Номер 1020, страница 219 - гдз по математике 6 класс учебник Мерзляк, Полонский

Авторы: Мерзляк А. Г., Полонский В. Б., Якир М. С.
Тип: Учебник
Издательство: Просвещение, Вентана-граф
Год издания: 2019 - 2022
Цвет обложки: салатовый, зелёный
ISBN: 978-5-360-10057-7
Рекомендовано Министерством образования и науки Российской Федерации
Популярные ГДЗ в 6 классе
Упражнения. Параграф 36. Вычитание рациональных чисел. Глава 4. Рациональные числа и действия над ними - номер 1020, страница 219.
№1020 (с. 219)
Условие. №1020 (с. 219)
скриншот условия

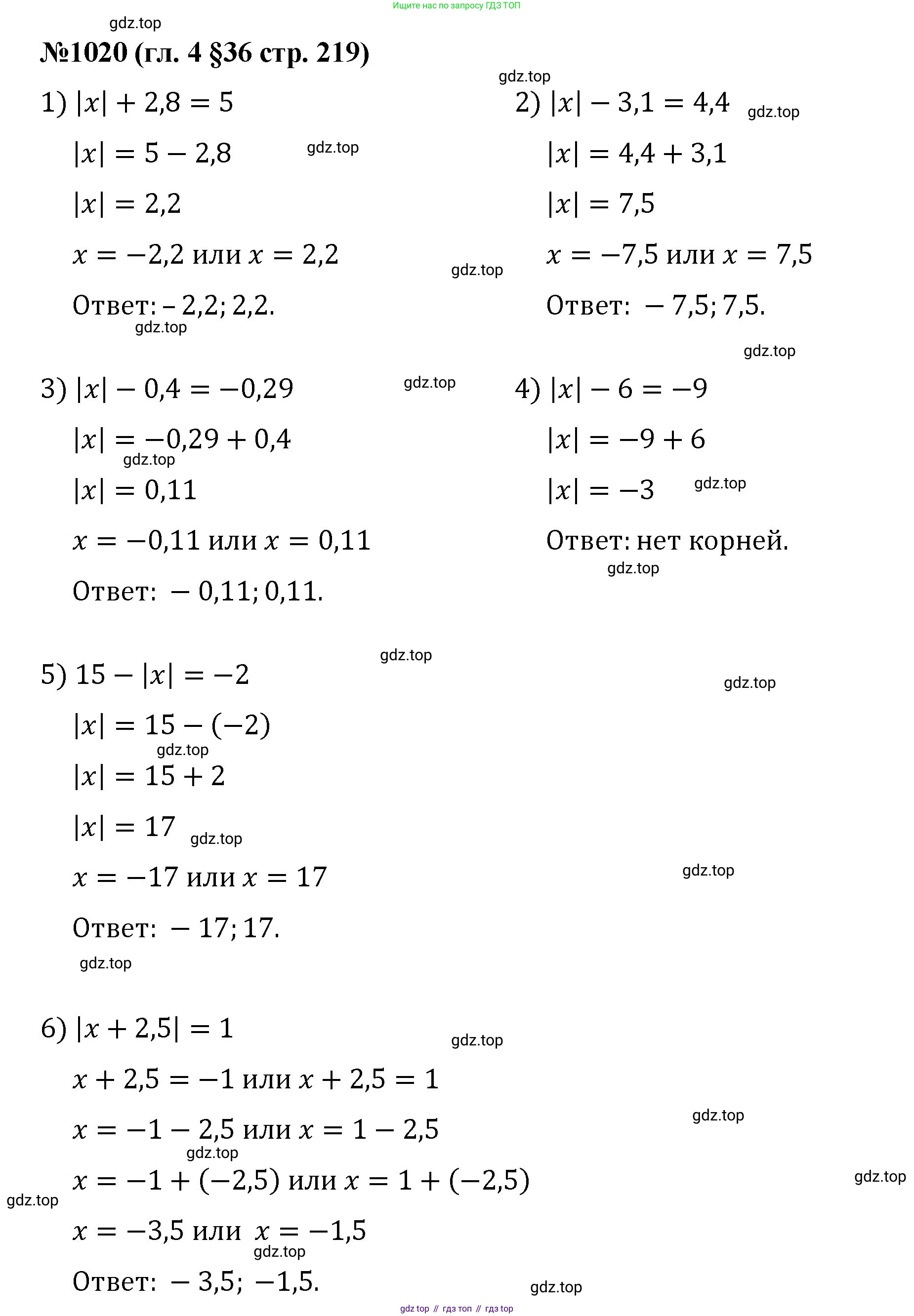
1020. Решите уравнение:
1) $|x| + 2,8 = 5$;
2) $|x| - 3,1 = 4,4$;
3) $|x| - 0,4 = -0,29$;
4) $|x| - 6 = -9$;
5) $15 - |x| = -2$;
6) $|x + 2,5| = 1$.
Решение. №1020 (с. 219)

Решение 2. №1020 (с. 219)
1) $|x| + 2,8 = 5$
Чтобы решить уравнение, сначала изолируем модуль $x$. Для этого перенесем $2,8$ в правую часть уравнения с противоположным знаком:
$|x| = 5 - 2,8$
$|x| = 2,2$
Уравнение вида $|x| = a$, где $a > 0$, имеет два корня: $x = a$ и $x = -a$.
Следовательно, $x_1 = 2,2$ и $x_2 = -2,2$.
Ответ: $-2,2; 2,2$.
2) $|x| - 3,1 = 4,4$
Изолируем модуль $x$, перенеся $-3,1$ в правую часть уравнения, изменив знак на противоположный:
$|x| = 4,4 + 3,1$
$|x| = 7,5$
Так как модуль числа равен $7,5$, само число может быть $7,5$ или $-7,5$.
$x_1 = 7,5$ и $x_2 = -7,5$.
Ответ: $-7,5; 7,5$.
3) $|x| - 0,4 = -0,29$
Перенесем $-0,4$ в правую часть, чтобы выделить $|x|$:
$|x| = -0,29 + 0,4$
$|x| = 0,11$
Уравнение имеет два корня:
$x_1 = 0,11$ и $x_2 = -0,11$.
Ответ: $-0,11; 0,11$.
4) $|x| - 6 = -9$
Изолируем модуль $x$:
$|x| = -9 + 6$
$|x| = -3$
Модуль (абсолютная величина) любого числа по определению является неотрицательной величиной, то есть $|x| \ge 0$ для любого значения $x$.
Поскольку в полученном уравнении модуль $x$ должен быть равен отрицательному числу ($-3$), уравнение не имеет решений.
Ответ: корней нет.
5) $15 - |x| = -2$
Сначала выразим $|x|$. Перенесем $15$ в правую часть:
$-|x| = -2 - 15$
$-|x| = -17$
Умножим обе части уравнения на $-1$:
$|x| = 17$
Уравнение имеет два корня:
$x_1 = 17$ и $x_2 = -17$.
Ответ: $-17; 17$.
6) $|x + 2,5| = 1$
Данное уравнение эквивалентно тому, что выражение, стоящее под знаком модуля, равно либо $1$, либо $-1$. Рассмотрим оба случая в виде двух отдельных уравнений.
Случай 1:
$x + 2,5 = 1$
$x = 1 - 2,5$
$x_1 = -1,5$
Случай 2:
$x + 2,5 = -1$
$x = -1 - 2,5$
$x_2 = -3,5$
Уравнение имеет два корня.
Ответ: $-3,5; -1,5$.
Другие задания:
Помогло решение? Оставьте отзыв в комментариях ниже.
Присоединяйтесь к Телеграм-группе @top_gdz
ПрисоединитьсяМы подготовили для вас ответ c подробным объяснением домашего задания по математике за 6 класс, для упражнения номер 1020 расположенного на странице 219 к учебнику 2019 - 2022 года издания для учащихся школ и гимназий.
Теперь на нашем сайте ГДЗ.ТОП вы всегда легко и бесплатно найдёте условие с правильным ответом на вопрос «Как решить ДЗ» и «Как сделать» задание по математике к упражнению №1020 (с. 219), авторов: Мерзляк (Аркадий Григорьевич), Полонский (Виталий Борисович), Якир (Михаил Семёнович), ФГОС (старый) учебного пособия издательства Просвещение, Вентана-граф.