Номер 3.26, страница 26 - гдз по алгебре 11 класс учебник Мерзляк, Номировский
 
                                                Авторы: Мерзляк А. Г., Номировский Д. А., Полонский В. Б., Якир М. С.
Тип: Учебник
Издательство: Просвещение
Год издания: 2016 - 2025
Уровень обучения: базовый
Цвет обложки: синий, зелёный
Допущено Министерством просвещения Российской Федерации
Математика. Алгебра и начала математического анализа
Популярные ГДЗ в 11 классе
Глава 1. Показательная и логарифмическая функции. Параграф 3. Показательные неравенства. Упражнения для повторения - номер 3.26, страница 26.
№3.26 (с. 26)
Учебник. №3.26 (с. 26)
скриншот условия
 
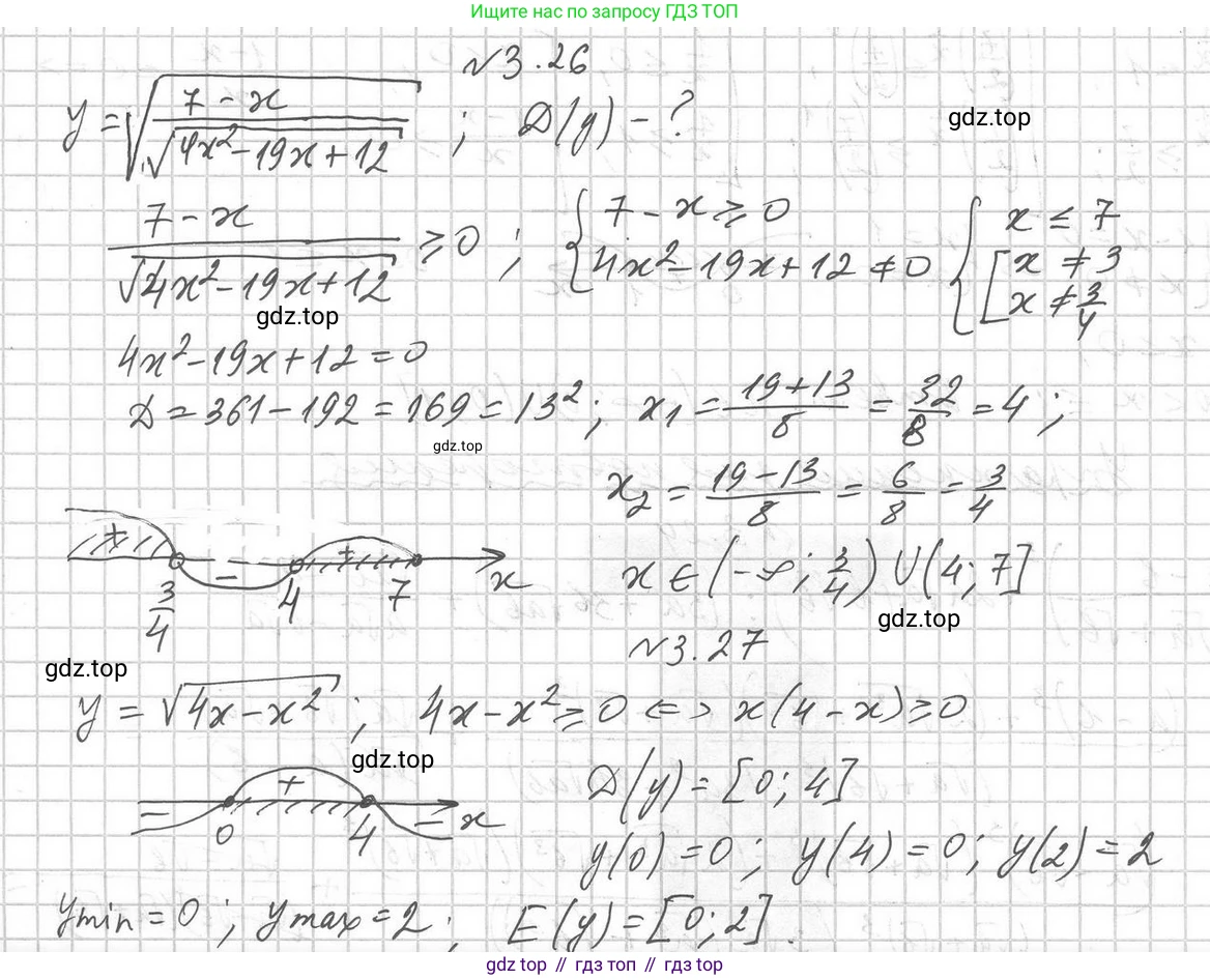
                                3.26. Найдите область определения функции $y = \sqrt{\frac{7-x}{\sqrt{4x^2 - 19x + 12}}}$.
Решение. №3.26 (с. 26)
 
                            Решение 2. №3.26 (с. 26)
Область определения функции $y = \sqrt{\frac{7-x}{\sqrt{4x^2 - 19x + 12}}}$ находится из условий, при которых все операции в выражении корректны. Это приводит к системе неравенств.
1. Выражение под внешним (основным) квадратным корнем должно быть неотрицательным:$$ \frac{7-x}{\sqrt{4x^2 - 19x + 12}} \ge 0 $$2. Выражение под внутренним квадратным корнем, который находится в знаменателе, должно быть строго положительным (подкоренное выражение не может быть отрицательным, а знаменатель не может быть равен нулю):$$ 4x^2 - 19x + 12 > 0 $$
Рассмотрим первое неравенство. Знаменатель $\sqrt{4x^2 - 19x + 12}$ является квадратным корнем, поэтому он всегда положителен, если определён (что гарантируется вторым неравенством). Следовательно, знак всей дроби зависит только от знака числителя. Таким образом, первое неравенство сводится к:$$ 7 - x \ge 0 $$
Итак, для нахождения области определения функции необходимо решить систему двух неравенств:$$ \begin{cases} 7 - x \ge 0 \\ 4x^2 - 19x + 12 > 0 \end{cases} $$
Решим первое неравенство:$$ 7 - x \ge 0 $$$$ -x \ge -7 $$$$ x \le 7 $$Решением является промежуток $x \in (-\infty; 7]$.
Решим второе неравенство:$$ 4x^2 - 19x + 12 > 0 $$Для этого найдем корни квадратного уравнения $4x^2 - 19x + 12 = 0$ с помощью дискриминанта.$$ D = b^2 - 4ac = (-19)^2 - 4 \cdot 4 \cdot 12 = 361 - 192 = 169 = 13^2 $$Корни уравнения:$$ x_1 = \frac{-b - \sqrt{D}}{2a} = \frac{19 - 13}{2 \cdot 4} = \frac{6}{8} = \frac{3}{4} $$$$ x_2 = \frac{-b + \sqrt{D}}{2a} = \frac{19 + 13}{2 \cdot 4} = \frac{32}{8} = 4 $$Графиком функции $y = 4x^2 - 19x + 12$ является парабола с ветвями, направленными вверх (так как $a=4>0$). Следовательно, неравенство $4x^2 - 19x + 12 > 0$ выполняется, когда $x$ находится за пределами корней.Решением является объединение промежутков $x \in (-\infty; 3/4) \cup (4; +\infty)$.
Теперь найдем пересечение решений обоих неравенств: $x \in (-\infty; 7]$ и $x \in (-\infty; 3/4) \cup (4; +\infty)$.Совмещая эти условия на числовой оси, получаем:$$ ((-\infty; 3/4) \cup (4; +\infty)) \cap (-\infty; 7] = (-\infty; 3/4) \cup (4; 7] $$Это и есть область определения исходной функции.
Ответ: $x \in (-\infty; 3/4) \cup (4; 7]$.
Другие задания:
Помогло решение? Оставьте отзыв в комментариях ниже.
Присоединяйтесь к Телеграм-группе @top_gdz
ПрисоединитьсяМы подготовили для вас ответ c подробным объяснением домашего задания по алгебре за 11 класс, для упражнения номер 3.26 расположенного на странице 26 к учебнику 2016 года издания для учащихся школ и гимназий.
Теперь на нашем сайте ГДЗ.ТОП вы всегда легко и бесплатно найдёте условие с правильным ответом на вопрос «Как решить ДЗ» и «Как сделать» задание по алгебре к упражнению №3.26 (с. 26), авторов: Мерзляк (Аркадий Григорьевич), Номировский (Дмитрий Анатольевич), Полонский (Виталий Борисович), Якир (Михаил Семёнович), ФГОС (старый) базовый уровень обучения учебного пособия издательства Просвещение.
 
                     
                     
                     
                     
                     
                     
                     
                     
                     
                     
                     
                     
                     
                     
                     
                     
                    