Номер 8.17, страница 63 - гдз по алгебре 11 класс учебник Мерзляк, Номировский
 
                                                Авторы: Мерзляк А. Г., Номировский Д. А., Полонский В. Б., Якир М. С.
Тип: Учебник
Издательство: Просвещение
Год издания: 2016 - 2025
Уровень обучения: базовый
Цвет обложки: синий, зелёный
Допущено Министерством просвещения Российской Федерации
Математика. Алгебра и начала математического анализа
Популярные ГДЗ в 11 классе
Глава 1. Показательная и логарифмическая функции. Параграф 8. Производные показательной и логарифмической функции. Упражнения - номер 8.17, страница 63.
№8.17 (с. 63)
Учебник. №8.17 (с. 63)
скриншот условия
 
                                8.17. Найдите промежутки возрастания и убывания и точки экстремума функции:
1) $f(x) = e^x - x;$
2) $f(x) = xe^{2x};$
3) $f(x) = (1 - x)e^{x+1};$
4) $f(x) = x^2 \cdot 2^{-x};$
5) $f(x) = 4xe^{2-x};$
6) $f(x) = e^{x^2};$
7) $f(x) = e^{4x-x^2+1};$
8) $f(x) = \frac{e^x}{x-2};$
9) $f(x) = \frac{4x}{e^x};$
10) $f(x) = x^3 \ln x;$
11) $f(x) = \ln x - x;$
12) $f(x) = x^2 \lg x;$
13) $f(x) = \ln x + \frac{1}{x};$
14) $f(x) = \frac{x}{\ln x};$
15) $f(x) = \frac{\ln x}{\sqrt{x}};$
16) $f(x) = x^2 - \ln x^2;$
17) $f(x) = 2\ln^3 x - 3\ln^2 x;$
18) $f(x) = \lg^2 x - \lg x.$
Решение. №8.17 (с. 63)
 
             
             
                            Решение 2. №8.17 (с. 63)
1) $f(x) = e^x - x$
Область определения функции $D(f) = (-\infty; +\infty)$.
Находим производную: $f'(x) = (e^x - x)' = e^x - 1$.
Находим критические точки, решая уравнение $f'(x) = 0$: $e^x - 1 = 0 \implies e^x = 1 \implies x = 0$.
Исследуем знак производной на интервалах:
- при $x \in (-\infty, 0)$, $f'(x) < 0$, функция убывает.
- при $x \in (0, +\infty)$, $f'(x) > 0$, функция возрастает.
В точке $x=0$ производная меняет знак с «−» на «+», следовательно, это точка минимума.
Ответ: Промежуток возрастания: $[0, +\infty)$; промежуток убывания: $(-\infty, 0]$; точка минимума: $x_{min} = 0$.
2) $f(x) = xe^{2x}$
Область определения функции $D(f) = (-\infty; +\infty)$.
Находим производную: $f'(x) = (x)'e^{2x} + x(e^{2x})' = e^{2x} + 2xe^{2x} = e^{2x}(1 + 2x)$.
Находим критические точки: $f'(x) = 0 \implies e^{2x}(1 + 2x) = 0$. Так как $e^{2x} > 0$, то $1+2x = 0 \implies x = -1/2$.
Исследуем знак производной:
- при $x \in (-\infty, -1/2)$, $f'(x) < 0$, функция убывает.
- при $x \in (-1/2, +\infty)$, $f'(x) > 0$, функция возрастает.
В точке $x=-1/2$ производная меняет знак с «−» на «+», следовательно, это точка минимума.
Ответ: Промежуток возрастания: $[-1/2, +\infty)$; промежуток убывания: $(-\infty, -1/2]$; точка минимума: $x_{min} = -1/2$.
3) $f(x) = (1 - x)e^{x + 1}$
Область определения функции $D(f) = (-\infty; +\infty)$.
Находим производную: $f'(x) = (1-x)'e^{x+1} + (1-x)(e^{x+1})' = -e^{x+1} + (1-x)e^{x+1} = e^{x+1}(-1+1-x) = -xe^{x+1}$.
Находим критические точки: $f'(x) = 0 \implies -xe^{x+1} = 0 \implies x = 0$.
Исследуем знак производной:
- при $x \in (-\infty, 0)$, $f'(x) > 0$, функция возрастает.
- при $x \in (0, +\infty)$, $f'(x) < 0$, функция убывает.
В точке $x=0$ производная меняет знак с «+» на «−», следовательно, это точка максимума.
Ответ: Промежуток возрастания: $(-\infty, 0]$; промежуток убывания: $[0, +\infty)$; точка максимума: $x_{max} = 0$.
4) $f(x) = x^2 \cdot 2^{-x}$
Область определения функции $D(f) = (-\infty; +\infty)$.
Находим производную: $f'(x) = (x^2)'2^{-x} + x^2(2^{-x})' = 2x \cdot 2^{-x} + x^2 \cdot 2^{-x}\ln(2)(-1) = x \cdot 2^{-x}(2 - x\ln 2)$.
Находим критические точки: $f'(x) = 0 \implies x \cdot 2^{-x}(2 - x\ln 2) = 0$. Отсюда $x=0$ или $2 - x\ln 2 = 0 \implies x = 2/\ln 2$.
Исследуем знак производной:
- при $x \in (-\infty, 0)$, $f'(x) < 0$, функция убывает.
- при $x \in (0, 2/\ln 2)$, $f'(x) > 0$, функция возрастает.
- при $x \in (2/\ln 2, +\infty)$, $f'(x) < 0$, функция убывает.
В точке $x=0$ — минимум, в точке $x=2/\ln 2$ — максимум.
Ответ: Промежутки возрастания: $[0, 2/\ln 2]$; промежутки убывания: $(-\infty, 0]$ и $[2/\ln 2, +\infty)$; точки экстремума: $x_{min} = 0$, $x_{max} = 2/\ln 2$.
5) $f(x) = 4xe^{2-x}$
Область определения функции $D(f) = (-\infty; +\infty)$.
Находим производную: $f'(x) = 4(x'e^{2-x} + x(e^{2-x})') = 4(e^{2-x} - xe^{2-x}) = 4e^{2-x}(1-x)$.
Находим критические точки: $f'(x) = 0 \implies 4e^{2-x}(1-x) = 0 \implies x = 1$.
Исследуем знак производной:
- при $x \in (-\infty, 1)$, $f'(x) > 0$, функция возрастает.
- при $x \in (1, +\infty)$, $f'(x) < 0$, функция убывает.
В точке $x=1$ — максимум.
Ответ: Промежуток возрастания: $(-\infty, 1]$; промежуток убывания: $[1, +\infty)$; точка максимума: $x_{max} = 1$.
6) $f(x) = e^{x^2}$
Область определения функции $D(f) = (-\infty; +\infty)$.
Находим производную: $f'(x) = e^{x^2}(x^2)' = 2xe^{x^2}$.
Находим критические точки: $f'(x) = 0 \implies 2xe^{x^2} = 0 \implies x = 0$.
Исследуем знак производной:
- при $x \in (-\infty, 0)$, $f'(x) < 0$, функция убывает.
- при $x \in (0, +\infty)$, $f'(x) > 0$, функция возрастает.
В точке $x=0$ — минимум.
Ответ: Промежуток возрастания: $[0, +\infty)$; промежуток убывания: $(-\infty, 0]$; точка минимума: $x_{min} = 0$.
7) $f(x) = e^{4x - x^2 + 1}$
Область определения функции $D(f) = (-\infty; +\infty)$.
Находим производную: $f'(x) = e^{4x - x^2 + 1} \cdot (4x - x^2 + 1)' = (4-2x)e^{4x - x^2 + 1}$.
Находим критические точки: $f'(x) = 0 \implies (4-2x)e^{4x - x^2 + 1} = 0 \implies 4-2x=0 \implies x=2$.
Исследуем знак производной:
- при $x \in (-\infty, 2)$, $f'(x) > 0$, функция возрастает.
- при $x \in (2, +\infty)$, $f'(x) < 0$, функция убывает.
В точке $x=2$ — максимум.
Ответ: Промежуток возрастания: $(-\infty, 2]$; промежуток убывания: $[2, +\infty)$; точка максимума: $x_{max} = 2$.
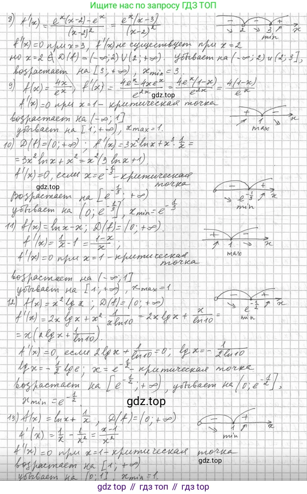
8) $f(x) = \frac{e^x}{x-2}$
Область определения функции: $x-2 \neq 0 \implies x \neq 2$, т.е. $D(f) = (-\infty, 2) \cup (2, +\infty)$.
Находим производную: $f'(x) = \frac{(e^x)'(x-2) - e^x(x-2)'}{(x-2)^2} = \frac{e^x(x-2) - e^x}{(x-2)^2} = \frac{e^x(x-3)}{(x-2)^2}$.
Находим критические точки: $f'(x) = 0 \implies e^x(x-3) = 0 \implies x=3$.
Исследуем знак производной:
- при $x \in (-\infty, 2)$, $f'(x) < 0$, функция убывает.
- при $x \in (2, 3)$, $f'(x) < 0$, функция убывает.
- при $x \in (3, +\infty)$, $f'(x) > 0$, функция возрастает.
В точке $x=3$ — минимум.
Ответ: Промежуток возрастания: $[3, +\infty)$; промежутки убывания: $(-\infty, 2)$ и $(2, 3]$; точка минимума: $x_{min} = 3$.
9) $f(x) = \frac{4x}{e^x}$
Область определения функции $D(f) = (-\infty; +\infty)$. Запишем функцию как $f(x) = 4xe^{-x}$.
Находим производную: $f'(x) = 4(x'e^{-x} + x(e^{-x})') = 4(e^{-x} - xe^{-x}) = 4e^{-x}(1-x)$.
Находим критические точки: $f'(x) = 0 \implies 4e^{-x}(1-x) = 0 \implies x=1$.
Исследуем знак производной:
- при $x \in (-\infty, 1)$, $f'(x) > 0$, функция возрастает.
- при $x \in (1, +\infty)$, $f'(x) < 0$, функция убывает.
В точке $x=1$ — максимум.
Ответ: Промежуток возрастания: $(-\infty, 1]$; промежуток убывания: $[1, +\infty)$; точка максимума: $x_{max} = 1$.
10) $f(x) = x^3\ln x$
Область определения функции: $x > 0$, т.е. $D(f) = (0, +\infty)$.
Находим производную: $f'(x) = (x^3)'\ln x + x^3(\ln x)' = 3x^2\ln x + x^3 \cdot \frac{1}{x} = x^2(3\ln x + 1)$.
Находим критические точки: $f'(x) = 0 \implies x^2(3\ln x + 1) = 0$. Так как $x>0$, то $3\ln x + 1 = 0 \implies \ln x = -1/3 \implies x = e^{-1/3}$.
Исследуем знак производной:
- при $x \in (0, e^{-1/3})$, $f'(x) < 0$, функция убывает.
- при $x \in (e^{-1/3}, +\infty)$, $f'(x) > 0$, функция возрастает.
В точке $x=e^{-1/3}$ — минимум.
Ответ: Промежуток возрастания: $[e^{-1/3}, +\infty)$; промежуток убывания: $(0, e^{-1/3}]$; точка минимума: $x_{min} = e^{-1/3}$.
11) $f(x) = \ln x - x$
Область определения функции: $x > 0$, т.е. $D(f) = (0, +\infty)$.
Находим производную: $f'(x) = \frac{1}{x} - 1 = \frac{1-x}{x}$.
Находим критические точки: $f'(x) = 0 \implies \frac{1-x}{x} = 0 \implies 1-x=0 \implies x=1$.
Исследуем знак производной:
- при $x \in (0, 1)$, $f'(x) > 0$, функция возрастает.
- при $x \in (1, +\infty)$, $f'(x) < 0$, функция убывает.
В точке $x=1$ — максимум.
Ответ: Промежуток возрастания: $(0, 1]$; промежуток убывания: $[1, +\infty)$; точка максимума: $x_{max} = 1$.
12) $f(x) = x^2\lg x$
Область определения функции: $x > 0$, т.е. $D(f) = (0, +\infty)$. $\lg x = \frac{\ln x}{\ln 10}$.
Находим производную: $f'(x) = (x^2)'\lg x + x^2(\lg x)' = 2x\lg x + x^2\frac{1}{x\ln 10} = \frac{2x\ln x}{\ln 10} + \frac{x}{\ln 10} = \frac{x(2\ln x+1)}{\ln 10}$.
Находим критические точки: $f'(x) = 0 \implies 2\ln x + 1 = 0 \implies \ln x = -1/2 \implies x=e^{-1/2}$.
Исследуем знак производной:
- при $x \in (0, e^{-1/2})$, $f'(x) < 0$, функция убывает.
- при $x \in (e^{-1/2}, +\infty)$, $f'(x) > 0$, функция возрастает.
В точке $x=e^{-1/2}$ — минимум.
Ответ: Промежуток возрастания: $[e^{-1/2}, +\infty)$; промежуток убывания: $(0, e^{-1/2}]$; точка минимума: $x_{min} = e^{-1/2}$.
13) $f(x) = \ln x + \frac{1}{x}$
Область определения функции: $x > 0$, т.е. $D(f) = (0, +\infty)$.
Находим производную: $f'(x) = \frac{1}{x} - \frac{1}{x^2} = \frac{x-1}{x^2}$.
Находим критические точки: $f'(x) = 0 \implies x-1=0 \implies x=1$.
Исследуем знак производной:
- при $x \in (0, 1)$, $f'(x) < 0$, функция убывает.
- при $x \in (1, +\infty)$, $f'(x) > 0$, функция возрастает.
В точке $x=1$ — минимум.
Ответ: Промежуток возрастания: $[1, +\infty)$; промежуток убывания: $(0, 1]$; точка минимума: $x_{min} = 1$.
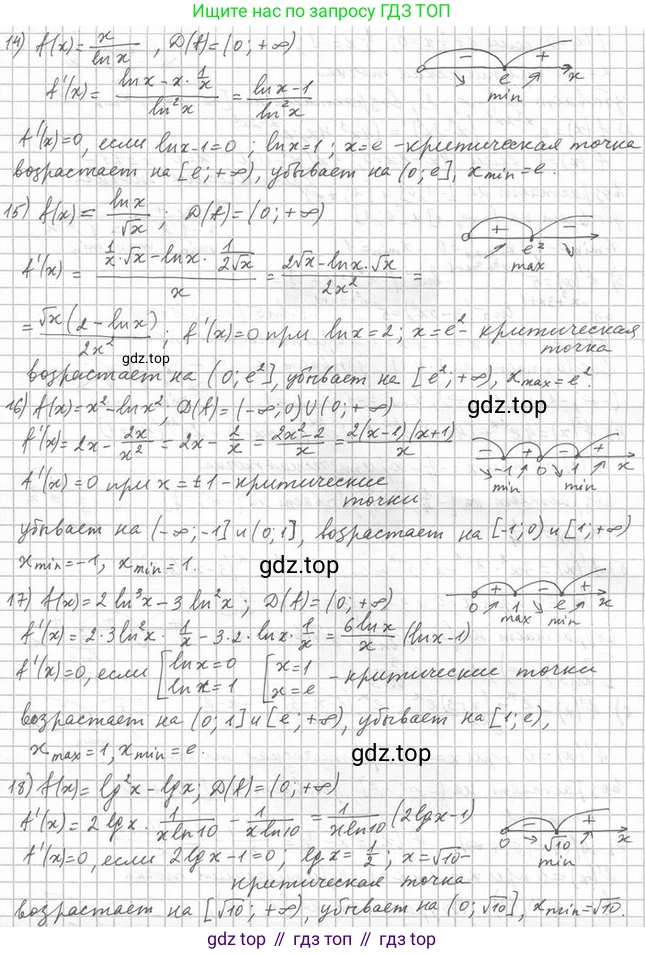
14) $f(x) = \frac{x}{\ln x}$
Область определения функции: $x>0$ и $\ln x \neq 0 \implies x \neq 1$, т.е. $D(f) = (0, 1) \cup (1, +\infty)$.
Находим производную: $f'(x) = \frac{(x)'\ln x - x(\ln x)'}{(\ln x)^2} = \frac{\ln x - 1}{(\ln x)^2}$.
Находим критические точки: $f'(x) = 0 \implies \ln x - 1 = 0 \implies x=e$.
Исследуем знак производной:
- при $x \in (0, 1)$, $f'(x) < 0$, функция убывает.
- при $x \in (1, e)$, $f'(x) < 0$, функция убывает.
- при $x \in (e, +\infty)$, $f'(x) > 0$, функция возрастает.
В точке $x=e$ — минимум.
Ответ: Промежуток возрастания: $[e, +\infty)$; промежутки убывания: $(0, 1)$ и $(1, e]$; точка минимума: $x_{min} = e$.
15) $f(x) = \frac{\ln x}{\sqrt{x}}$
Область определения функции: $x > 0$, т.е. $D(f) = (0, +\infty)$.
Находим производную: $f'(x) = \frac{(\ln x)'\sqrt{x} - \ln x (\sqrt{x})'}{x} = \frac{\frac{1}{x}\sqrt{x} - \ln x \frac{1}{2\sqrt{x}}}{x} = \frac{\frac{1}{\sqrt{x}} - \frac{\ln x}{2\sqrt{x}}}{x} = \frac{2-\ln x}{2x\sqrt{x}}$.
Находим критические точки: $f'(x) = 0 \implies 2-\ln x = 0 \implies \ln x = 2 \implies x = e^2$.
Исследуем знак производной:
- при $x \in (0, e^2)$, $f'(x) > 0$, функция возрастает.
- при $x \in (e^2, +\infty)$, $f'(x) < 0$, функция убывает.
В точке $x=e^2$ — максимум.
Ответ: Промежуток возрастания: $(0, e^2]$; промежуток убывания: $[e^2, +\infty)$; точка максимума: $x_{max} = e^2$.
16) $f(x) = x^2 - \ln x^2$
Область определения функции: $x^2 > 0 \implies x \neq 0$, т.е. $D(f) = (-\infty, 0) \cup (0, +\infty)$.
Находим производную: $f'(x) = 2x - \frac{1}{x^2}(x^2)' = 2x - \frac{2x}{x^2} = 2x - \frac{2}{x} = \frac{2(x^2-1)}{x}$.
Находим критические точки: $f'(x) = 0 \implies x^2-1=0 \implies x=\pm 1$.
Исследуем знак производной:
- при $x \in (-\infty, -1)$, $f'(x) < 0$, функция убывает.
- при $x \in (-1, 0)$, $f'(x) > 0$, функция возрастает.
- при $x \in (0, 1)$, $f'(x) < 0$, функция убывает.
- при $x \in (1, +\infty)$, $f'(x) > 0$, функция возрастает.
В точках $x=-1$ и $x=1$ — минимумы.
Ответ: Промежутки возрастания: $[-1, 0)$ и $[1, +\infty)$; промежутки убывания: $(-\infty, -1]$ и $(0, 1]$; точки минимума: $x_{min} = -1$, $x_{min} = 1$.
17) $f(x) = 2\ln^3 x - 3\ln^2 x$
Область определения функции: $x > 0$, т.е. $D(f) = (0, +\infty)$.
Находим производную: $f'(x) = 2 \cdot 3\ln^2 x \cdot \frac{1}{x} - 3 \cdot 2\ln x \cdot \frac{1}{x} = \frac{6\ln^2 x - 6\ln x}{x} = \frac{6\ln x (\ln x - 1)}{x}$.
Находим критические точки: $f'(x) = 0 \implies \ln x = 0$ или $\ln x = 1$. Отсюда $x=1$ или $x=e$.
Исследуем знак производной:
- при $x \in (0, 1)$, $\ln x < 0$ и $\ln x - 1 < 0$, $f'(x) > 0$, функция возрастает.
- при $x \in (1, e)$, $\ln x > 0$ и $\ln x - 1 < 0$, $f'(x) < 0$, функция убывает.
- при $x \in (e, +\infty)$, $\ln x > 0$ и $\ln x - 1 > 0$, $f'(x) > 0$, функция возрастает.
В точке $x=1$ — максимум, в точке $x=e$ — минимум.
Ответ: Промежутки возрастания: $(0, 1]$ и $[e, +\infty)$; промежуток убывания: $[1, e]$; точки экстремума: $x_{max} = 1$, $x_{min} = e$.
18) $f(x) = \lg^2 x - \lg x$
Область определения функции: $x > 0$, т.е. $D(f) = (0, +\infty)$.
Находим производную: $f'(x) = 2\lg x \cdot \frac{1}{x\ln 10} - \frac{1}{x\ln 10} = \frac{2\lg x - 1}{x\ln 10}$.
Находим критические точки: $f'(x) = 0 \implies 2\lg x - 1 = 0 \implies \lg x = 1/2 \implies x = 10^{1/2} = \sqrt{10}$.
Исследуем знак производной:
- при $x \in (0, \sqrt{10})$, $f'(x) < 0$, функция убывает.
- при $x \in (\sqrt{10}, +\infty)$, $f'(x) > 0$, функция возрастает.
В точке $x=\sqrt{10}$ — минимум.
Ответ: Промежуток возрастания: $[\sqrt{10}, +\infty)$; промежуток убывания: $(0, \sqrt{10}]$; точка минимума: $x_{min} = \sqrt{10}$.
Другие задания:
Помогло решение? Оставьте отзыв в комментариях ниже.
Присоединяйтесь к Телеграм-группе @top_gdz
ПрисоединитьсяМы подготовили для вас ответ c подробным объяснением домашего задания по алгебре за 11 класс, для упражнения номер 8.17 расположенного на странице 63 к учебнику 2016 года издания для учащихся школ и гимназий.
Теперь на нашем сайте ГДЗ.ТОП вы всегда легко и бесплатно найдёте условие с правильным ответом на вопрос «Как решить ДЗ» и «Как сделать» задание по алгебре к упражнению №8.17 (с. 63), авторов: Мерзляк (Аркадий Григорьевич), Номировский (Дмитрий Анатольевич), Полонский (Виталий Борисович), Якир (Михаил Семёнович), ФГОС (старый) базовый уровень обучения учебного пособия издательства Просвещение.
 
                     
                     
                     
                     
                     
                     
                     
                     
                     
                     
                     
                     
                     
                     
                     
                     
                    