cdot \left(-\frac{1}{6}\right) \cdot 5.6};$
г) $\frac{\left(-2.75 \cdot 2\frac{2}{11} - 1\frac{7}{8} \cdot (-3.2)\right) : \left(2\frac{9}{40} - 0.275\right)}{2.47 : 0.26 - \left(-5\frac{3}{11} : 5\frac{3}{11}\right)^2}.$
Решение 1 (2010-2022). №755 (с. 171)
 
                                                                            
                                                                                                         
                                                                            
                                                                                                         
                                                                            
                                                                                                         
                                                                                                                        Решение 2 (2010-2022). №755 (с. 171)
 
                                                                                                                        Решение 3 (2010-2022). №755 (с. 171)
 
                                                                                                                        Другие задания:
Помогло решение? Оставьте отзыв в комментариях ниже.
Присоединяйтесь к Телеграм-группе @top_gdz
ПрисоединитьсяМы подготовили для вас ответ c подробным объяснением домашего задания по математике за 6 класс, для упражнения номер 755 расположенного на странице 171 для 3-й части к учебнику 2023 года издания для учащихся школ и гимназий.
Теперь на нашем сайте ГДЗ.ТОП вы всегда легко и бесплатно найдёте условие с правильным ответом на вопрос «Как решить ДЗ» и «Как сделать» задание по математике к упражнению №755 (с. 171), авторов: Дорофеев (Георгий Владимирович), Петерсон (Людмила Георгиевна), 3-й части ФГОС (новый, красный) базовый уровень обучения учебного пособия издательства Просвещение.
 
                     
                     
                     
                     
                     
                     
                     
                     
                     
                     
                     
                     
                     
                     
                     
                     
                     
                     
                    