Номер 3, страница 63 - гдз по математике 5 класс рабочая тетрадь Ткачева
 
                                                Авторы: Ткачева М. В.
Тип: рабочая тетрадь
Издательство: Просвещение
Год издания: 2024 - 2025
Уровень обучения: базовый
Цвет обложки: белый, красный, синий
ISBN: 978-5-09-112334-0 (2024), 978-5-09-119578-1 (2025)
Популярные ГДЗ в 5 классе
Параграф 5. Обыкновенные дроби. 37. Умножение дробей - номер 3, страница 63.
№3 (с. 63)
Условие 2024. №3 (с. 63)
скриншот условия
 
                                3. Представьте результат умножения в виде несократимой дроби:
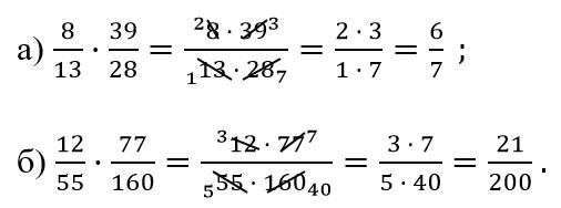
а) $\frac{8}{13} \cdot \frac{39}{28} = \frac{\cancel{8}^2 \cdot \cancel{39}^3}{_1\cancel{13} \cdot \cancel{28}_7} = \frac{2 \cdot 3}{1 \cdot 7} = \underline{\quad};$
б) $\frac{12}{55} \cdot \frac{77}{160} = \frac{\underline{\quad}}{\underline{\quad}} \cdot \frac{\underline{\quad}}{\underline{\quad}} = \frac{\underline{\quad} \cdot \underline{\quad}}{\underline{\quad} \cdot \underline{\quad}} = \frac{\underline{\quad}}{\underline{\quad}}.$
Решение 2024. №3 (с. 63)
 
                            Решение 2 2024. №3 (с. 63)
а) Чтобы найти произведение двух дробей, нужно перемножить их числители и знаменатели, а затем сократить полученную дробь.
$ \frac{8}{13} \cdot \frac{39}{28} = \frac{8 \cdot 39}{13 \cdot 28} $
Сократим числитель и знаменатель на общие делители. Число 39 в числителе и 13 в знаменателе делятся на 13. Число 8 в числителе и 28 в знаменателе делятся на 4.
$ \frac{\stackrel{2}{\cancel{8}} \cdot \stackrel{3}{\cancel{39}}}{\stackrel{1}{\cancel{13}} \cdot \stackrel{7}{\cancel{28}}} = \frac{2 \cdot 3}{1 \cdot 7} = \frac{6}{7} $
Полученная дробь $ \frac{6}{7} $ является несократимой.
Ответ: $ \frac{6}{7} $
б) Выполним умножение аналогично предыдущему пункту.
$ \frac{12}{55} \cdot \frac{77}{160} = \frac{12 \cdot 77}{55 \cdot 160} $
Сократим числитель и знаменатель. Число 12 в числителе и 160 в знаменателе делятся на 4 ($ 12 \div 4 = 3 $ и $ 160 \div 4 = 40 $). Число 77 в числителе и 55 в знаменателе делятся на 11 ($ 77 \div 11 = 7 $ и $ 55 \div 11 = 5 $).
$ \frac{\stackrel{3}{\cancel{12}} \cdot \stackrel{7}{\cancel{77}}}{\stackrel{5}{\cancel{55}} \cdot \stackrel{40}{\cancel{160}}} = \frac{3 \cdot 7}{5 \cdot 40} = \frac{21}{200} $
Дробь $ \frac{21}{200} $ является несократимой, так как у числителя и знаменателя нет общих делителей, кроме 1.
Ответ: $ \frac{21}{200} $
Другие задания:
Помогло решение? Оставьте отзыв в комментариях ниже.
Присоединяйтесь к Телеграм-группе @top_gdz
ПрисоединитьсяМы подготовили для вас ответ c подробным объяснением домашего задания по математике за 5 класс, для упражнения номер 3 расположенного на странице 63 к рабочей тетради 2024 года издания для учащихся школ и гимназий.
Теперь на нашем сайте ГДЗ.ТОП вы всегда легко и бесплатно найдёте условие с правильным ответом на вопрос «Как решить ДЗ» и «Как сделать» задание по математике к упражнению №3 (с. 63), автора: Ткачева (Мария Владимировна), ФГОС (новый, красный) базовый уровень обучения учебного пособия издательства Просвещение.
 
                     
                     
                     
                     
                     
                     
                     
                     
                     
                     
                     
                     
                     
                     
                     
                     
                     
                     
                     
                    