Номер 6.311, страница 134, часть 2 - гдз по математике 5 класс учебник Виленкин, Жохов


Авторы: Виленкин Н. Я., Жохов В. И., Чесноков А. С., Александрова Л. А., Шварцбурд С. И.
Тип: Учебник
Издательство: Просвещение
Год издания: 2023 - 2025
Уровень обучения: базовый
Часть: 2
Цвет обложки: белый, красный, синий с пазлами
Допущено Министерством просвещения Российской Федерации
Популярные ГДЗ в 5 классе
47. Умножение на десятичную дробь. § 6. Десятичные дроби. Глава 2. Дробные числа. ч. 2 - номер 6.311, страница 134.
№6.311 (с. 134)
Условие. №6.311 (с. 134)
скриншот условия


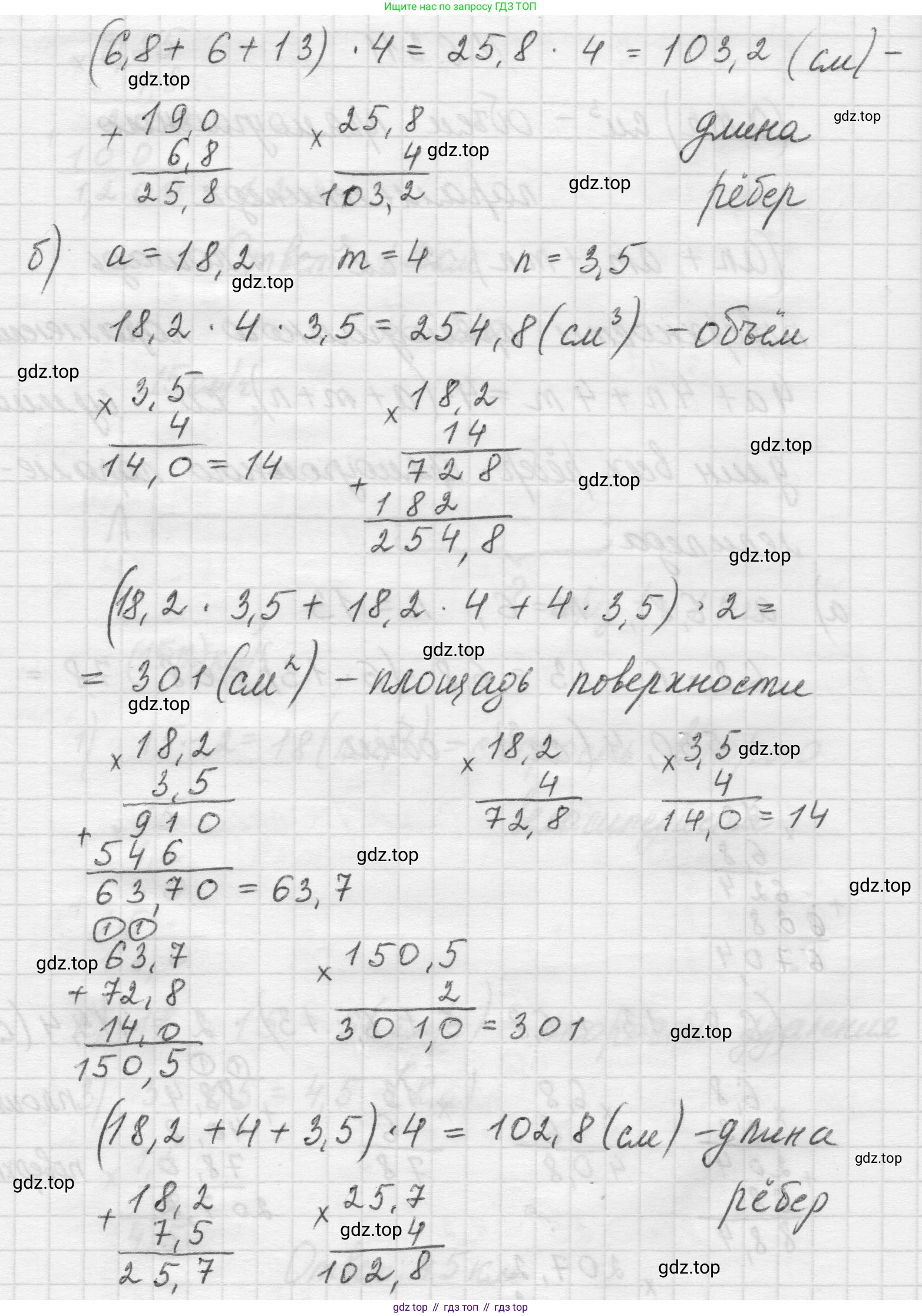
6.311 Запишите буквенное выражение для вычисления и вычислите объём, площадь поверхности и сумму длин всех рёбер прямоугольного параллелепипеда (рис. 6.25) при:
а) a = 6,8
б) a = 18,2
в) a = 0,48
г) a = 3,05
m = 6
m = 4
m = 0,76
m = 0,84
n = 13
n = 3,5
n = 3,75
n = 2,45

Решение 1. №6.311 (с. 134)
Решение 2. №6.311 (с. 134)
Пусть измерения прямоугольного параллелепипеда равны $a$, $m$ и $n$. Тогда буквенные выражения для вычисления его объёма ($V$), площади поверхности ($S$) и суммы длин всех рёбер ($L$) выглядят следующим образом:
1. Объём: $V = a \cdot m \cdot n$
2. Площадь поверхности: $S = 2(am + an + mn)$
3. Сумма длин всех рёбер: $L = 4(a + m + n)$
Теперь вычислим эти значения для каждого случая.
а) При $a = 6,8$ см, $m = 6$ см, $n = 13$ см:
Объём: $V = 6,8 \cdot 6 \cdot 13 = 40,8 \cdot 13 = 530,4$ см$^3$.
Площадь поверхности: $S = 2(6,8 \cdot 6 + 6,8 \cdot 13 + 6 \cdot 13) = 2(40,8 + 88,4 + 78) = 2 \cdot 207,2 = 414,4$ см$^2$.
Сумма длин рёбер: $L = 4(6,8 + 6 + 13) = 4 \cdot 25,8 = 103,2$ см.
Ответ: объём $530,4$ см$^3$; площадь поверхности $414,4$ см$^2$; сумма длин рёбер $103,2$ см.
б) При $a = 18,2$ см, $m = 4$ см, $n = 3,5$ см:
Объём: $V = 18,2 \cdot 4 \cdot 3,5 = 18,2 \cdot 14 = 254,8$ см$^3$.
Площадь поверхности: $S = 2(18,2 \cdot 4 + 18,2 \cdot 3,5 + 4 \cdot 3,5) = 2(72,8 + 63,7 + 14) = 2 \cdot 150,5 = 301$ см$^2$.
Сумма длин рёбер: $L = 4(18,2 + 4 + 3,5) = 4 \cdot 25,7 = 102,8$ см.
Ответ: объём $254,8$ см$^3$; площадь поверхности $301$ см$^2$; сумма длин рёбер $102,8$ см.
в) При $a = 0,48$ см, $m = 0,76$ см, $n = 3,75$ см:
Объём: $V = 0,48 \cdot 0,76 \cdot 3,75 = 0,3648 \cdot 3,75 = 1,368$ см$^3$.
Площадь поверхности: $S = 2(0,48 \cdot 0,76 + 0,48 \cdot 3,75 + 0,76 \cdot 3,75) = 2(0,3648 + 1,8 + 2,85) = 2 \cdot 5,0148 = 10,0296$ см$^2$.
Сумма длин рёбер: $L = 4(0,48 + 0,76 + 3,75) = 4 \cdot 4,99 = 19,96$ см.
Ответ: объём $1,368$ см$^3$; площадь поверхности $10,0296$ см$^2$; сумма длин рёбер $19,96$ см.
г) При $a = 3,05$ см, $m = 0,84$ см, $n = 2,45$ см:
Объём: $V = 3,05 \cdot 0,84 \cdot 2,45 = 2,562 \cdot 2,45 = 6,2769$ см$^3$.
Площадь поверхности: $S = 2(3,05 \cdot 0,84 + 3,05 \cdot 2,45 + 0,84 \cdot 2,45) = 2(2,562 + 7,4725 + 2,058) = 2 \cdot 12,0925 = 24,185$ см$^2$.
Сумма длин рёбер: $L = 4(3,05 + 0,84 + 2,45) = 4 \cdot 6,34 = 25,36$ см.
Ответ: объём $6,2769$ см$^3$; площадь поверхности $24,185$ см$^2$; сумма длин рёбер $25,36$ см.
Решение 3. №6.311 (с. 134)



Решение 4. №6.311 (с. 134)

Другие задания:
Помогло решение? Оставьте отзыв в комментариях ниже.
Мы подготовили для вас ответ c подробным объяснением домашего задания по математике за 5 класс, для упражнения номер 6.311 расположенного на странице 134 для 2-й части к учебнику 2023 года издания для учащихся школ и гимназий.
Теперь на нашем сайте ГДЗ.ТОП вы всегда легко и бесплатно найдёте условие с правильным ответом на вопрос «Как решить ДЗ» и «Как сделать» задание по математике к упражнению №6.311 (с. 134), авторов: Виленкин (Наум Яковлевич), Жохов (Владимир Иванович), Чесноков (Александр Семёнович), Александрова (Лилия Александровна), Шварцбурд (Семён Исаакович), 2-й части ФГОС (новый, красный) базовый уровень обучения учебного пособия издательства Просвещение.