Номер 6.30, страница 96, часть 2 - гдз по математике 5 класс учебник Виленкин, Жохов


Авторы: Виленкин Н. Я., Жохов В. И., Чесноков А. С., Александрова Л. А., Шварцбурд С. И.
Тип: Учебник
Издательство: Просвещение
Год издания: 2023 - 2025
Уровень обучения: базовый
Часть: 2
Цвет обложки: белый, красный, синий с пазлами
Допущено Министерством просвещения Российской Федерации
Популярные ГДЗ в 5 классе
41. Десятичная запись дробей. § 6. Десятичные дроби. Глава 2. Дробные числа. ч. 2 - номер 6.30, страница 96.
№6.30 (с. 96)
Условие. №6.30 (с. 96)
скриншот условия

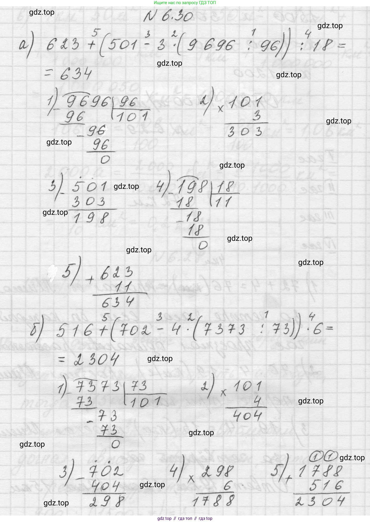
6.30 Найдите значение выражения:
а) 623 + (501 - 3 • (9696 : 96)) : 18;
б) 516 + (702 - 4 • (7373 : 73)) • 6.
Решение 1. №6.30 (с. 96)
Решение 2. №6.30 (с. 96)
а) $623 + (501 - 3 \cdot (9696 : 96)) : 18$
Для решения этого выражения необходимо соблюдать порядок действий. Сначала выполняются действия в скобках, при этом первыми идут умножение и деление, а затем сложение и вычитание. После этого выполняются остальные действия в том же порядке.
1. Первое действие — деление в самых внутренних скобках:
$9696 : 96 = 101$
2. Второе действие — умножение в скобках:
$3 \cdot 101 = 303$
3. Третье действие — вычитание в скобках:
$501 - 303 = 198$
4. Четвертое действие — деление:
$198 : 18 = 11$
5. Пятое, заключительное действие — сложение:
$623 + 11 = 634$
Ответ: 634
б) $516 + (702 - 4 \cdot (7373 : 73)) \cdot 6$
Решаем по порядку действий. Сначала действия в скобках (деление, затем умножение и вычитание), потом умножение за скобками, и в конце — сложение.
1. Первое действие — деление во внутренних скобках:
$7373 : 73 = 101$
2. Второе действие — умножение в скобках:
$4 \cdot 101 = 404$
3. Третье действие — вычитание в скобках:
$702 - 404 = 298$
4. Четвертое действие — умножение:
$298 \cdot 6 = 1788$
5. Пятое, заключительное действие — сложение:
$516 + 1788 = 2304$
Ответ: 2304
Решение 3. №6.30 (с. 96)

Решение 4. №6.30 (с. 96)

Другие задания:
Помогло решение? Оставьте отзыв в комментариях ниже.
Мы подготовили для вас ответ c подробным объяснением домашего задания по математике за 5 класс, для упражнения номер 6.30 расположенного на странице 96 для 2-й части к учебнику 2023 года издания для учащихся школ и гимназий.
Теперь на нашем сайте ГДЗ.ТОП вы всегда легко и бесплатно найдёте условие с правильным ответом на вопрос «Как решить ДЗ» и «Как сделать» задание по математике к упражнению №6.30 (с. 96), авторов: Виленкин (Наум Яковлевич), Жохов (Владимир Иванович), Чесноков (Александр Семёнович), Александрова (Лилия Александровна), Шварцбурд (Семён Исаакович), 2-й части ФГОС (новый, красный) базовый уровень обучения учебного пособия издательства Просвещение.