Номер 3, страница 97, часть 2 - гдз по математике 5 класс учебник Виленкин, Жохов


Авторы: Виленкин Н. Я., Жохов В. И., Чесноков А. С., Александрова Л. А., Шварцбурд С. И.
Тип: Учебник
Издательство: Просвещение
Год издания: 2023 - 2025
Уровень обучения: базовый
Часть: 2
Цвет обложки: белый, красный, синий с пазлами
Допущено Министерством просвещения Российской Федерации
Популярные ГДЗ в 5 классе
Проверьте себя. Проверочная работа №1. § 6. Десятичные дроби. Глава 2. Дробные числа. ч. 2 - номер 3, страница 97.
№3 (с. 97)
Условие. №3 (с. 97)
скриншот условия

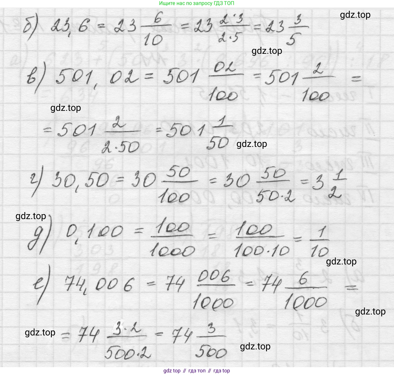
3 Представьте в виде обыкновенной дроби или смешанного числа:
а) 4,05;
б) 23,6;
в) 501,02;
г) 30,50;
д) 0,100;
е) 74,006.
Решение 1. №3 (с. 97)
Решение 2. №3 (с. 97)
а) Чтобы представить десятичную дробь 4,05 в виде смешанного числа, нужно выделить целую и дробную части. Целая часть равна 4. Дробная часть 0,05 представляется в виде обыкновенной дроби. Так как после запятой стоят две цифры, знаменатель будет 100, а числитель - 5. Получаем дробь $ \frac{5}{100} $. Эту дробь можно сократить, разделив числитель и знаменатель на их наибольший общий делитель, который равен 5. $ \frac{5:5}{100:5} = \frac{1}{20} $. Таким образом, смешанное число равно $ 4\frac{1}{20} $.
Ответ: $ 4\frac{1}{20} $
б) В числе 23,6 целая часть равна 23. Дробная часть 0,6 имеет одну цифру после запятой, поэтому представляем ее в виде дроби со знаменателем 10: $ \frac{6}{10} $. Сократим эту дробь, разделив числитель и знаменатель на 2: $ \frac{6:2}{10:2} = \frac{3}{5} $. В итоге получаем смешанное число $ 23\frac{3}{5} $.
Ответ: $ 23\frac{3}{5} $
в) Целая часть числа 501,02 равна 501. Дробная часть 0,02 имеет две цифры после запятой, что соответствует знаменателю 100. Записываем дробь как $ \frac{2}{100} $. Сокращаем ее на 2: $ \frac{2:2}{100:2} = \frac{1}{50} $. Соединяем целую и дробную части: $ 501\frac{1}{50} $.
Ответ: $ 501\frac{1}{50} $
г) Десятичная дробь 30,50 эквивалентна 30,5. Целая часть равна 30. Дробную часть 0,5 представляем как $ \frac{5}{10} $. Эту дробь можно сократить на 5: $ \frac{5:5}{10:5} = \frac{1}{2} $. Следовательно, смешанное число равно $ 30\frac{1}{2} $. Альтернативно, можно представить 0,50 как $ \frac{50}{100} $, что также сокращается до $ \frac{1}{2} $.
Ответ: $ 30\frac{1}{2} $
д) Число 0,100 можно упростить, убрав незначащие нули в конце, до 0,1. Целая часть равна 0, поэтому мы получим обыкновенную дробь. Дробная часть 0,1 означает одну десятую, что записывается как $ \frac{1}{10} $. Эта дробь является несократимой. Также можно было представить 0,100 как $ \frac{100}{1000} $, что после сокращения на 100 дает тот же результат $ \frac{1}{10} $.
Ответ: $ \frac{1}{10} $
е) Для числа 74,006 целая часть равна 74. В дробной части 0,006 три цифры после запятой, поэтому знаменатель будет 1000, а числитель - 6. Получаем дробь $ \frac{6}{1000} $. Сократим ее, разделив числитель и знаменатель на их общий делитель 2: $ \frac{6:2}{1000:2} = \frac{3}{500} $. В результате получаем смешанное число $ 74\frac{3}{500} $.
Ответ: $ 74\frac{3}{500} $
Решение 3. №3 (с. 97)

Решение 4. №3 (с. 97)

Другие задания:
Помогло решение? Оставьте отзыв в комментариях ниже.
Мы подготовили для вас ответ c подробным объяснением домашего задания по математике за 5 класс, для упражнения номер 3 расположенного на странице 97 для 2-й части к учебнику 2023 года издания для учащихся школ и гимназий.
Теперь на нашем сайте ГДЗ.ТОП вы всегда легко и бесплатно найдёте условие с правильным ответом на вопрос «Как решить ДЗ» и «Как сделать» задание по математике к упражнению №3 (с. 97), авторов: Виленкин (Наум Яковлевич), Жохов (Владимир Иванович), Чесноков (Александр Семёнович), Александрова (Лилия Александровна), Шварцбурд (Семён Исаакович), 2-й части ФГОС (новый, красный) базовый уровень обучения учебного пособия издательства Просвещение.