Номер 5.349, страница 59, часть 2 - гдз по математике 5 класс учебник Виленкин, Жохов


Авторы: Виленкин Н. Я., Жохов В. И., Чесноков А. С., Александрова Л. А., Шварцбурд С. И.
Тип: Учебник
Издательство: Просвещение
Год издания: 2023 - 2025
Уровень обучения: базовый
Часть: 2
Цвет обложки: белый, красный, синий с пазлами
Допущено Министерством просвещения Российской Федерации
Популярные ГДЗ в 5 классе
34. Сокращение дробей. § 5. Обыкновенные дроби. Глава 2. Дробные числа. ч. 2 - номер 5.349, страница 59.
№5.349 (с. 59)
Условие. №5.349 (с. 59)
скриншот условия

5.349 Верно ли высказывание:
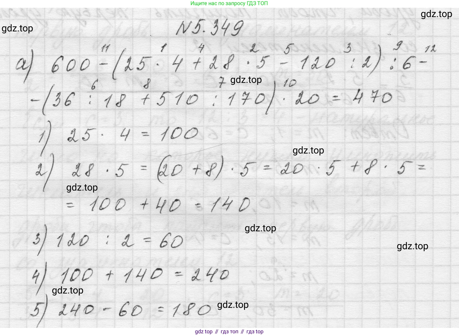
а) 600 - (25 • 4 + 28 • 5 - 120 : 2) : 6 - (36 : 18 + 510 : 170) • 20 > 107;
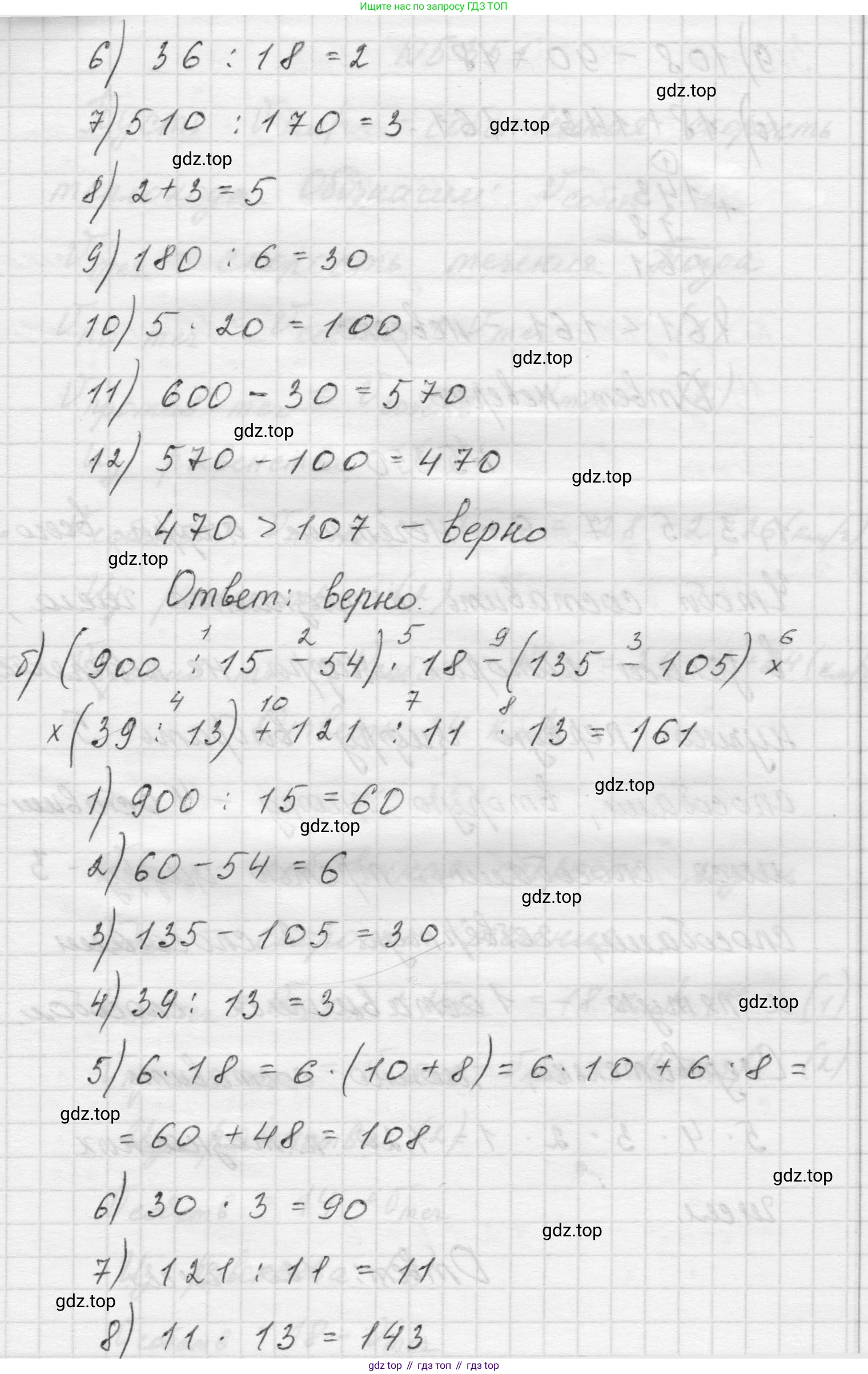
б) (900 : 15 - 54) • 18 - (135 - 105) • (39 : 13) + 121 : 11 • 13 < 161?
Решение 1. №5.349 (с. 59)
Решение 2. №5.349 (с. 59)
а) Проверим истинность высказывания, вычислив значение левой части неравенства: $600 - (25 \cdot 4 + 28 \cdot 5 - 120 : 2) : 6 - (36 : 18 + 510 : 170) \cdot 20 > 107$.
1. Вычисляем значения в скобках:
$25 \cdot 4 + 28 \cdot 5 - 120 : 2 = 100 + 140 - 60 = 180$
$36 : 18 + 510 : 170 = 2 + 3 = 5$
2. Подставляем результаты в выражение:
$600 - 180 : 6 - 5 \cdot 20$
3. Выполняем деление и умножение:
$600 - 30 - 100$
4. Выполняем вычитание:
$570 - 100 = 470$
5. Сравниваем результат с правой частью: $470 > 107$.
Неравенство является верным.
Ответ: да, высказывание верно.
б) Проверим истинность высказывания, вычислив значение левой части неравенства: $(900 : 15 - 54) \cdot 18 - (135 - 105) \cdot (39 : 13) + 121 : 11 \cdot 13 < 161$.
1. Вычисляем значения в скобках:
$900 : 15 - 54 = 60 - 54 = 6$
$135 - 105 = 30$
$39 : 13 = 3$
2. Подставляем результаты в выражение:
$6 \cdot 18 - 30 \cdot 3 + 121 : 11 \cdot 13$
3. Выполняем умножение и деление слева направо:
$108 - 90 + 143$
4. Выполняем вычитание и сложение:
$18 + 143 = 161$
5. Сравниваем результат с правой частью: $161 < 161$.
Неравенство является неверным, так как $161$ равно, а не меньше $161$.
Ответ: нет, высказывание неверно.
Решение 3. №5.349 (с. 59)

Решение 4. №5.349 (с. 59)

Другие задания:
Помогло решение? Оставьте отзыв в комментариях ниже.
Мы подготовили для вас ответ c подробным объяснением домашего задания по математике за 5 класс, для упражнения номер 5.349 расположенного на странице 59 для 2-й части к учебнику 2023 года издания для учащихся школ и гимназий.
Теперь на нашем сайте ГДЗ.ТОП вы всегда легко и бесплатно найдёте условие с правильным ответом на вопрос «Как решить ДЗ» и «Как сделать» задание по математике к упражнению №5.349 (с. 59), авторов: Виленкин (Наум Яковлевич), Жохов (Владимир Иванович), Чесноков (Александр Семёнович), Александрова (Лилия Александровна), Шварцбурд (Семён Исаакович), 2-й части ФГОС (новый, красный) базовый уровень обучения учебного пособия издательства Просвещение.