Номер 6.44, страница 99, часть 2 - гдз по математике 5 класс учебник Виленкин, Жохов


Авторы: Виленкин Н. Я., Жохов В. И., Чесноков А. С., Александрова Л. А., Шварцбурд С. И.
Тип: Учебник
Издательство: Просвещение
Год издания: 2023 - 2025
Уровень обучения: базовый
Часть: 2
Цвет обложки: белый, красный, синий с пазлами
Допущено Министерством просвещения Российской Федерации
Популярные ГДЗ в 5 классе
42. Сравнение десятичных дробей. § 6. Десятичные дроби. Глава 2. Дробные числа. ч. 2 - номер 6.44, страница 99.
№6.44 (с. 99)
Условие. №6.44 (с. 99)
скриншот условия

6.44 Вычислите.

Решение 1. №6.44 (с. 99)
Решение 2. №6.44 (с. 99)
а)
Для решения этого примера необходимо выполнить арифметические операции в указанном порядке, сверху вниз.
1) Первое действие: умножение. $450 \cdot 2 = 900$.
2) Второе действие: вычитание. $900 - 250 = 650$.
3) Третье действие: деление. $650 : 13 = 50$.
4) Четвертое действие: умножение. $50 \cdot 7 = 350$.
Ответ: 350
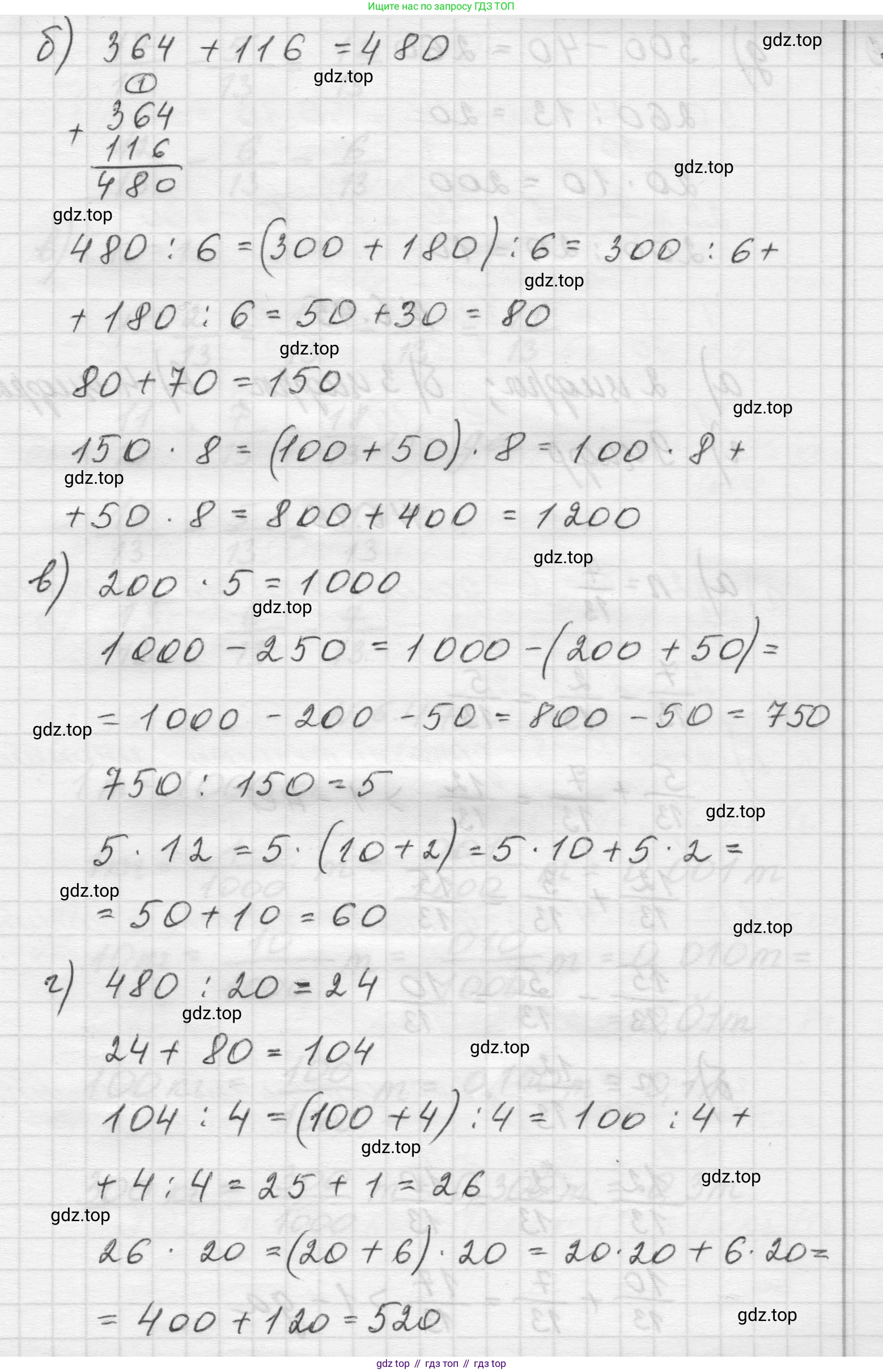
б)
Выполним последовательно все указанные математические операции.
1) Первое действие: сложение. $364 + 116 = 480$.
2) Второе действие: деление. $480 : 6 = 80$.
3) Третье действие: сложение. $80 + 70 = 150$.
4) Четвертое действие: умножение. $150 \cdot 8 = 1200$.
Ответ: 1200
в)
Решим данный пример по действиям, следуя порядку, указанному в столбике.
1) Первое действие: умножение. $200 \cdot 5 = 1000$.
2) Второе действие: вычитание. $1000 - 250 = 750$.
3) Третье действие: деление. $750 : 150 = 5$.
4) Четвертое действие: умножение. $5 \cdot 12 = 60$.
Ответ: 60
г)
Выполним вычисления по шагам в заданной последовательности.
1) Первое действие: деление. $480 : 20 = 24$.
2) Второе действие: сложение. $24 + 80 = 104$.
3) Третье действие: деление. $104 : 4 = 26$.
4) Четвертое действие: умножение. $26 \cdot 20 = 520$.
Ответ: 520
д)
Произведем вычисления в столбик согласно указанному порядку операций.
1) Первое действие: вычитание. $300 - 40 = 260$.
2) Второе действие: деление. $260 : 13 = 20$.
3) Третье действие: умножение. $20 \cdot 10 = 200$.
4) Четвертое действие: деление. $200 : 20 = 10$.
Ответ: 10
Решение 3. №6.44 (с. 99)

Решение 4. №6.44 (с. 99)

Другие задания:
Помогло решение? Оставьте отзыв в комментариях ниже.
Мы подготовили для вас ответ c подробным объяснением домашего задания по математике за 5 класс, для упражнения номер 6.44 расположенного на странице 99 для 2-й части к учебнику 2023 года издания для учащихся школ и гимназий.
Теперь на нашем сайте ГДЗ.ТОП вы всегда легко и бесплатно найдёте условие с правильным ответом на вопрос «Как решить ДЗ» и «Как сделать» задание по математике к упражнению №6.44 (с. 99), авторов: Виленкин (Наум Яковлевич), Жохов (Владимир Иванович), Чесноков (Александр Семёнович), Александрова (Лилия Александровна), Шварцбурд (Семён Исаакович), 2-й части ФГОС (новый, красный) базовый уровень обучения учебного пособия издательства Просвещение.