Номер 5.565, страница 89, часть 2 - гдз по математике 5 класс учебник Виленкин, Жохов


Авторы: Виленкин Н. Я., Жохов В. И., Чесноков А. С., Александрова Л. А., Шварцбурд С. И.
Тип: Учебник
Издательство: Просвещение
Год издания: 2023 - 2025
Уровень обучения: базовый
Часть: 2
Цвет обложки: белый, красный, синий с пазлами
Допущено Министерством просвещения Российской Федерации
Популярные ГДЗ в 5 классе
40. Нахождение целого по его части. § 5. Обыкновенные дроби. Глава 2. Дробные числа. ч. 2 - номер 5.565, страница 89.
№5.565 (с. 89)
Условие. №5.565 (с. 89)
скриншот условия

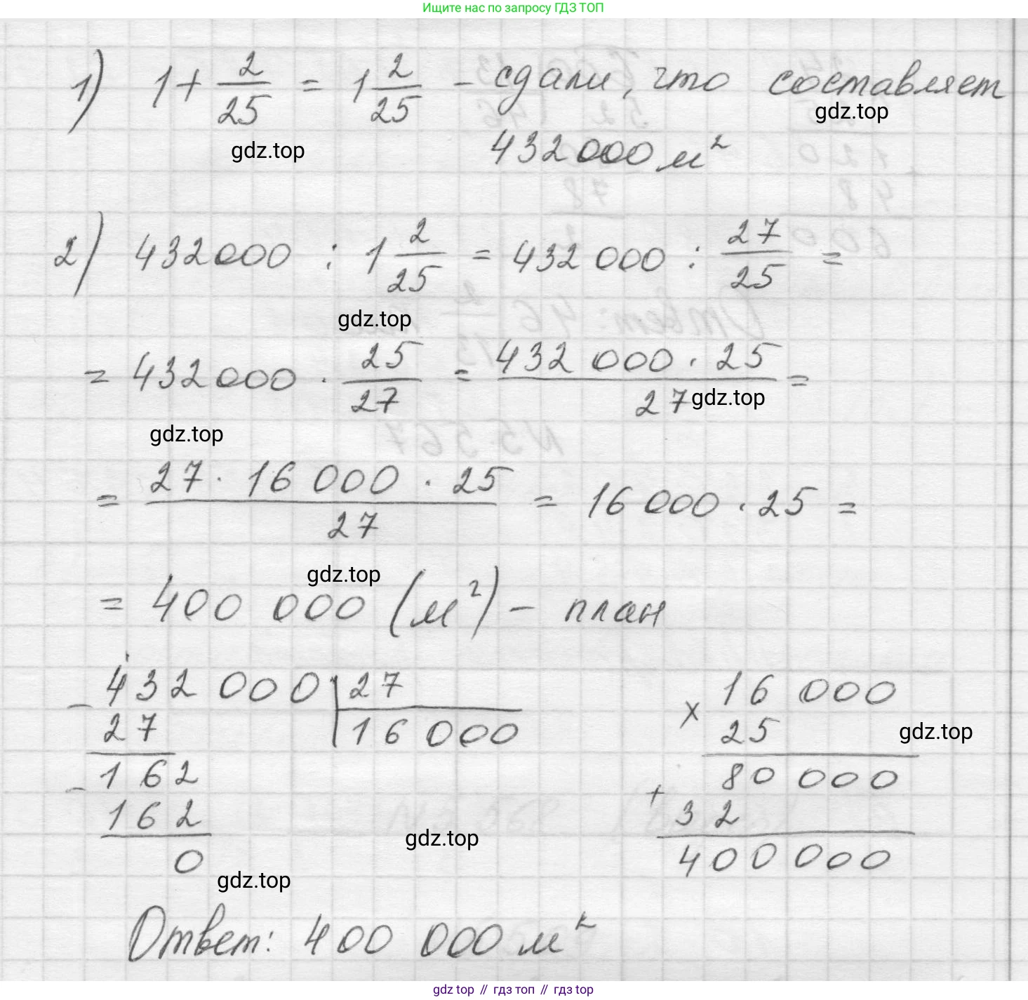
5.565 Строители сдали 432 тыс. м² жилья, что превысило запланированную площадь на 225. Сколько квадратных метров жилья должны были сдать строители?
Решение 1. №5.565 (с. 89)
Решение 2. №5.565 (с. 89)
Для решения задачи необходимо найти первоначальную, запланированную площадь. Обозначим эту площадь за $x$ (в тысячах м?).
По условию, строители превысили запланированную площадь на $\frac{2}{25}$. Это означает, что они выполнили весь план (который можно принять за 1) и еще $\frac{2}{25}$ от этого плана.
Таким образом, фактически сданная площадь составляет:
$1 + \frac{2}{25} = \frac{25}{25} + \frac{2}{25} = \frac{27}{25}$ от запланированной площади.
Мы знаем, что эта величина равна 432 тыс. м?. Теперь мы можем составить уравнение, чтобы найти $x$:
$\frac{27}{25} \cdot x = 432$
Чтобы найти $x$, нужно разделить 432 на дробь $\frac{27}{25}$. Деление на дробь равносильно умножению на обратную ей дробь:
$x = 432 : \frac{27}{25} = 432 \cdot \frac{25}{27}$
Произведем вычисление:
$x = \frac{432 \cdot 25}{27}$
Сократим 432 и 27. $432 : 27 = 16$.
$x = 16 \cdot 25$
$x = 400$
Следовательно, запланированная площадь составляла 400 тыс. м?.
Переведем это значение в квадратные метры:
$400 \text{ тыс. м}^2 = 400 \cdot 1000 = 400\;000 \text{ м}^2$.
Ответ: строители должны были сдать 400 000 квадратных метров жилья.
Решение 3. №5.565 (с. 89)


Решение 4. №5.565 (с. 89)

Другие задания:
Помогло решение? Оставьте отзыв в комментариях ниже.
Мы подготовили для вас ответ c подробным объяснением домашего задания по математике за 5 класс, для упражнения номер 5.565 расположенного на странице 89 для 2-й части к учебнику 2023 года издания для учащихся школ и гимназий.
Теперь на нашем сайте ГДЗ.ТОП вы всегда легко и бесплатно найдёте условие с правильным ответом на вопрос «Как решить ДЗ» и «Как сделать» задание по математике к упражнению №5.565 (с. 89), авторов: Виленкин (Наум Яковлевич), Жохов (Владимир Иванович), Чесноков (Александр Семёнович), Александрова (Лилия Александровна), Шварцбурд (Семён Исаакович), 2-й части ФГОС (новый, красный) базовый уровень обучения учебного пособия издательства Просвещение.