Страница 196, часть 1 - гдз по алгебре 10-11 класс задачник часть 1, 2 Мордкович, Семенов

Авторы: Мордкович А. Г., Семенов П. В., Денищева Л. О., Корешкова Т. А., Мишустина Т. Н., Тульчинская Е. Е.
Тип: Задачник
Издательство: Мнемозина
Год издания: 2019 - 2025
Уровень обучения: базовый
Часть: 1
Цвет обложки:
ISBN: 978-5-346-04509-0 (общ.), 978-5-346-04510-6 (ч. 1), 978-5-346-04511-3 (ч. 2)
Рекомендовано Министерством образования и науки Российской Федерации
Математика: алгебра и начала математического анализа, геометрия
Популярные ГДЗ в 10 классе
ч. 1. Cтраница 196

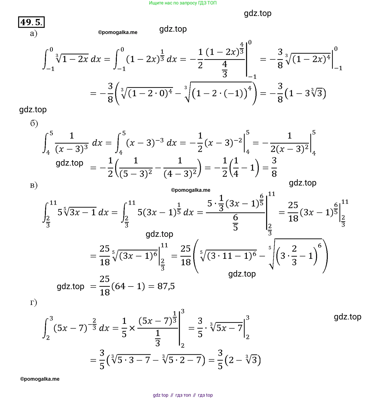
№49.5 (с. 196)
Условие. №49.5 (с. 196)
скриншот условия

49.5 a) $\int_{-1}^{0} \sqrt[3]{1 - 2x} dx;$
B) $\int_{\frac{2}{3}}^{11} 5\sqrt[5]{3x - 1} dx;$
б) $\int_{4}^{5} \frac{1}{(x - 3)^3} dx;$
Г) $\int_{2}^{3} (5x - 7)^{-\frac{2}{3}} dx.$
Решение 1. №49.5 (с. 196)

Решение 2. №49.5 (с. 196)

Решение 5. №49.5 (с. 196)

Решение 6. №49.5 (с. 196)
а) Для вычисления интеграла $\int_{-1}^{0} \sqrt[3]{1-2x} \, dx$ применим метод замены переменной. Пусть $t = 1-2x$. Тогда $dt = -2dx$, откуда $dx = -\frac{1}{2}dt$. Найдем новые пределы интегрирования: если $x = -1$, то $t = 1 - 2(-1) = 3$; если $x = 0$, то $t = 1 - 2(0) = 1$.
Подставим новую переменную и новые пределы в интеграл:
$\int_{-1}^{0} \sqrt[3]{1-2x} \, dx = \int_{3}^{1} \sqrt[3]{t} \left(-\frac{1}{2}\right) dt = -\frac{1}{2} \int_{3}^{1} t^{\frac{1}{3}} dt = \frac{1}{2} \int_{1}^{3} t^{\frac{1}{3}} dt$.
Теперь найдем первообразную и применим формулу Ньютона-Лейбница:
$\frac{1}{2} \left[ \frac{t^{\frac{1}{3}+1}}{\frac{1}{3}+1} \right]_{1}^{3} = \frac{1}{2} \left[ \frac{t^{\frac{4}{3}}}{\frac{4}{3}} \right]_{1}^{3} = \frac{1}{2} \cdot \frac{3}{4} [t^{\frac{4}{3}}]_{1}^{3} = \frac{3}{8} (3^{\frac{4}{3}} - 1^{\frac{4}{3}}) = \frac{3}{8} (3\sqrt[3]{3} - 1)$.
Ответ: $\frac{3}{8}(3\sqrt[3]{3} - 1)$.
б) Вычислим интеграл $\int_{4}^{5} \frac{1}{(x-3)^3} dx$. Перепишем подынтегральное выражение в виде $(x-3)^{-3}$. Применим замену переменной: $t = x-3$. Тогда $dt = dx$. Новые пределы интегрирования: если $x = 4$, то $t = 4 - 3 = 1$; если $x = 5$, то $t = 5 - 3 = 2$.
Интеграл принимает вид:
$\int_{1}^{2} t^{-3} dt$.
Найдем первообразную и вычислим определенный интеграл:
$\left[ \frac{t^{-3+1}}{-3+1} \right]_{1}^{2} = \left[ \frac{t^{-2}}{-2} \right]_{1}^{2} = \left[ -\frac{1}{2t^2} \right]_{1}^{2} = \left(-\frac{1}{2 \cdot 2^2}\right) - \left(-\frac{1}{2 \cdot 1^2}\right) = -\frac{1}{8} - \left(-\frac{1}{2}\right) = -\frac{1}{8} + \frac{4}{8} = \frac{3}{8}$.
Ответ: $\frac{3}{8}$.
в) Для вычисления интеграла $\int_{\frac{2}{3}}^{11} 5\sqrt[5]{3x-1} \, dx$ вынесем константу 5 за знак интеграла и сделаем замену переменной. Пусть $t = 3x-1$. Тогда $dt = 3dx$, откуда $dx = \frac{1}{3}dt$. Новые пределы интегрирования: если $x = \frac{2}{3}$, то $t = 3(\frac{2}{3}) - 1 = 2-1 = 1$; если $x = 11$, то $t = 3(11) - 1 = 32$.
Подставляем в интеграл:
$5 \int_{\frac{2}{3}}^{11} (3x-1)^{\frac{1}{5}} dx = 5 \int_{1}^{32} t^{\frac{1}{5}} \frac{1}{3} dt = \frac{5}{3} \int_{1}^{32} t^{\frac{1}{5}} dt$.
Вычисляем по формуле Ньютона-Лейбница:
$\frac{5}{3} \left[ \frac{t^{\frac{1}{5}+1}}{\frac{1}{5}+1} \right]_{1}^{32} = \frac{5}{3} \left[ \frac{t^{\frac{6}{5}}}{\frac{6}{5}} \right]_{1}^{32} = \frac{5}{3} \cdot \frac{5}{6} [t^{\frac{6}{5}}]_{1}^{32} = \frac{25}{18} (32^{\frac{6}{5}} - 1^{\frac{6}{5}})$.
Так как $32^{\frac{1}{5}} = 2$, то $32^{\frac{6}{5}} = (32^{\frac{1}{5}})^6 = 2^6 = 64$.
$\frac{25}{18}(64 - 1) = \frac{25 \cdot 63}{18} = \frac{25 \cdot 7}{2} = \frac{175}{2} = 87.5$.
Ответ: $\frac{175}{2}$.
г) Вычислим интеграл $\int_{2}^{3} (5x-7)^{-\frac{2}{3}} dx$. Используем замену переменной: $t = 5x-7$. Тогда $dt = 5dx$, откуда $dx = \frac{1}{5}dt$. Новые пределы интегрирования: если $x = 2$, то $t = 5(2) - 7 = 3$; если $x = 3$, то $t = 5(3) - 7 = 8$.
Интеграл принимает вид:
$\int_{3}^{8} t^{-\frac{2}{3}} \frac{1}{5} dt = \frac{1}{5} \int_{3}^{8} t^{-\frac{2}{3}} dt$.
Находим первообразную и вычисляем:
$\frac{1}{5} \left[ \frac{t^{-\frac{2}{3}+1}}{-\frac{2}{3}+1} \right]_{3}^{8} = \frac{1}{5} \left[ \frac{t^{\frac{1}{3}}}{\frac{1}{3}} \right]_{3}^{8} = \frac{1}{5} \cdot 3 [t^{\frac{1}{3}}]_{3}^{8} = \frac{3}{5} (\sqrt[3]{8} - \sqrt[3]{3}) = \frac{3}{5} (2 - \sqrt[3]{3})$.
Ответ: $\frac{3}{5}(2 - \sqrt[3]{3})$.
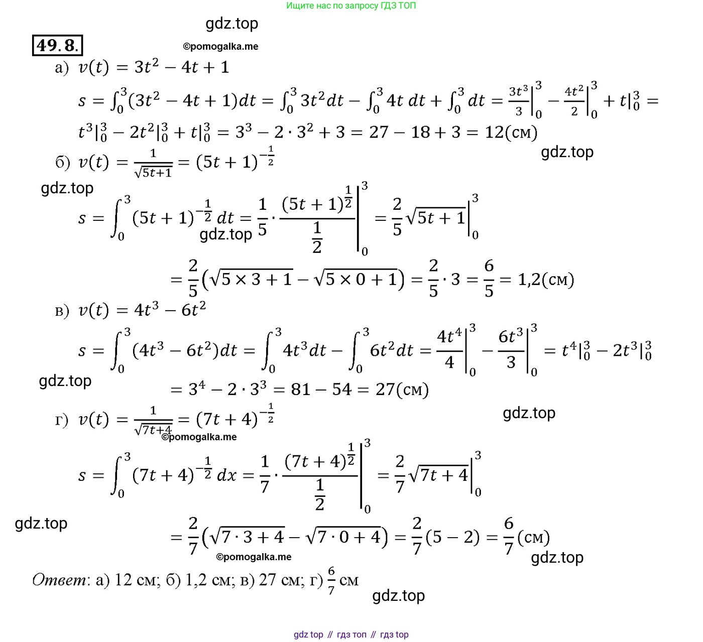
№49.8 (с. 196)
Условие. №49.8 (с. 196)
скриншот условия

49.8 Материальная точка движется по прямой со скоростью, определяемой формулой $v = v(t)$ (время измеряется в секундах, а скорость — в сантиметрах в секунду). Какой путь пройдёт точка за 3 секунды, считая от начала движения ($t = 0$)?
а) $v(t) = 3t^2 - 4t + 1$; в) $v(t) = 4t^3 - 6t^2$;
б) $v(t) = \frac{1}{\sqrt{5t + 1}}$; г) $v(t) = \frac{1}{\sqrt{7t + 4}}$.
Решение 1. №49.8 (с. 196)

Решение 2. №49.8 (с. 196)


Решение 5. №49.8 (с. 196)


Решение 6. №49.8 (с. 196)
Для нахождения пути, пройденного материальной точкой за промежуток времени от $t_1$ до $t_2$, необходимо вычислить определенный интеграл от модуля скорости $v(t)$ по времени. В данной задаче требуется найти путь за 3 секунды, считая от начала движения ($t=0$), поэтому промежуток интегрирования — от 0 до 3. Формула для вычисления пути $s$ выглядит так:
$s = \int_{0}^{3} |v(t)| \,dt$
Если на интервале $[0, 3]$ функция скорости $v(t)$ меняет знак, то для вычисления пути интеграл необходимо разбить на части, на каждой из которых $v(t)$ знакопостоянна.
a) $v(t) = 3t^2 - 4t + 1$
Сначала определим знаки функции скорости на интервале $[0, 3]$. Для этого найдем корни уравнения $v(t) = 0$:
$3t^2 - 4t + 1 = 0$
Дискриминант $D = (-4)^2 - 4 \cdot 3 \cdot 1 = 16 - 12 = 4$.
Корни уравнения: $t_{1,2} = \frac{4 \pm \sqrt{4}}{2 \cdot 3} = \frac{4 \pm 2}{6}$.
$t_1 = \frac{2}{6} = \frac{1}{3}$, $t_2 = \frac{6}{6} = 1$.
График функции $v(t)$ — парабола с ветвями вверх, поэтому:
$v(t) \ge 0$ при $t \in [0, 1/3]$ и $t \in [1, 3]$.
$v(t) \le 0$ при $t \in [1/3, 1]$.
Следовательно, путь вычисляется как сумма интегралов:
$s = \int_{0}^{1/3} (3t^2 - 4t + 1) \,dt + \int_{1/3}^{1} -(3t^2 - 4t + 1) \,dt + \int_{1}^{3} (3t^2 - 4t + 1) \,dt$
Найдем первообразную для $v(t)$:
$F(t) = \int (3t^2 - 4t + 1) \,dt = \frac{3t^3}{3} - \frac{4t^2}{2} + t = t^3 - 2t^2 + t$.
Вычислим значения первообразной в точках $0, 1/3, 1, 3$:
$F(0) = 0$
$F(1/3) = (\frac{1}{3})^3 - 2(\frac{1}{3})^2 + \frac{1}{3} = \frac{1}{27} - \frac{2}{9} + \frac{1}{3} = \frac{1-6+9}{27} = \frac{4}{27}$
$F(1) = 1^3 - 2 \cdot 1^2 + 1 = 0$
$F(3) = 3^3 - 2 \cdot 3^2 + 3 = 27 - 18 + 3 = 12$
Теперь вычислим путь:
$s = |F(1/3) - F(0)| + |F(1) - F(1/3)| + |F(3) - F(1)| = |\frac{4}{27} - 0| + |0 - \frac{4}{27}| + |12 - 0| = \frac{4}{27} + \frac{4}{27} + 12 = \frac{8}{27} + 12 = \frac{8 + 324}{27} = \frac{332}{27}$ см.
Ответ: $\frac{332}{27}$ см.
б) $v(t) = \frac{1}{\sqrt{5t+1}}$
На интервале времени $[0, 3]$ выражение под корнем $5t+1$ всегда положительно (изменяется от 1 до 16). Следовательно, $v(t) > 0$ на всем интервале, и модуль можно опустить:
$s = \int_{0}^{3} \frac{1}{\sqrt{5t+1}} \,dt$
Для вычисления интеграла применим замену переменной. Пусть $u = 5t+1$, тогда $du = 5\,dt$, или $dt = \frac{du}{5}$.
Найдем новые пределы интегрирования: при $t=0$, $u=5(0)+1=1$; при $t=3$, $u=5(3)+1=16$.
$s = \int_{1}^{16} \frac{1}{\sqrt{u}} \frac{du}{5} = \frac{1}{5} \int_{1}^{16} u^{-1/2} \,du = \frac{1}{5} [2\sqrt{u}]_{1}^{16} = \frac{2}{5}(\sqrt{16} - \sqrt{1}) = \frac{2}{5}(4-1) = \frac{2}{5} \cdot 3 = \frac{6}{5}$ см.
Ответ: $1,2$ см.
в) $v(t) = 4t^3 - 6t^2$
Определим, где скорость меняет знак. Решим уравнение $v(t) = 0$:
$4t^3 - 6t^2 = 0 \implies 2t^2(2t - 3) = 0$
Корни уравнения: $t=0$ и $t = \frac{3}{2} = 1.5$.
На интервале $[0, 3]$ точка смены знака — $t=1.5$.
При $t \in [0, 1.5]$, $v(t) \le 0$.
При $t \in [1.5, 3]$, $v(t) \ge 0$.
Интеграл для нахождения пути разбивается на две части:
$s = \int_{0}^{1.5} |4t^3 - 6t^2| \,dt + \int_{1.5}^{3} |4t^3 - 6t^2| \,dt = \int_{0}^{1.5} (6t^2 - 4t^3) \,dt + \int_{1.5}^{3} (4t^3 - 6t^2) \,dt$
Найдем первообразную для $v(t)$:
$F(t) = \int (4t^3 - 6t^2) \,dt = \frac{4t^4}{4} - \frac{6t^3}{3} = t^4 - 2t^3$.
Вычислим путь:
$s = |F(1.5) - F(0)| + |F(3) - F(1.5)|$
$F(0) = 0$
$F(1.5) = F(\frac{3}{2}) = (\frac{3}{2})^4 - 2(\frac{3}{2})^3 = \frac{81}{16} - 2 \cdot \frac{27}{8} = \frac{81}{16} - \frac{54}{8} = \frac{81 - 108}{16} = -\frac{27}{16}$
$F(3) = 3^4 - 2 \cdot 3^3 = 81 - 54 = 27$
Подставляем значения:
$s = |-\frac{27}{16} - 0| + |27 - (-\frac{27}{16})| = \frac{27}{16} + |27 + \frac{27}{16}| = \frac{27}{16} + \frac{432+27}{16} = \frac{27 + 459}{16} = \frac{486}{16} = \frac{243}{8}$ см.
Ответ: $30,375$ см.
г) $v(t) = \frac{1}{\sqrt{7t+4}}$
На интервале времени $[0, 3]$ выражение под корнем $7t+4$ всегда положительно (изменяется от 4 до 25). Значит, $v(t) > 0$ на всем интервале. Модуль можно опустить:
$s = \int_{0}^{3} \frac{1}{\sqrt{7t+4}} \,dt$
Воспользуемся заменой переменной. Пусть $u = 7t+4$, тогда $du = 7\,dt$, или $dt = \frac{du}{7}$.
Новые пределы интегрирования: при $t=0$, $u=7(0)+4=4$; при $t=3$, $u=7(3)+4=25$.
$s = \int_{4}^{25} \frac{1}{\sqrt{u}} \frac{du}{7} = \frac{1}{7} \int_{4}^{25} u^{-1/2} \,du = \frac{1}{7} [2\sqrt{u}]_{4}^{25} = \frac{2}{7}(\sqrt{25} - \sqrt{4}) = \frac{2}{7}(5-2) = \frac{2}{7} \cdot 3 = \frac{6}{7}$ см.
Ответ: $\frac{6}{7}$ см.
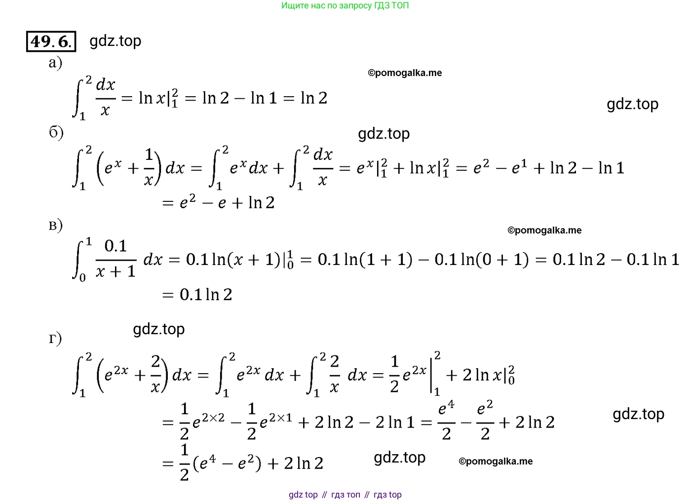
№49.6 (с. 196)
Условие. №49.6 (с. 196)
скриншот условия

49.6 a) $\int_1^2 \frac{dx}{x}$;
б) $\int_1^2 (e^x + \frac{1}{x}) dx$;
В) $\int_0^1 \frac{0.1}{x+1} dx$;
Г) $\int_1^2 (e^{2x} + \frac{2}{x}) dx$.
Решение 1. №49.6 (с. 196)

Решение 2. №49.6 (с. 196)

Решение 5. №49.6 (с. 196)


Решение 6. №49.6 (с. 196)
а) Для вычисления данного определенного интеграла воспользуемся формулой Ньютона-Лейбница: $\int_{a}^{b} f(x) dx = F(b) - F(a)$, где $F(x)$ является первообразной для функции $f(x)$.
В данном случае $f(x) = \frac{1}{x}$. Первообразная для этой функции $F(x) = \ln|x|$.
Подставляем пределы интегрирования:
$\int_{1}^{2} \frac{dx}{x} = [\ln|x|]_{1}^{2} = \ln|2| - \ln|1|$
Поскольку $\ln(1) = 0$, получаем:
$\ln(2) - 0 = \ln(2)$.
Ответ: $\ln(2)$.
б) Интеграл от суммы функций равен сумме интегралов от этих функций. Найдем первообразную для подынтегрального выражения $e^x + \frac{1}{x}$.
Первообразная для $e^x$ — это $e^x$.
Первообразная для $\frac{1}{x}$ — это $\ln|x|$.
Следовательно, первообразная для $e^x + \frac{1}{x}$ есть $F(x) = e^x + \ln|x|$.
Применяем формулу Ньютона-Лейбница:
$\int_{1}^{2} (e^x + \frac{1}{x})dx = [e^x + \ln|x|]_{1}^{2} = (e^2 + \ln|2|) - (e^1 + \ln|1|)$
Так как $\ln(1) = 0$, выражение упрощается до:
$(e^2 + \ln(2)) - (e + 0) = e^2 - e + \ln(2)$.
Ответ: $e^2 - e + \ln(2)$.
в) Сначала вынесем константу $0,1$ за знак интеграла:
$\int_{0}^{1} \frac{0,1}{x + 1}dx = 0,1 \int_{0}^{1} \frac{1}{x + 1}dx$.
Первообразная для функции $f(x) = \frac{1}{x+1}$ есть $F(x) = \ln|x+1|$.
Применим формулу Ньютона-Лейбница:
$0,1 [\ln|x+1|]_{0}^{1} = 0,1 (\ln|1+1| - \ln|0+1|) = 0,1 (\ln(2) - \ln(1))$
Учитывая, что $\ln(1)=0$, получаем:
$0,1 (\ln(2) - 0) = 0,1\ln(2)$.
Ответ: $0,1\ln(2)$.
г) Найдем первообразную для подынтегральной функции $e^{2x} + \frac{2}{x}$.
Первообразная для $e^{2x}$ — это $\frac{1}{2}e^{2x}$.
Первообразная для $\frac{2}{x}$ — это $2\ln|x|$.
Таким образом, общая первообразная $F(x) = \frac{1}{2}e^{2x} + 2\ln|x|$.
Применим формулу Ньютона-Лейбница:
$\int_{1}^{2} (e^{2x} + \frac{2}{x})dx = [\frac{1}{2}e^{2x} + 2\ln|x|]_{1}^{2} = (\frac{1}{2}e^{2 \cdot 2} + 2\ln|2|) - (\frac{1}{2}e^{2 \cdot 1} + 2\ln|1|)$
Так как $\ln(1)=0$, получаем:
$(\frac{1}{2}e^{4} + 2\ln(2)) - (\frac{1}{2}e^{2} + 0) = \frac{1}{2}e^{4} - \frac{1}{2}e^{2} + 2\ln(2)$.
Ответ: $\frac{1}{2}e^{4} - \frac{1}{2}e^{2} + 2\ln(2)$.
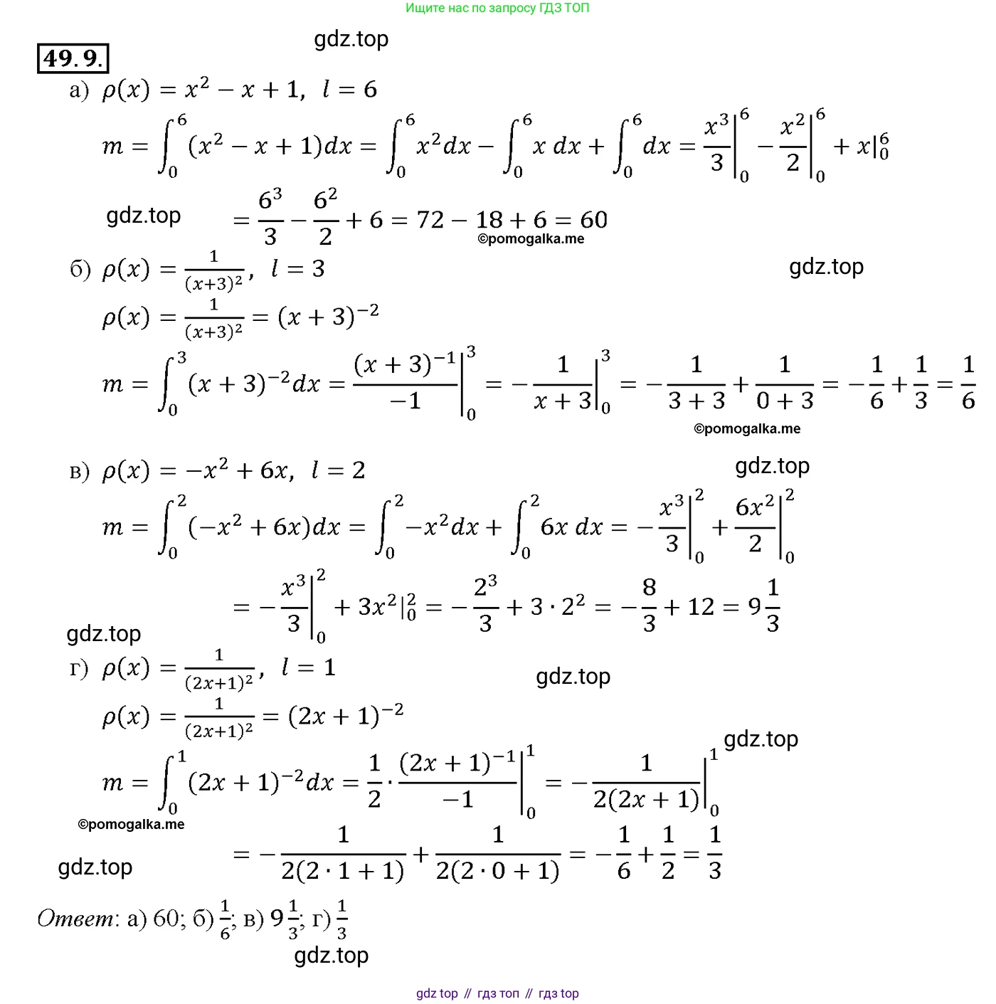
№49.9 (с. 196)
Условие. №49.9 (с. 196)
скриншот условия

49.9 Дан прямолинейный стержень длиной $l$. Он неоднороден, и его плотность в точке, удалённой от левого конца на $x$, $0 \le x \le l$, определяется по формуле $\rho = \rho(x)$. Найдите массу стержня, если:
а) $\rho(x) = x^2 - x + 1$, $l = 6$;
б) $\rho(x) = \frac{1}{(x+3)^2}$, $l = 3$;
в) $\rho(x) = -x^2 + 6x$, $l = 2$;
г) $\rho(x) = \frac{1}{(2x+1)^2}$, $l = 1$.
Решение 1. №49.9 (с. 196)

Решение 2. №49.9 (с. 196)


Решение 5. №49.9 (с. 196)


Решение 6. №49.9 (с. 196)
Масса $m$ прямолинейного неоднородного стержня длиной $l$, плотность которого в точке $x$ (где $x$ — расстояние от левого конца, $0 \le x \le l$) задана функцией $\rho(x)$, вычисляется с помощью определенного интеграла:
$m = \int_{0}^{l} \rho(x) \,dx$
Применим эту формулу для решения каждого из подпунктов.
а) $\rho(x) = x^2 - x + 1, l = 6;$Подставляем данные в формулу для массы:
$m = \int_{0}^{6} (x^2 - x + 1) \,dx$
Для вычисления интеграла сначала найдем первообразную для подынтегральной функции $f(x) = x^2 - x + 1$.
$F(x) = \int (x^2 - x + 1) \,dx = \frac{x^3}{3} - \frac{x^2}{2} + x$
Теперь, используя формулу Ньютона-Лейбница, вычислим значение определенного интеграла:
$m = F(6) - F(0) = \left[ \frac{x^3}{3} - \frac{x^2}{2} + x \right]_{0}^{6}$
$m = \left(\frac{6^3}{3} - \frac{6^2}{2} + 6\right) - \left(\frac{0^3}{3} - \frac{0^2}{2} + 0\right)$
$m = \left(\frac{216}{3} - \frac{36}{2} + 6\right) - 0 = 72 - 18 + 6 = 60$
Ответ: 60.
б) $\rho(x) = \frac{1}{(x+3)^2}, l = 3;$Подставляем данные в формулу для массы:
$m = \int_{0}^{3} \frac{1}{(x+3)^2} \,dx$
Для нахождения первообразной воспользуемся методом замены переменной. Пусть $u = x+3$, тогда $du = dx$.
$\int \frac{1}{(x+3)^2} \,dx = \int \frac{1}{u^2} \,du = \int u^{-2} \,du = \frac{u^{-1}}{-1} = -\frac{1}{u} = -\frac{1}{x+3}$
Вычисляем определенный интеграл по формуле Ньютона-Лейбница:
$m = \left[ -\frac{1}{x+3} \right]_{0}^{3} = \left(-\frac{1}{3+3}\right) - \left(-\frac{1}{0+3}\right)$
$m = -\frac{1}{6} - \left(-\frac{1}{3}\right) = -\frac{1}{6} + \frac{1}{3} = -\frac{1}{6} + \frac{2}{6} = \frac{1}{6}$
Ответ: $\frac{1}{6}$.
в) $\rho(x) = -x^2 + 6x, l = 2;$Подставляем данные в формулу для массы:
$m = \int_{0}^{2} (-x^2 + 6x) \,dx$
Находим первообразную для подынтегральной функции:
$F(x) = \int (-x^2 + 6x) \,dx = -\frac{x^3}{3} + 6\frac{x^2}{2} = -\frac{x^3}{3} + 3x^2$
Вычисляем определенный интеграл:
$m = \left[ -\frac{x^3}{3} + 3x^2 \right]_{0}^{2} = \left(-\frac{2^3}{3} + 3 \cdot 2^2\right) - \left(-\frac{0^3}{3} + 3 \cdot 0^2\right)$
$m = \left(-\frac{8}{3} + 12\right) - 0 = -\frac{8}{3} + \frac{36}{3} = \frac{28}{3}$
Ответ: $\frac{28}{3}$.
г) $\rho(x) = \frac{1}{(2x+1)^2}, l = 1.$Подставляем данные в формулу для массы:
$m = \int_{0}^{1} \frac{1}{(2x+1)^2} \,dx$
Для нахождения первообразной воспользуемся методом замены переменной. Пусть $u = 2x+1$, тогда $du = 2dx$ и $dx = \frac{1}{2}du$.
$\int \frac{1}{(2x+1)^2} \,dx = \int \frac{1}{u^2} \cdot \frac{1}{2}du = \frac{1}{2} \int u^{-2} \,du = \frac{1}{2} \left(\frac{u^{-1}}{-1}\right) = -\frac{1}{2u} = -\frac{1}{2(2x+1)}$
Вычисляем определенный интеграл:
$m = \left[ -\frac{1}{2(2x+1)} \right]_{0}^{1} = \left(-\frac{1}{2(2 \cdot 1 + 1)}\right) - \left(-\frac{1}{2(2 \cdot 0 + 1)}\right)$
$m = \left(-\frac{1}{2 \cdot 3}\right) - \left(-\frac{1}{2 \cdot 1}\right) = -\frac{1}{6} + \frac{1}{2} = -\frac{1}{6} + \frac{3}{6} = \frac{2}{6} = \frac{1}{3}$
Ответ: $\frac{1}{3}$.
№49.7 (с. 196)
Условие. №49.7 (с. 196)
скриншот условия

49.7 a) $\int_{3}^{6} \frac{dx}{2x - 1}$;
б) $\int_{-1}^{0} \frac{dx}{-5x + 6}$;
В) $\int_{0}^{\frac{1}{2}} \frac{1}{4x + 1} dx$;
Г) $\int_{5}^{8} \frac{dx}{9 - x}$.
Решение 1. №49.7 (с. 196)

Решение 2. №49.7 (с. 196)

Решение 5. №49.7 (с. 196)


Решение 6. №49.7 (с. 196)
а) Для вычисления определенного интеграла $ \int_3^6 \frac{dx}{2x-1} $ сначала найдем первообразную для подынтегральной функции $ f(x) = \frac{1}{2x-1} $. Используем табличный интеграл вида $ \int \frac{dx}{ax+b} = \frac{1}{a}\ln|ax+b|+C $.
В данном случае $ a=2 $ и $ b=-1 $, поэтому первообразная $ F(x) = \frac{1}{2}\ln|2x-1| $.
Далее применим формулу Ньютона-Лейбница $ \int_a^b f(x)dx = F(b) - F(a) $:
$ \int_3^6 \frac{dx}{2x-1} = \left. \frac{1}{2}\ln|2x-1| \right|_3^6 = \frac{1}{2}\ln|2 \cdot 6 - 1| - \frac{1}{2}\ln|2 \cdot 3 - 1| $
$ = \frac{1}{2}\ln|11| - \frac{1}{2}\ln|5| = \frac{1}{2}(\ln(11) - \ln(5)) = \frac{1}{2}\ln\frac{11}{5} $.
Ответ: $ \frac{1}{2}\ln\frac{11}{5} $.
б) Вычислим определенный интеграл $ \int_{-1}^0 \frac{dx}{-5x+6} $.
Первообразная для функции $ f(x) = \frac{1}{-5x+6} $ находится аналогично. Здесь $ a=-5 $ и $ b=6 $, поэтому первообразная $ F(x) = \frac{1}{-5}\ln|-5x+6| = -\frac{1}{5}\ln|-5x+6| $.
Применим формулу Ньютона-Лейбница:
$ \int_{-1}^0 \frac{dx}{-5x+6} = \left. -\frac{1}{5}\ln|-5x+6| \right|_{-1}^0 = \left(-\frac{1}{5}\ln|-5 \cdot 0 + 6|\right) - \left(-\frac{1}{5}\ln|-5 \cdot (-1) + 6|\right) $
$ = -\frac{1}{5}\ln|6| - \left(-\frac{1}{5}\ln|5+6|\right) = -\frac{1}{5}\ln(6) + \frac{1}{5}\ln(11) = \frac{1}{5}(\ln(11) - \ln(6)) = \frac{1}{5}\ln\frac{11}{6} $.
Ответ: $ \frac{1}{5}\ln\frac{11}{6} $.
в) Вычислим определенный интеграл $ \int_0^{\frac{1}{2}} \frac{1}{4x+1}dx $.
Первообразная для функции $ f(x) = \frac{1}{4x+1} $ находится по той же формуле. В данном случае $ a=4 $ и $ b=1 $, поэтому первообразная $ F(x) = \frac{1}{4}\ln|4x+1| $.
Применим формулу Ньютона-Лейбница:
$ \int_0^{\frac{1}{2}} \frac{dx}{4x+1} = \left. \frac{1}{4}\ln|4x+1| \right|_0^{\frac{1}{2}} = \frac{1}{4}\ln\left|4 \cdot \frac{1}{2} + 1\right| - \frac{1}{4}\ln|4 \cdot 0 + 1| $
$ = \frac{1}{4}\ln|2+1| - \frac{1}{4}\ln|1| = \frac{1}{4}\ln(3) - \frac{1}{4} \cdot 0 = \frac{1}{4}\ln(3) $.
Ответ: $ \frac{1}{4}\ln(3) $.
г) Вычислим определенный интеграл $ \int_5^8 \frac{dx}{9-x} $.
Перепишем подынтегральную функцию как $ f(x) = \frac{1}{-x+9} $. Первообразная для этой функции находится по той же формуле. Здесь $ a=-1 $ и $ b=9 $, поэтому первообразная $ F(x) = \frac{1}{-1}\ln|-x+9| = -\ln|9-x| $.
Применим формулу Ньютона-Лейбница:
$ \int_5^8 \frac{dx}{9-x} = \left. -\ln|9-x| \right|_5^8 = (-\ln|9-8|) - (-\ln|9-5|) $
$ = -\ln|1| - (-\ln|4|) = 0 + \ln(4) = \ln(4) $.
Ответ: $ \ln(4) $.
Помогло решение? Оставьте отзыв в комментариях ниже.