Номер 98, страница 168, часть 2 - гдз по математике 5 класс учебник Виленкин, Жохов


Авторы: Виленкин Н. Я., Жохов В. И., Чесноков А. С., Александрова Л. А., Шварцбурд С. И.
Тип: Учебник
Издательство: Просвещение
Год издания: 2023 - 2025
Уровень обучения: базовый
Часть: 2
Цвет обложки: белый, красный, синий с пазлами
Допущено Министерством просвещения Российской Федерации
Популярные ГДЗ в 5 классе
Задачи. Вопросы и задачи на повторение. Глава 2. Дробные числа. ч. 2 - номер 98, страница 168.
№98 (с. 168)
Условие. №98 (с. 168)
скриншот условия

П.98 Упростите выражение:
а) 3a + 27,9 + 3,1 + 7,28 + 2,7a + 0,5a + 9,3;
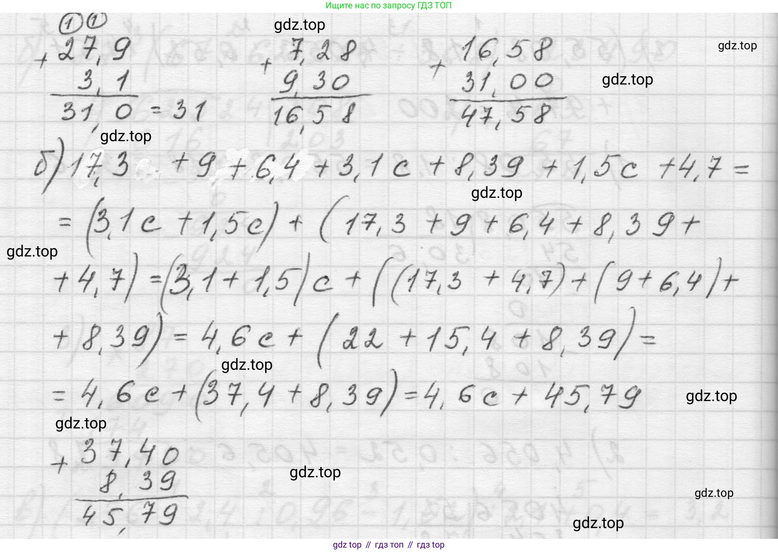
б) 17,3 + 9 + 6,4 + 3,1c + 8,39 + 1,5c + 4,7.
Решение 1. №98 (с. 168)
Решение 2. №98 (с. 168)
а) $3a + 27,9 + 3,1 + 7,28 + 2,7a + 0,5a + 9,3$
Чтобы упростить выражение, нужно сгруппировать и сложить подобные слагаемые. Подобными слагаемыми здесь являются члены с переменной $a$ и числовые члены (константы). Используем переместительное и сочетательное свойства сложения, чтобы перегруппировать члены:
$(3a + 2,7a + 0,5a) + (27,9 + 3,1 + 7,28 + 9,3)$
Теперь выполним сложение в каждой группе.
Сначала сложим члены с переменной $a$, используя распределительное свойство:
$(3 + 2,7 + 0,5)a = (5,7 + 0,5)a = 6,2a$
Затем сложим числовые члены. Для удобства можно сгруппировать их так:
$(27,9 + 3,1) + (7,28 + 9,3) = 31 + 16,58 = 47,58$
Или последовательно:
$27,9 + 3,1 = 31$
$31 + 7,28 = 38,28$
$38,28 + 9,3 = 47,58$
Объединяем полученные результаты:
$6,2a + 47,58$
Ответ: $6,2a + 47,58$.
б) $17,3 + 9 + 6,4 + 3,1c + 8,39 + 1,5c + 4,7$
Аналогично предыдущему пункту, сгруппируем подобные слагаемые: члены с переменной $c$ и числовые члены.
$(3,1c + 1,5c) + (17,3 + 9 + 6,4 + 8,39 + 4,7)$
Выполним сложение в каждой группе.
Сложим члены с переменной $c$:
$(3,1 + 1,5)c = 4,6c$
Теперь сложим числовые члены:
$17,3 + 9 = 26,3$
$26,3 + 6,4 = 32,7$
$32,7 + 8,39 = 41,09$
$41,09 + 4,7 = 45,79$
Объединяем полученные результаты, чтобы получить упрощенное выражение:
$4,6c + 45,79$
Ответ: $4,6c + 45,79$.
Решение 3. №98 (с. 168)

Решение 4. №98 (с. 168)

Другие задания:
Помогло решение? Оставьте отзыв в комментариях ниже.
Мы подготовили для вас ответ c подробным объяснением домашего задания по математике за 5 класс, для упражнения номер 98 расположенного на странице 168 для 2-й части к учебнику 2023 года издания для учащихся школ и гимназий.
Теперь на нашем сайте ГДЗ.ТОП вы всегда легко и бесплатно найдёте условие с правильным ответом на вопрос «Как решить ДЗ» и «Как сделать» задание по математике к упражнению №98 (с. 168), авторов: Виленкин (Наум Яковлевич), Жохов (Владимир Иванович), Чесноков (Александр Семёнович), Александрова (Лилия Александровна), Шварцбурд (Семён Исаакович), 2-й части ФГОС (новый, красный) базовый уровень обучения учебного пособия издательства Просвещение.