Номер 6.43, страница 99, часть 2 - гдз по математике 5 класс учебник Виленкин, Жохов


Авторы: Виленкин Н. Я., Жохов В. И., Чесноков А. С., Александрова Л. А., Шварцбурд С. И.
Тип: Учебник
Издательство: Просвещение
Год издания: 2023 - 2025
Уровень обучения: базовый
Часть: 2
Цвет обложки: белый, красный, синий с пазлами
Допущено Министерством просвещения Российской Федерации
Популярные ГДЗ в 5 классе
42. Сравнение десятичных дробей. § 6. Десятичные дроби. Глава 2. Дробные числа. ч. 2 - номер 6.43, страница 99.
№6.43 (с. 99)
Условие. №6.43 (с. 99)
скриншот условия

6.43 Сравните величины:
а) 239,57 кг и 240,68 кг;
б) 89,61 дм³ и 79,32 дм³;
в) 9,837 ч и 9,873 ч;
г) 4,83 °C и 4,51 °C;
д) 0,712 кг и 721,5 г;
е) 3,234 га и 323,5 а;
ж) 6,543 м и 6543,3 мм;
з) 8,632 л и 8649 см³.
Можно ли сравнить 2,6 см² и 2,7 см? Приведите примеры величин, которые нельзя сравнивать.
Решение 1. №6.43 (с. 99)
Решение 2. №6.43 (с. 99)
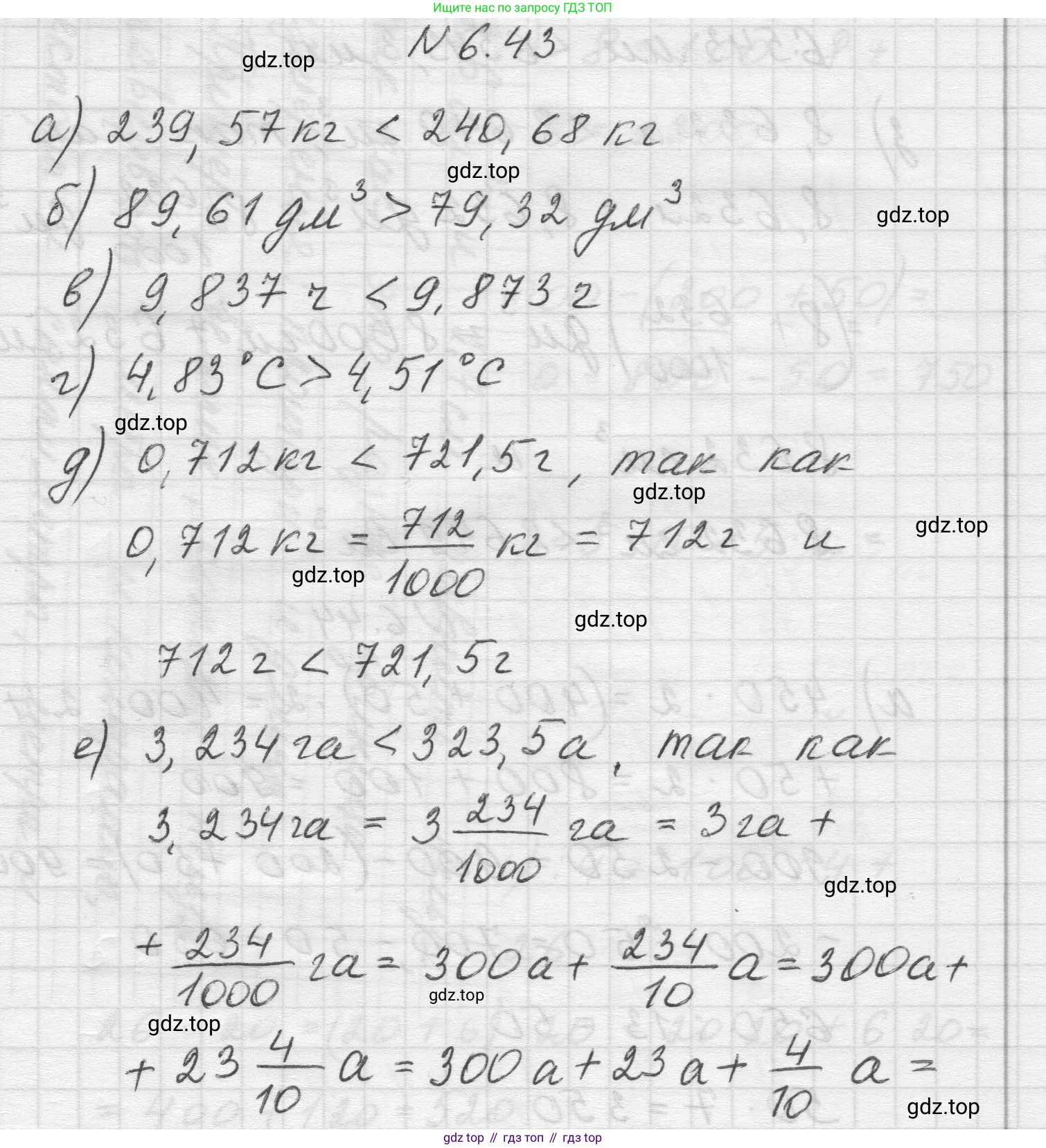
а) Сравниваем $239,57 \text{ кг}$ и $240,68 \text{ кг}$. Обе величины выражены в килограммах. Для сравнения десятичных дробей сначала сравниваем их целые части. Целая часть числа 239,57 равна 239, а целая часть числа 240,68 равна 240. Поскольку $239 < 240$, то и $239,57 < 240,68$.
Ответ: $239,57 \text{ кг} < 240,68 \text{ кг}$.
б) Сравниваем $89,61 \text{ дм}^3$ и $79,32 \text{ дм}^3$. Обе величины выражены в кубических дециметрах. Сравниваем целые части чисел: 89 и 79. Поскольку $89 > 79$, то $89,61 > 79,32$.
Ответ: $89,61 \text{ дм}^3 > 79,32 \text{ дм}^3$.
в) Сравниваем $9,837 \text{ ч}$ и $9,873 \text{ ч}$. Обе величины выражены в часах. Целые части чисел равны (9). Сравниваем дробные части поразрядно, начиная со старшего разряда (десятых). Цифры в разряде десятых равны (8). Переходим к разряду сотых: у первого числа цифра 3, а у второго 7. Поскольку $3 < 7$, то $9,837 < 9,873$.
Ответ: $9,837 \text{ ч} < 9,873 \text{ ч}$.
г) Сравниваем $4,83 \text{ °C}$ и $4,51 \text{ °C}$. Обе величины выражены в градусах Цельсия. Целые части чисел равны (4). Сравниваем цифры в разряде десятых: у первого числа 8, у второго 5. Поскольку $8 > 5$, то $4,83 > 4,51$.
Ответ: $4,83 \text{ °C} > 4,51 \text{ °C}$.
д) Сравниваем $0,712 \text{ кг}$ и $721,5 \text{ г}$. Величины выражены в разных единицах массы. Приведем их к одной единице измерения — граммам. В одном килограмме 1000 граммов ($1 \text{ кг} = 1000 \text{ г}$).
$0,712 \text{ кг} = 0,712 \times 1000 \text{ г} = 712 \text{ г}$.
Теперь сравниваем $712 \text{ г}$ и $721,5 \text{ г}$. Поскольку $712 < 721,5$, то $0,712 \text{ кг} < 721,5 \text{ г}$.
Ответ: $0,712 \text{ кг} < 721,5 \text{ г}$.
е) Сравниваем $3,234 \text{ га}$ и $323,5 \text{ а}$. Величины выражены в разных единицах площади. Приведем их к арам. В одном гектаре 100 аров ($1 \text{ га} = 100 \text{ а}$).
$3,234 \text{ га} = 3,234 \times 100 \text{ а} = 323,4 \text{ а}$.
Теперь сравниваем $323,4 \text{ а}$ и $323,5 \text{ а}$. Поскольку $323,4 < 323,5$, то $3,234 \text{ га} < 323,5 \text{ а}$.
Ответ: $3,234 \text{ га} < 323,5 \text{ а}$.
ж) Сравниваем $6,543 \text{ м}$ и $6543,3 \text{ мм}$. Величины выражены в разных единицах длины. Приведем их к миллиметрам. В одном метре 1000 миллиметров ($1 \text{ м} = 1000 \text{ мм}$).
$6,543 \text{ м} = 6,543 \times 1000 \text{ мм} = 6543 \text{ мм}$.
Теперь сравниваем $6543 \text{ мм}$ и $6543,3 \text{ мм}$. Поскольку $6543 < 6543,3$, то $6,543 \text{ м} < 6543,3 \text{ мм}$.
Ответ: $6,543 \text{ м} < 6543,3 \text{ мм}$.
з) Сравниваем $8,632 \text{ л}$ и $8649 \text{ см}^3$. Величины выражены в разных единицах объема. Приведем их к кубическим сантиметрам. Один литр равен 1000 кубических сантиметров ($1 \text{ л} = 1000 \text{ см}^3$).
$8,632 \text{ л} = 8,632 \times 1000 \text{ см}^3 = 8632 \text{ см}^3$.
Теперь сравниваем $8632 \text{ см}^3$ и $8649 \text{ см}^3$. Поскольку $8632 < 8649$, то $8,632 \text{ л} < 8649 \text{ см}^3$.
Ответ: $8,632 \text{ л} < 8649 \text{ см}^3$.
Сравнивать можно только однородные величины, то есть те, которые измеряют одну и ту же физическую характеристику (например, две длины или две массы). Величина $2,6 \text{ см}^2$ является мерой площади, а величина $2,7 \text{ см}$ — мерой длины. Это разнородные величины, поэтому их сравнение не имеет физического смысла. Нельзя сказать, что больше — площадь или длина.
Примеры других величин, которые нельзя сравнивать:
- масса и время (например, $5 \text{ кг}$ и $10 \text{ секунд}$);
- длина и объем (например, $3 \text{ м}$ и $12 \text{ м}^3$);
- площадь и скорость (например, $15 \text{ м}^2$ и $30 \text{ км/ч}$);
- температура и сила тока (например, $20 \text{ °C}$ и $2 \text{ А}$).
Ответ: Сравнить $2,6 \text{ см}^2$ и $2,7 \text{ см}$ нельзя, так как это разнородные величины (площадь и длина). Примеры величин, которые нельзя сравнивать: масса и время, объем и температура.
Решение 3. №6.43 (с. 99)

Решение 4. №6.43 (с. 99)

Другие задания:
Помогло решение? Оставьте отзыв в комментариях ниже.
Мы подготовили для вас ответ c подробным объяснением домашего задания по математике за 5 класс, для упражнения номер 6.43 расположенного на странице 99 для 2-й части к учебнику 2023 года издания для учащихся школ и гимназий.
Теперь на нашем сайте ГДЗ.ТОП вы всегда легко и бесплатно найдёте условие с правильным ответом на вопрос «Как решить ДЗ» и «Как сделать» задание по математике к упражнению №6.43 (с. 99), авторов: Виленкин (Наум Яковлевич), Жохов (Владимир Иванович), Чесноков (Александр Семёнович), Александрова (Лилия Александровна), Шварцбурд (Семён Исаакович), 2-й части ФГОС (новый, красный) базовый уровень обучения учебного пособия издательства Просвещение.