Номер 1304, страница 334 - гдз по геометрии 7-9 класс учебник Атанасян, Бутузов

Авторы: Атанасян Л. С., Бутузов В. Ф., Кадомцев С. Б., Позняк Э. Г., Юдина И. И.
Тип: Учебник
Издательство: Просвещение
Год издания: 2013 - 2022
Цвет обложки: синий, голубой
ISBN: 978-5-09-035930-6 (2016)
Рекомендовано Министерством образования и науки Российской Федерации
Популярные ГДЗ в 7 классе
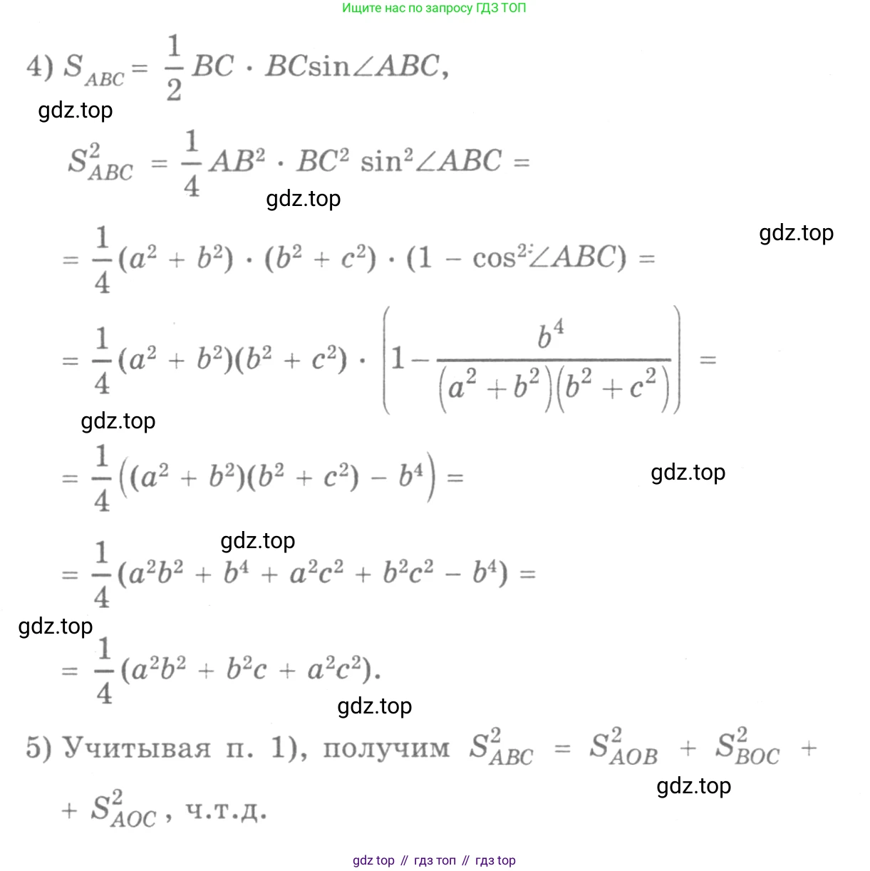
Задачи повышенной трудности. Задачи к главе 14. Задачи повышенной трудности - номер 1304, страница 334.
№1304 (с. 334)
Условие. №1304 (с. 334)

Решение 1. №1304 (с. 334)

Решение 2. №1304 (с. 334)

Решение 3. №1304 (с. 334)

Решение 4. №1304 (с. 334)

Решение 9. №1304 (с. 334)


Другие задания:
Помогло решение? Оставьте отзыв в комментариях ниже.
Присоединяйтесь к Телеграм-группе @top_gdz
ПрисоединитьсяМы подготовили для вас ответ c подробным объяснением домашего задания по геометрии за 7-9 класс, для упражнения номер 1304 расположенного на странице 334 к учебнику 2013 - 2022 года издания для учащихся школ и гимназий.
Теперь на нашем сайте ГДЗ.ТОП вы всегда легко и бесплатно найдёте условие с правильным ответом на вопрос «Как решить ДЗ» и «Как сделать» задание по геометрии к упражнению №1304 (с. 334), авторов: Атанасян (Левон Сергеевич), Бутузов (Валентин Фёдорович), Кадомцев (Сергей Борисович), Позняк (Эдуард Генрихович), Юдина (Ирина Игоревна), ФГОС (старый) учебного пособия издательства Просвещение.