Номер 5.432, страница 70, часть 2 - гдз по математике 5 класс учебник Виленкин, Жохов


Авторы: Виленкин Н. Я., Жохов В. И., Чесноков А. С., Александрова Л. А., Шварцбурд С. И.
Тип: Учебник
Издательство: Просвещение
Год издания: 2023 - 2025
Уровень обучения: базовый
Часть: 2
Цвет обложки: белый, красный, синий с пазлами
Допущено Министерством просвещения Российской Федерации
Популярные ГДЗ в 5 классе
36. Сравнение, сложение и вычитание дробей с разными знаменателями. § 5. Обыкновенные дроби. Глава 2. Дробные числа. ч. 2 - номер 5.432, страница 70.
№5.432 (с. 70)
Условие. №5.432 (с. 70)
скриншот условия

5.432 Вычислите.

Решение 1. №5.432 (с. 70)
Решение 2. №5.432 (с. 70)
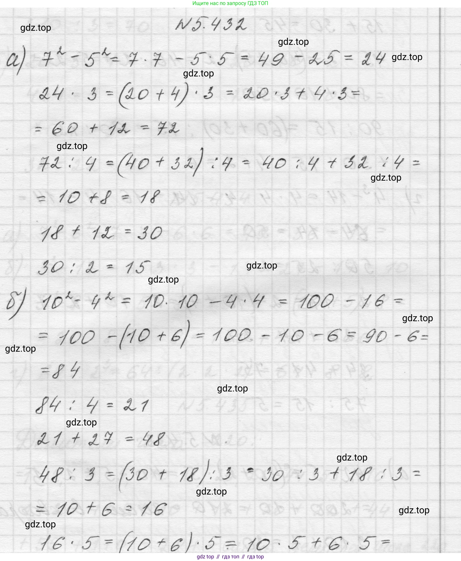
Решим пример по действиям:
1. Сначала вычислим значение выражения в первой строке: $7^2 - 5^2$.
$7^2 = 7 \cdot 7 = 49$
$5^2 = 5 \cdot 5 = 25$
$49 - 25 = 24$
2. Умножим полученный результат на 3:
$24 \cdot 3 = 72$
3. Разделим результат на 4:
$72 : 4 = 18$
4. Прибавим 12:
$18 + 12 = 30$
5. Разделим результат на 2:
$30 : 2 = 15$
Ответ: 15
б)Решим пример по действиям:
1. Сначала вычислим значение выражения в первой строке: $10^2 - 4^2$.
$10^2 = 10 \cdot 10 = 100$
$4^2 = 4 \cdot 4 = 16$
$100 - 16 = 84$
2. Разделим полученный результат на 4:
$84 : 4 = 21$
3. Прибавим 27:
$21 + 27 = 48$
4. Разделим результат на 3:
$48 : 3 = 16$
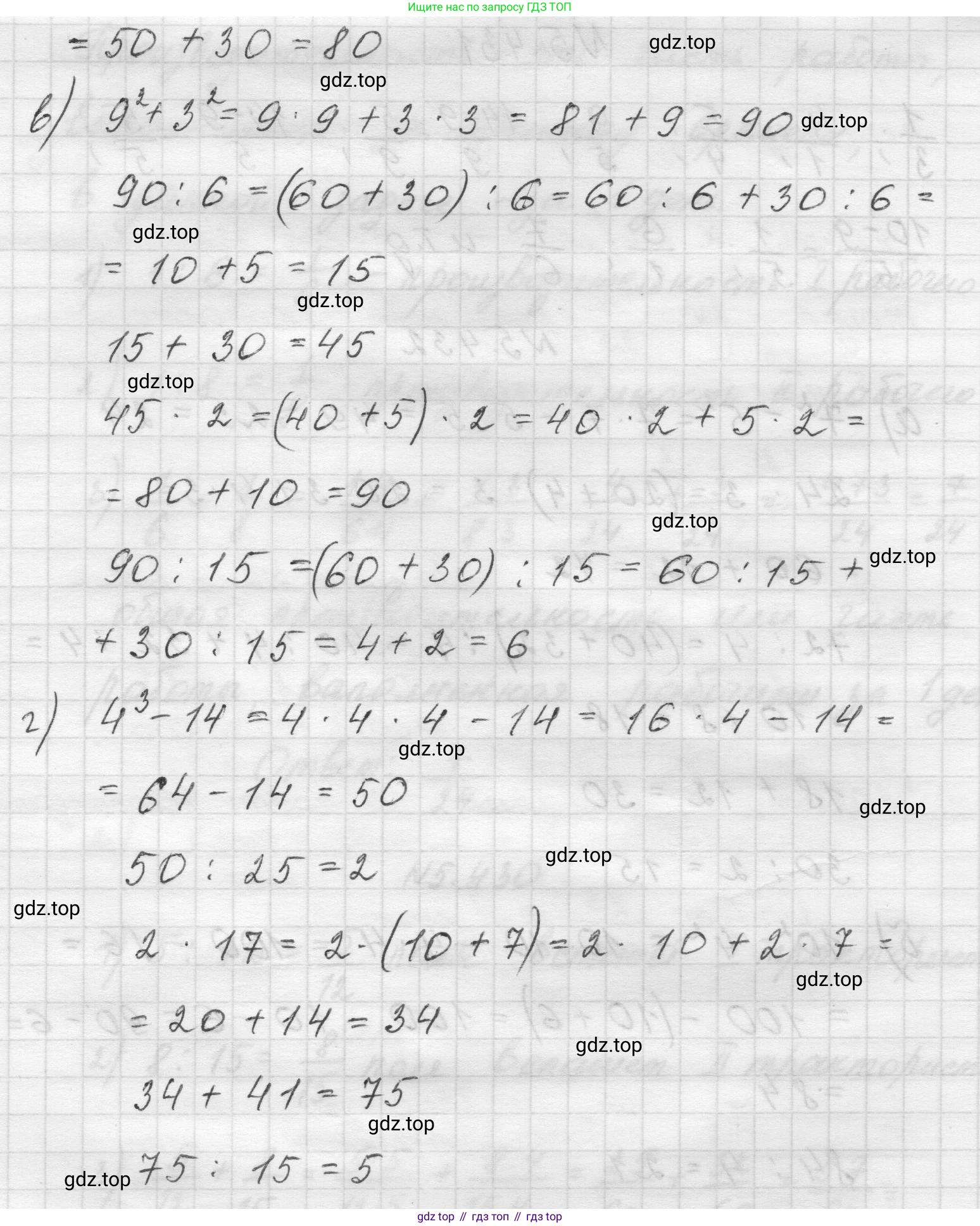
5. Умножим результат на 5:
$16 \cdot 5 = 80$
Ответ: 80
в)Решим пример по действиям:
1. Сначала вычислим значение выражения в первой строке: $9^2 + 3^2$.
$9^2 = 9 \cdot 9 = 81$
$3^2 = 3 \cdot 3 = 9$
$81 + 9 = 90$
2. Разделим полученный результат на 6:
$90 : 6 = 15$
3. Прибавим 30:
$15 + 30 = 45$
4. Умножим результат на 2:
$45 \cdot 2 = 90$
5. Разделим результат на 15:
$90 : 15 = 6$
Ответ: 6
г)Решим пример по действиям:
1. Сначала вычислим значение выражения в первой строке: $4^3 - 14$.
$4^3 = 4 \cdot 4 \cdot 4 = 64$
$64 - 14 = 50$
2. Разделим полученный результат на 25:
$50 : 25 = 2$
3. Умножим результат на 17:
$2 \cdot 17 = 34$
4. Прибавим 41:
$34 + 41 = 75$
5. Разделим результат на 15:
$75 : 15 = 5$
Ответ: 5
Решение 3. №5.432 (с. 70)

Решение 4. №5.432 (с. 70)

Другие задания:
Помогло решение? Оставьте отзыв в комментариях ниже.
Мы подготовили для вас ответ c подробным объяснением домашего задания по математике за 5 класс, для упражнения номер 5.432 расположенного на странице 70 для 2-й части к учебнику 2023 года издания для учащихся школ и гимназий.
Теперь на нашем сайте ГДЗ.ТОП вы всегда легко и бесплатно найдёте условие с правильным ответом на вопрос «Как решить ДЗ» и «Как сделать» задание по математике к упражнению №5.432 (с. 70), авторов: Виленкин (Наум Яковлевич), Жохов (Владимир Иванович), Чесноков (Александр Семёнович), Александрова (Лилия Александровна), Шварцбурд (Семён Исаакович), 2-й части ФГОС (новый, красный) базовый уровень обучения учебного пособия издательства Просвещение.