Номер 3.205, страница 101, часть 1 - гдз по математике 5 класс учебник Виленкин, Жохов

Авторы: Виленкин Н. Я., Жохов В. И., Чесноков А. С., Александрова Л. А., Шварцбурд С. И.
Тип: Учебник
Издательство: Просвещение
Год издания: 2023 - 2025
Уровень обучения: базовый
Часть: 1
Цвет обложки: белый, красный, синий с пазлами
Допущено Министерством просвещения Российской Федерации
Популярные ГДЗ в 5 классе
15. Упрощение выражений. § 3. Умножение и деление натуральных чисел. Глава 1. Натуральные числа. ч. 1 - номер 3.205, страница 101.
№3.205 (с. 101)
Условие. №3.205 (с. 101)
скриншот условия

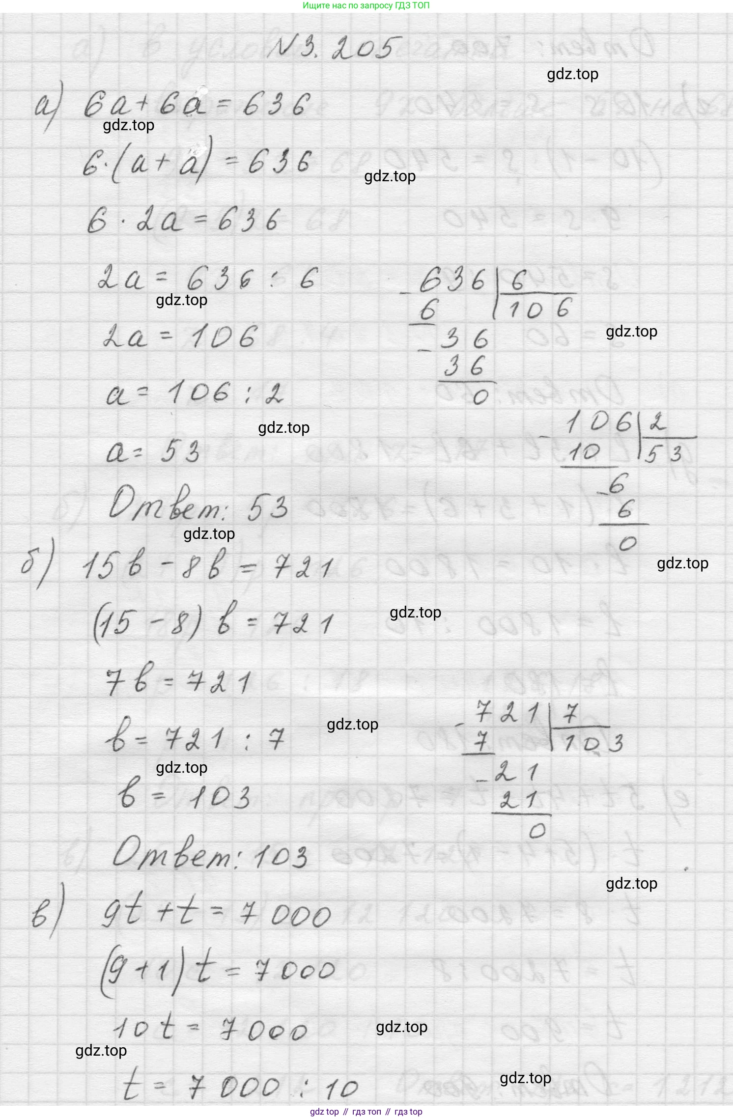
3.205 Найдите корень уравнения:
а) 6a + 6a = 636;
б) 15b - 8b = 721;
в) 9t + t = 7000;
г) 10s - s = 540;
д) l + 3l + 6l = 1800;
е) 5t + 4t - t = 7200.
Решение 1. №3.205 (с. 101)


Ответ: 53.

Ответ: 103.
Ответ: 700.
Ответ: 60.
Ответ: 180.
Ответ: 900.
Решение 2. №3.205 (с. 101)
а) $6a + 6a = 636$
Для решения уравнения сначала упростим левую часть, сложив подобные слагаемые (выражения с одинаковой переменной $a$):
$(6 + 6)a = 636$
$12a = 636$
Теперь, чтобы найти неизвестный множитель $a$, разделим произведение (636) на известный множитель (12):
$a = 636 : 12$
$a = 53$
Ответ: $53$
б) $15b - 8b = 721$
Упростим левую часть уравнения, выполнив вычитание подобных слагаемых:
$(15 - 8)b = 721$
$7b = 721$
Чтобы найти корень уравнения $b$, разделим обе части уравнения на 7:
$b = 721 : 7$
$b = 103$
Ответ: $103$
в) $9t + t = 7000$
Упростим левую часть уравнения. Выражение $t$ эквивалентно $1t$.
$(9 + 1)t = 7000$
$10t = 7000$
Найдем $t$, разделив обе части уравнения на 10:
$t = 7000 : 10$
$t = 700$
Ответ: $700$
г) $10s - s = 540$
Упростим левую часть, помня, что $s$ это то же самое, что и $1s$:
$(10 - 1)s = 540$
$9s = 540$
Найдем корень уравнения $s$, разделив обе части на 9:
$s = 540 : 9$
$s = 60$
Ответ: $60$
д) $l + 3l + 6l = 1800$
Сложим все подобные слагаемые в левой части уравнения:
$(1 + 3 + 6)l = 1800$
$10l = 1800$
Найдем $l$, разделив обе части уравнения на 10:
$l = 1800 : 10$
$l = 180$
Ответ: $180$
е) $5t + 4t - t = 7200$
Упростим левую часть, выполнив сложение и вычитание подобных слагаемых:
$(5 + 4 - 1)t = 7200$
$8t = 7200$
Найдем корень уравнения $t$, разделив обе части на 8:
$t = 7200 : 8$
$t = 900$
Ответ: $900$
Решение 3. №3.205 (с. 101)


Решение 4. №3.205 (с. 101)


Другие задания:
Помогло решение? Оставьте отзыв в комментариях ниже.
Мы подготовили для вас ответ c подробным объяснением домашего задания по математике за 5 класс, для упражнения номер 3.205 расположенного на странице 101 для 1-й части к учебнику 2023 года издания для учащихся школ и гимназий.
Теперь на нашем сайте ГДЗ.ТОП вы всегда легко и бесплатно найдёте условие с правильным ответом на вопрос «Как решить ДЗ» и «Как сделать» задание по математике к упражнению №3.205 (с. 101), авторов: Виленкин (Наум Яковлевич), Жохов (Владимир Иванович), Чесноков (Александр Семёнович), Александрова (Лилия Александровна), Шварцбурд (Семён Исаакович), 1-й части ФГОС (новый, красный) базовый уровень обучения учебного пособия издательства Просвещение.