Номер 7, страница 12 - гдз по алгебре 9 класс учебник Солтан, Солтан

Авторы: Солтан Г. Н., Солтан А. Е., Жумадилова А. Ж.
Тип: Учебник
Издательство: Кокшетау
Год издания: 2019 - 2025
Цвет обложки:
ISBN: 978-601-317-424-2
Рекомендовано Министерством образования и науки Республики Казахстан
Популярные ГДЗ в 9 классе
Упражнения. Повторение курса алгебры 8 класса - номер 7, страница 12.
№7 (с. 12)
Условие. №7 (с. 12)
скриншот условия

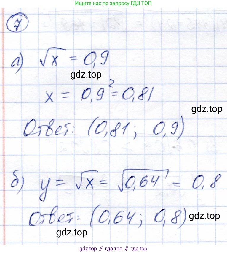
7. Найдите координаты точки пересечения графика функции $y = \sqrt{x}$ и прямой:
а) $y = 0,9$;
б) $x = 0,64$.
Решение. №7 (с. 12)

Решение 2 (rus). №7 (с. 12)
а) Чтобы найти координаты точки пересечения графика функции $y = \sqrt{x}$ и прямой $y = 0,9$, необходимо решить систему из этих двух уравнений. Поскольку значение ординаты $y$ уже известно, подставим его в уравнение функции для нахождения абсциссы $x$:
$0,9 = \sqrt{x}$
Для того чтобы найти $x$, возведем обе части уравнения в квадрат:
$x = (0,9)^2$
$x = 0,81$
Таким образом, координаты точки пересечения: $(0,81; 0,9)$.
Ответ: $(0,81; 0,9)$
б) Чтобы найти координаты точки пересечения графика функции $y = \sqrt{x}$ и прямой $x = 0,64$, подставим известное значение абсциссы $x$ в уравнение функции для нахождения ординаты $y$:
$y = \sqrt{0,64}$
Извлечем квадратный корень:
$y = 0,8$
Таким образом, координаты точки пересечения: $(0,64; 0,8)$.
Ответ: $(0,64; 0,8)$
Другие задания:
Помогло решение? Оставьте отзыв в комментариях ниже.
Присоединяйтесь к Телеграм-группе @top_gdz
ПрисоединитьсяМы подготовили для вас ответ c подробным объяснением домашего задания по алгебре за 9 класс, для упражнения номер 7 расположенного на странице 12 к учебнику 2019 года издания для учащихся школ и гимназий.
Теперь на нашем сайте ГДЗ.ТОП вы всегда легко и бесплатно найдёте условие с правильным ответом на вопрос «Как решить ДЗ» и «Как сделать» задание по алгебре к упражнению №7 (с. 12), авторов: Солтан (Генадий Николаевич), Солтан (Алла Евгеньевна), Жумадилова (Аманбала Жумадиловна), учебного пособия издательства Кокшетау.