Страница 256 - гдз по геометрии 7-9 класс учебник Атанасян, Бутузов

Авторы: Атанасян Л. С., Бутузов В. Ф., Кадомцев С. Б., Позняк Э. Г., Юдина И. И.
Тип: Учебник
Издательство: Просвещение
Год издания: 2023 - 2025
Уровень обучения: базовый
Цвет обложки: синий
ISBN: 978-5-09-102538-5 (2023), 978-5-09-111167-5 (2024)
Допущено Министерством просвещения Российской Федерации
Популярные ГДЗ в 7 классе
Cтраница 256

№1017 (с. 256)
Условие. №1017 (с. 256)
скриншот условия


1017 Корабль проплывает от пункта А сначала 100 км на восток, а потом 75 км на север. В системе координат, указанной на рисунке 314, изобразите результирующее перемещение как вектор Найдите координаты вектора

Решение 1. №1017 (с. 256)

Решение 10. №1017 (с. 256)

Решение 11. №1017 (с. 256)
Для решения задачи определим систему координат, как показано на рисунке 314. Горизонтальная ось (ось абсцисс) соответствует направлению на восток, а вертикальная ось (ось ординат) — направлению на север. Масштаб по обеим осям: 1 клетка = 10 км.
Задача состоит из двух частей: изобразить результирующее перемещение и найти его координаты.
Изобразите результирующее перемещение как вектор $\vec{a}$
Перемещение корабля начинается в точке А. Из рисунка видно, что координаты точки А равны $(25, 0)$.
1. Первое перемещение — 100 км на восток. Это соответствует смещению вправо по горизонтали на 100 единиц. Новая точка будет иметь координаты $(25 + 100, 0) = (125, 0)$.
2. Второе перемещение — 75 км на север из текущего положения. Это соответствует смещению вверх по вертикали на 75 единиц. Конечная точка B будет иметь координаты $(125, 0 + 75) = (125, 75)$.
Результирующий вектор перемещения $\vec{a}$ — это вектор, который начинается в начальной точке A$(25, 0)$ и заканчивается в конечной точке B$(125, 75)$. На графике его следует изобразить в виде стрелки от A к B.
Найдите координаты вектора $\vec{a}$
Координаты вектора перемещения равны разности координат его конечной и начальной точек. Если начало вектора в точке A$(x_1, y_1)$ и конец в точке B$(x_2, y_2)$, то его координаты $(x_a, y_a)$ вычисляются по формуле:
$x_a = x_2 - x_1$
$y_a = y_2 - y_1$
В нашем случае A$(25, 0)$ и B$(125, 75)$. Подставим значения:
$x_a = 125 - 25 = 100$
$y_a = 75 - 0 = 75$
Альтернативно, можно найти координаты результирующего вектора, сложив векторы отдельных перемещений.
Вектор перемещения на восток на 100 км: $\vec{v_1} = (100, 0)$.
Вектор перемещения на север на 75 км: $\vec{v_2} = (0, 75)$.
Результирующий вектор $\vec{a}$ является их суммой:
$\vec{a} = \vec{v_1} + \vec{v_2} = (100 + 0, 0 + 75) = (100, 75)$.
Оба способа дают одинаковый результат. Координаты вектора $\vec{a}$ показывают общее смещение по оси "Восток" (100 км) и по оси "Север" (75 км).
Ответ: Координаты вектора $\vec{a}$ равны $(100; 75)$.
№1018 (с. 256)
Условие. №1018 (с. 256)
скриншот условия

1018 Начертите квадрат MNPQ так, чтобы вершина Р имела координаты (−3; 3), а диагонали квадрата пересекались в начале координат. Найдите координаты точек M, N и Q.
Решение 2. №1018 (с. 256)

Решение 3. №1018 (с. 256)

Решение 4. №1018 (с. 256)

Решение 6. №1018 (с. 256)


Решение 9. №1018 (с. 256)

Решение 11. №1018 (с. 256)
Для решения этой задачи воспользуемся свойствами диагоналей квадрата: они равны по длине, взаимно перпендикулярны и в точке пересечения делятся пополам. По условию, точка пересечения диагоналей — это начало координат O(0, 0).
В квадрате MNPQ вершины перечисляются последовательно, следовательно, его диагоналями являются отрезки MP и NQ.
Координаты точки MВершина M расположена на одной диагонали с вершиной P и симметрична ей относительно центра квадрата O(0, 0). Координаты точки P даны: $(-3; 3)$. Координаты точки, симметричной точке $(x_P; y_P)$ относительно начала координат, находятся по формулам $x_M = -x_P$ и $y_M = -y_P$.
$x_M = -(-3) = 3$
$y_M = -(3) = -3$
Ответ: Координаты точки M: $(3; -3)$.
Координаты точки NДиагональ NQ перпендикулярна диагонали MP. Это означает, что для нахождения вершин N и Q можно повернуть вектор $\vec{OP}$ на 90° и -90°. Вектор $\vec{OP}$ имеет координаты $(-3; 3)$. Чтобы сохранить последовательность вершин MNPQ, применим поворот на 90° по часовой стрелке (на -90°) к точке P. Формула поворота точки $(x; y)$ на -90° вокруг начала координат: $(y; -x)$.
$N = (3; -(-3)) = (3; 3)$
Этот выбор обеспечивает последовательный обход вершин M(3; -3) > N(3; 3) > P(-3; 3) против часовой стрелки.
Ответ: Координаты точки N: $(3; 3)$.
Координаты точки QВершина Q симметрична вершине N относительно центра O(0, 0), так как они лежат на одной диагонали NQ. Используя найденные координаты N(3; 3), найдем координаты Q по формулам центральной симметрии:
$x_Q = -x_N = -(3) = -3$
$y_Q = -y_N = -(3) = -3$
Также можно было найти Q, повернув P на 90° против часовой стрелки, что дало бы тот же результат: $(-3; -3)$.
Ответ: Координаты точки Q: $(-3; -3)$.
№1019 (с. 256)
Условие. №1019 (с. 256)
скриншот условия


1019 Найдите координаты вершин равнобедренного треугольника ABC, изображённого на рисунке 315, если AB=2а, а высота СО равна h.

Решение 2. №1019 (с. 256)

Решение 3. №1019 (с. 256)

Решение 4. №1019 (с. 256)

Решение 6. №1019 (с. 256)


Решение 9. №1019 (с. 256)

Решение 11. №1019 (с. 256)
Для нахождения координат вершин равнобедренного треугольника $ABC$ воспользуемся его свойствами и данными из условия.
Координаты вершины C
Вершина $C$ лежит на оси ординат $Oy$. Любая точка на оси $Oy$ имеет абсциссу (координату $x$), равную 0. По условию, $CO$ — это высота треугольника, и ее длина равна $h$. Так как точка $O$ является началом координат (0, 0), а точка $C$ находится на положительной части оси $y$, то ордината (координата $y$) точки $C$ равна $h$.Следовательно, координаты вершины $C$ — это $(0, h)$.
Координаты вершин A и B
Вершины $A$ и $B$ лежат на оси абсцисс $Ox$. Любая точка на оси $Ox$ имеет ординату (координату $y$), равную 0.
В равнобедренном треугольнике высота, проведенная к основанию, является также медианой и биссектрисой. Поскольку $CO$ — высота к основанию $AB$, точка $O$ является серединой отрезка $AB$.
Длина основания $AB$ по условию равна $2a$. Так как $O$ — середина $AB$, то длины отрезков $AO$ и $OB$ равны половине длины $AB$:$AO = OB = \frac{AB}{2} = \frac{2a}{2} = a$.
Точка $A$ расположена на оси $Ox$ слева от начала координат, то есть на отрицательной полуоси. Ее расстояние от точки $O$ равно $a$, поэтому ее абсцисса равна $-a$. Координаты вершины $A$ — это $(-a, 0)$.
Точка $B$ расположена на оси $Ox$ справа от начала координат, то есть на положительной полуоси. Ее расстояние от точки $O$ равно $a$, поэтому ее абсцисса равна $a$. Координаты вершины $B$ — это $(a, 0)$.
Ответ: $A(-a, 0)$, $B(a, 0)$, $C(0, h)$.
№1020 (с. 256)
Условие. №1020 (с. 256)
скриншот условия

1020 Найдите координаты вершины D параллелограмма ABCD, если А (0; 0), В (5; 0), С (12; −3).
Решение 3. №1020 (с. 256)

Решение 4. №1020 (с. 256)

Решение 6. №1020 (с. 256)

Решение 9. №1020 (с. 256)


Решение 11. №1020 (с. 256)
Для нахождения координат вершины D параллелограмма ABCD можно воспользоваться свойством векторов. В параллелограмме векторы, соответствующие противоположным сторонам, равны. Следовательно, вектор $\vec{AD}$ равен вектору $\vec{BC}$.
Пусть искомые координаты вершины D равны $(x_D; y_D)$.
Координаты вектора находятся как разность соответствующих координат его конца и начала.Найдем координаты вектора $\vec{AD}$, зная координаты точек $A(0; 0)$ и $D(x_D; y_D)$:$\vec{AD} = \{x_D - x_A; y_D - y_A\} = \{x_D - 0; y_D - 0\} = \{x_D; y_D\}$.
Теперь найдем координаты вектора $\vec{BC}$, зная координаты точек $B(5; 0)$ и $C(12; -3)$:$\vec{BC} = \{x_C - x_B; y_C - y_B\} = \{12 - 5; -3 - 0\} = \{7; -3\}$.
Так как векторы $\vec{AD}$ и $\vec{BC}$ равны, их соответствующие координаты также должны быть равны:$x_D = 7$$y_D = -3$
Таким образом, координаты вершины D равны $(7; -3)$.
Альтернативный способ решения основан на свойстве диагоналей параллелограмма: они пересекаются в одной точке и делятся этой точкой пополам. Это значит, что середина диагонали AC совпадает с серединой диагонали BD.Пусть O - точка пересечения диагоналей. Найдем ее координаты как середину отрезка AC:$x_O = \frac{x_A + x_C}{2} = \frac{0 + 12}{2} = 6$$y_O = \frac{y_A + y_C}{2} = \frac{0 + (-3)}{2} = -1.5$Точка $O$ имеет координаты $(6; -1.5)$.
Теперь выразим координаты точки O через координаты B и D:$x_O = \frac{x_B + x_D}{2} = \frac{5 + x_D}{2}$$y_O = \frac{y_B + y_D}{2} = \frac{0 + y_D}{2}$
Приравнивая полученные выражения для координат точки O, найдем координаты точки D:$\frac{5 + x_D}{2} = 6 \implies 5 + x_D = 12 \implies x_D = 7$$\frac{y_D}{2} = -1.5 \implies y_D = -3$
Оба способа дают одинаковый результат.
Ответ: $(7; -3)$.
№1021 (с. 256)
Условие. №1021 (с. 256)
скриншот условия

1021 Найдите координаты вектора AB, зная координаты его начала и конца: а) А (2; 7), В (−2; 7); б) А (−5; 1), В (−5; 27); в) А (−3; 0), В (0; 4); г) А (0; 3), В (−4; 0).
Решение 2. №1021 (с. 256)




Решение 3. №1021 (с. 256)

Решение 4. №1021 (с. 256)

Решение 6. №1021 (с. 256)

Решение 7. №1021 (с. 256)

Решение 9. №1021 (с. 256)

Решение 11. №1021 (с. 256)
Чтобы найти координаты вектора, зная координаты его начала и конца, необходимо из координат конца вычесть соответствующие координаты начала. Если даны точки $A(x_A; y_A)$ (начало вектора) и $B(x_B; y_B)$ (конец вектора), то координаты вектора $\overrightarrow{AB}$ вычисляются по следующей формуле:
$\overrightarrow{AB} = \{x_B - x_A; y_B - y_A\}$
Применим эту формулу для каждого из заданных случаев.
а) Даны точки $A(2; 7)$ и $B(-2; 7)$.
Вычисляем координаты вектора $\overrightarrow{AB}$:
$\overrightarrow{AB} = \{-2 - 2; 7 - 7\} = \{-4; 0\}$
Ответ: $\{-4; 0\}$.
б) Даны точки $A(-5; 1)$ и $B(-5; 27)$.
Вычисляем координаты вектора $\overrightarrow{AB}$:
$\overrightarrow{AB} = \{-5 - (-5); 27 - 1\} = \{-5 + 5; 26\} = \{0; 26\}$
Ответ: $\{0; 26\}$.
в) Даны точки $A(-3; 0)$ и $B(0; 4)$.
Вычисляем координаты вектора $\overrightarrow{AB}$:
$\overrightarrow{AB} = \{0 - (-3); 4 - 0\} = \{0 + 3; 4\} = \{3; 4\}$
Ответ: $\{3; 4\}$.
г) Даны точки $A(0; 3)$ и $B(-4; 0)$.
Вычисляем координаты вектора $\overrightarrow{AB}$:
$\overrightarrow{AB} = \{-4 - 0; 0 - 3\} = \{-4; -3\}$
Ответ: $\{-4; -3\}$.
№1022 (с. 256)
Условие. №1022 (с. 256)
скриншот условия

1022 Перечертите таблицу в тетрадь, заполните пустые клетки и найдите x и у:
А | (0; 0) | (x; −3) | (а; b) | (1; 2) | |
В | (1; 1) | (2; −7) | (3; 1) | ||
AB | {5; у} | {−3; −12} | {c; d} | {0; 0} |
Решение 2. №1022 (с. 256)

Решение 3. №1022 (с. 256)

Решение 4. №1022 (с. 256)

Решение 6. №1022 (с. 256)

Решение 9. №1022 (с. 256)

Решение 11. №1022 (с. 256)
Для решения задачи используется формула для нахождения координат вектора по координатам его начала и конца. Если точка A имеет координаты $(x_A, y_A)$, а точка B имеет координаты $(x_B, y_B)$, то координаты вектора $\vec{AB}$ вычисляются следующим образом:
$\vec{AB} = \{x_B - x_A; y_B - y_A\}$
Рассмотрим каждый столбец таблицы по отдельности.
Столбец 1
В этом столбце даны координаты точек $A(0; 0)$ и $B(1; 1)$. Необходимо найти координаты вектора $\vec{AB}$.
Применяем формулу:
$x_{\vec{AB}} = x_B - x_A = 1 - 0 = 1$
$y_{\vec{AB}} = y_B - y_A = 1 - 0 = 1$
Таким образом, пустая ячейка в этом столбце заполняется координатами $\{1; 1\}$.
Ответ: $\vec{AB} = \{1; 1\}$.
Столбец 2
Здесь даны координаты точки $A(x; -3)$, точки $B(2; -7)$ и вектора $\vec{AB} = \{5; y\}$. Требуется найти неизвестные $x$ и $y$.
Составим систему уравнений, исходя из формулы:
$x_{\vec{AB}} = x_B - x_A \implies 5 = 2 - x$
$y_{\vec{AB}} = y_B - y_A \implies y = -7 - (-3)$
Решаем первое уравнение относительно $x$:
$x = 2 - 5$
$x = -3$
Решаем второе уравнение относительно $y$:
$y = -7 + 3$
$y = -4$
Ответ: $x = -3$, $y = -4$.
Столбец 3
В этом столбце известны координаты точки $B(3; 1)$ и вектора $\vec{AB} = \{-3; -\frac{1}{2}\}$. Координаты точки $A$ обозначены как $(a; b)$, и их нужно найти.
Выразим координаты точки A из основной формулы:
$x_A = x_B - x_{\vec{AB}}$
$y_A = y_B - y_{\vec{AB}}$
Подставляем известные значения для нахождения $a$ и $b$:
$a = 3 - (-3) = 3 + 3 = 6$
$b = 1 - (-\frac{1}{2}) = 1 + \frac{1}{2} = \frac{3}{2}$
Следовательно, координаты точки A равны $(6; \frac{3}{2})$.
Ответ: $A(6; \frac{3}{2})$.
Столбец 4
Здесь даны координаты точки $A(1; 2)$ и нулевого вектора $\vec{AB} = \{0; 0\}$. Необходимо найти координаты точки B.
Выразим координаты точки B из основной формулы:
$x_B = x_A + x_{\vec{AB}}$
$y_B = y_A + y_{\vec{AB}}$
Подставляем известные значения:
$x_B = 1 + 0 = 1$
$y_B = 2 + 0 = 2$
Координаты точки B совпадают с координатами точки A. Это означает, что начало и конец вектора находятся в одной точке.
Ответ: $B(1; 2)$.
№1023 (с. 256)
Условие. №1023 (с. 256)
скриншот условия

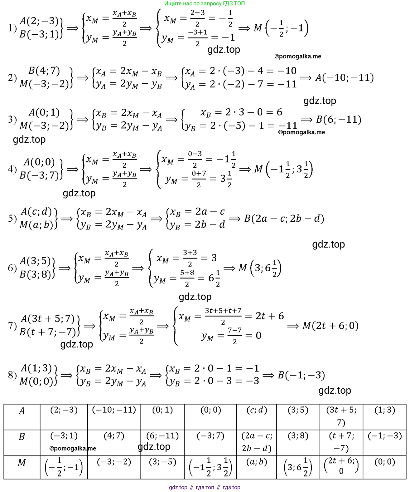
1023 Перечертите таблицу в тетрадь и, используя формулы для вычисления координат середины M отрезка AB, заполните пустые клетки:
А | (2; −3) | (0; 1) | (0; 0) | (c; d) | (3; 5) | (3t + 5; 7) | (1; 3) | |
В | (−3; 1) | (4; 7) | (−3; 7) | (3; 8) | (t + 7; −7) | |||
M | (−3; −2) | (3; −5) | (а; b) | (0; 0) |
Решение 2. №1023 (с. 256)

Решение 3. №1023 (с. 256)

Решение 4. №1023 (с. 256)

Решение 6. №1023 (с. 256)

Решение 7. №1023 (с. 256)

Решение 9. №1023 (с. 256)



Решение 11. №1023 (с. 256)
Для решения задачи воспользуемся формулами для нахождения координат $ (x_M; y_M) $ середины $ M $ отрезка $ AB $, где концы отрезка имеют координаты $ A(x_A; y_A) $ и $ B(x_B; y_B) $:
$ x_M = \frac{x_A + x_B}{2} $
$ y_M = \frac{y_A + y_B}{2} $
Если известны координаты одного из концов отрезка (например, $A$) и его середины $M$, то координаты другого конца ($B$) можно найти, выразив их из этих формул:
$ x_B = 2x_M - x_A $
$ y_B = 2y_M - y_A $
Аналогично для нахождения координат точки $A$:
$ x_A = 2x_M - x_B $
$ y_A = 2y_M - y_B $
Заполним пустые клетки таблицы, решая задачу для каждого столбца.
Столбец 1
Дано: $ A(2; -3) $, $ B(-3; 1) $. Необходимо найти координаты середины отрезка $ M $.
Вычисляем координаты $ M $:
$ x_M = \frac{2 + (-3)}{2} = \frac{-1}{2} = -0.5 $
$ y_M = \frac{-3 + 1}{2} = \frac{-2}{2} = -1 $
Ответ: $ M(-0.5; -1) $
Столбец 2
Дано: $ B(4; 7) $, $ M(-3; -2) $. Необходимо найти координаты точки $ A $.
Вычисляем координаты $ A $:
$ x_A = 2x_M - x_B = 2 \cdot (-3) - 4 = -6 - 4 = -10 $
$ y_A = 2y_M - y_B = 2 \cdot (-2) - 7 = -4 - 7 = -11 $
Ответ: $ A(-10; -11) $
Столбец 3
Дано: $ A(0; 1) $, $ M(3; -5) $. Необходимо найти координаты точки $ B $.
Вычисляем координаты $ B $:
$ x_B = 2x_M - x_A = 2 \cdot 3 - 0 = 6 $
$ y_B = 2y_M - y_A = 2 \cdot (-5) - 1 = -10 - 1 = -11 $
Ответ: $ B(6; -11) $
Столбец 4
Дано: $ A(0; 0) $, $ B(-3; 7) $. Необходимо найти координаты середины отрезка $ M $.
Вычисляем координаты $ M $:
$ x_M = \frac{0 + (-3)}{2} = \frac{-3}{2} = -1.5 $
$ y_M = \frac{0 + 7}{2} = \frac{7}{2} = 3.5 $
Ответ: $ M(-1.5; 3.5) $
Столбец 5
Дано: $ A(c; d) $, $ M(a; b) $. Необходимо найти координаты точки $ B $.
Выражаем координаты $ B $ через переменные:
$ x_B = 2x_M - x_A = 2a - c $
$ y_B = 2y_M - y_A = 2b - d $
Ответ: $ B(2a - c; 2b - d) $
Столбец 6
Дано: $ A(3; 5) $, $ B(3; 8) $. Необходимо найти координаты середины отрезка $ M $.
Вычисляем координаты $ M $:
$ x_M = \frac{3 + 3}{2} = \frac{6}{2} = 3 $
$ y_M = \frac{5 + 8}{2} = \frac{13}{2} = 6.5 $
Ответ: $ M(3; 6.5) $
Столбец 7
Дано: $ A(3t + 5; 7) $, $ B(t + 7; -7) $. Необходимо найти координаты середины отрезка $ M $.
Вычисляем координаты $ M $:
$ x_M = \frac{(3t + 5) + (t + 7)}{2} = \frac{4t + 12}{2} = 2t + 6 $
$ y_M = \frac{7 + (-7)}{2} = \frac{0}{2} = 0 $
Ответ: $ M(2t + 6; 0) $
Столбец 8
Дано: $ A(1; 3) $, $ M(0; 0) $. Необходимо найти координаты точки $ B $.
Вычисляем координаты $ B $:
$ x_B = 2x_M - x_A = 2 \cdot 0 - 1 = -1 $
$ y_B = 2y_M - y_A = 2 \cdot 0 - 3 = -3 $
Ответ: $ B(-1; -3) $
Помогло решение? Оставьте отзыв в комментариях ниже.