Номер 1037, страница 223 - гдз по математике 6 класс учебник Мерзляк, Полонский

Авторы: Мерзляк А. Г., Полонский В. Б., Якир М. С.
Тип: Учебник
Издательство: Просвещение, Вентана-граф
Год издания: 2019 - 2022
Цвет обложки: салатовый, зелёный
ISBN: 978-5-360-10057-7
Рекомендовано Министерством образования и науки Российской Федерации
Популярные ГДЗ в 6 классе
Упражнения. Параграф 37. Умножение рациональных чисел. Глава 4. Рациональные числа и действия над ними - номер 1037, страница 223.
№1037 (с. 223)
Условие. №1037 (с. 223)
скриншот условия

1037. Выполните действия:
1) $-3,2 \cdot 0,4 + 2,6 \cdot (-0,5)$;
2) $5,2 \cdot (-0,8) - (-1,5) \cdot (-3,4)$;
3) $(7,6 - 20) \cdot (-3,14 + 5,24)$;
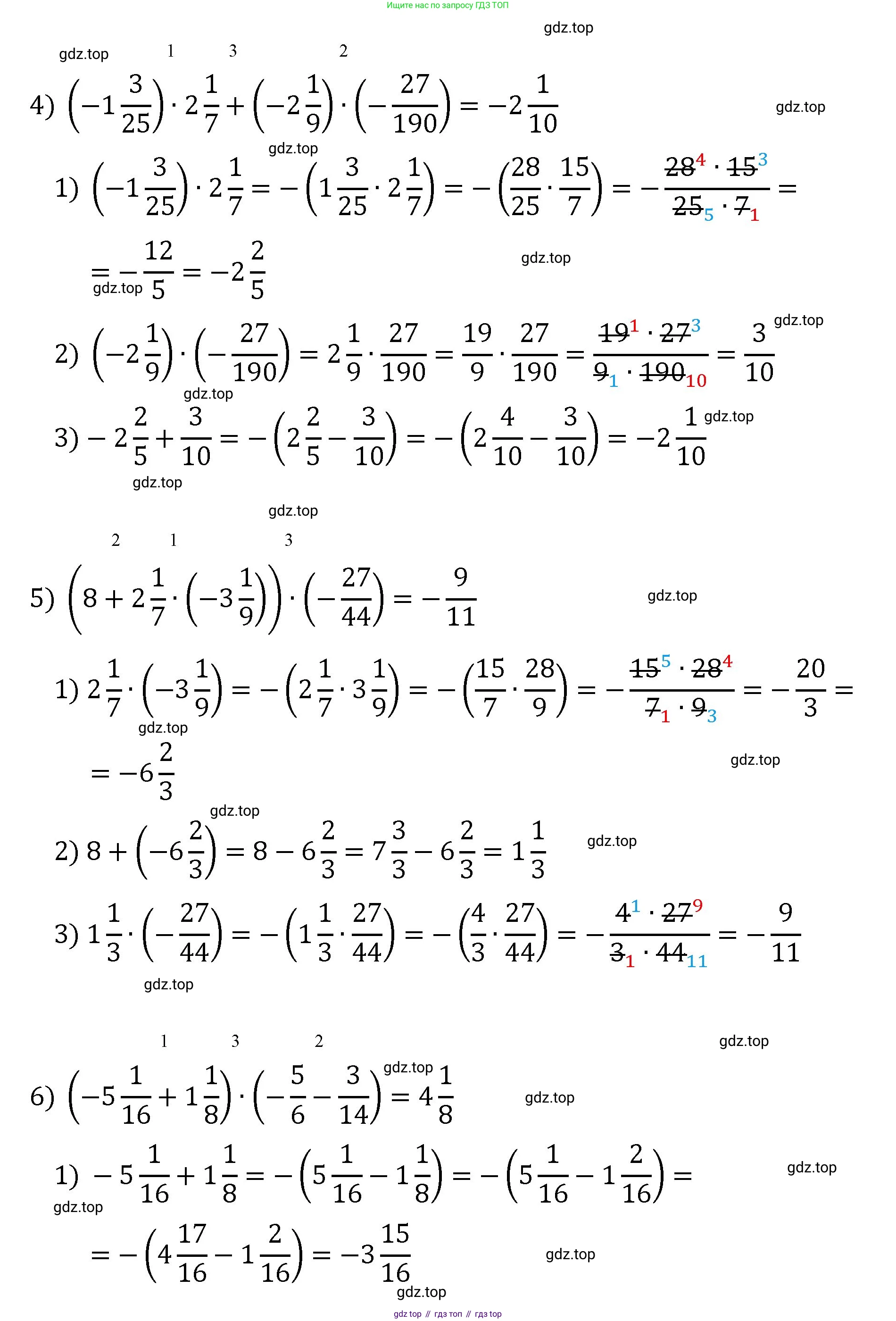
4) $\left(-1\frac{3}{25}\right) \cdot 2\frac{1}{7} + \left(-2\frac{1}{9}\right) \cdot \left(-\frac{27}{190}\right)$;
5) $\left(8+2\frac{1}{7} \cdot \left(-3\frac{1}{9}\right)\right) \cdot \left(-\frac{27}{44}\right)$;
6) $\left(-5\frac{1}{16}+1\frac{1}{8}\right) \cdot \left(-\frac{5}{6}-\frac{3}{14}\right)$.
Решение. №1037 (с. 223)



Решение 2. №1037 (с. 223)
1) $-3,2 \cdot 0,4 + 2,6 \cdot (-0,5)$
Сначала выполняем умножения, затем сложение:
$(-3,2) \cdot 0,4 = -1,28$
$2,6 \cdot (-0,5) = -1,3$
$-1,28 + (-1,3) = -1,28 - 1,3 = -2,58$
Ответ: $-2,58$
2) $5,2 \cdot (-0,8) - (-1,5) \cdot (-3,4)$
Сначала выполняем умножения, затем вычитание:
$5,2 \cdot (-0,8) = -4,16$
$(-1,5) \cdot (-3,4) = 5,1$
$-4,16 - 5,1 = -9,26$
Ответ: $-9,26$
3) $(7,6 - 20) \cdot (-3,14 + 5,24)$
Сначала выполняем действия в скобках:
$7,6 - 20 = -12,4$
$-3,14 + 5,24 = 2,1$
Затем перемножаем результаты:
$-12,4 \cdot 2,1 = -26,04$
Ответ: $-26,04$
4) $(-1\frac{3}{25}) \cdot 2\frac{1}{7} + (-2\frac{1}{9}) \cdot (-\frac{27}{190})$
Сначала выполняем умножения, затем сложение. Переведем смешанные числа в неправильные дроби.
Первое произведение: $(-1\frac{3}{25}) \cdot 2\frac{1}{7} = -\frac{28}{25} \cdot \frac{15}{7} = -\frac{28 \cdot 15}{25 \cdot 7} = -\frac{4 \cdot 3}{5 \cdot 1} = -\frac{12}{5}$
Второе произведение: $(-2\frac{1}{9}) \cdot (-\frac{27}{190}) = (-\frac{19}{9}) \cdot (-\frac{27}{190}) = \frac{19 \cdot 27}{9 \cdot 190} = \frac{1 \cdot 3}{1 \cdot 10} = \frac{3}{10}$
Складываем результаты, приводя к общему знаменателю:
$-\frac{12}{5} + \frac{3}{10} = -\frac{24}{10} + \frac{3}{10} = \frac{-24+3}{10} = -\frac{21}{10} = -2,1$
Ответ: $-2,1$
5) $(8 + 2\frac{1}{7} \cdot (-3\frac{1}{9})) \cdot (-\frac{27}{44})$
Сначала выполняем действия в скобках, начиная с умножения.
Умножение в скобках: $2\frac{1}{7} \cdot (-3\frac{1}{9}) = \frac{15}{7} \cdot (-\frac{28}{9}) = -\frac{15 \cdot 28}{7 \cdot 9} = -\frac{5 \cdot 4}{1 \cdot 3} = -\frac{20}{3}$
Сложение в скобках: $8 + (-\frac{20}{3}) = \frac{24}{3} - \frac{20}{3} = \frac{4}{3}$
Теперь умножаем результат на выражение за скобками:
$\frac{4}{3} \cdot (-\frac{27}{44}) = -\frac{4 \cdot 27}{3 \cdot 44} = -\frac{1 \cdot 9}{1 \cdot 11} = -\frac{9}{11}$
Ответ: $-\frac{9}{11}$
6) $(-5\frac{1}{16} + 1\frac{1}{8}) \cdot (-\frac{5}{6} - \frac{3}{14})$
Сначала выполняем действия в каждой из скобок, затем перемножаем результаты.
Действие в первой скобке: $-5\frac{1}{16} + 1\frac{1}{8} = -\frac{81}{16} + \frac{9}{8} = -\frac{81}{16} + \frac{18}{16} = \frac{-81+18}{16} = -\frac{63}{16}$
Действие во второй скобке: $-\frac{5}{6} - \frac{3}{14}$. Общий знаменатель для 6 и 14 равен 42. $-\frac{5 \cdot 7}{42} - \frac{3 \cdot 3}{42} = -\frac{35}{42} - \frac{9}{42} = \frac{-35-9}{42} = -\frac{44}{42} = -\frac{22}{21}$
Перемножаем полученные значения:
$(-\frac{63}{16}) \cdot (-\frac{22}{21}) = \frac{63 \cdot 22}{16 \cdot 21} = \frac{(3 \cdot 21) \cdot (2 \cdot 11)}{(8 \cdot 2) \cdot 21} = \frac{3 \cdot 11}{8} = \frac{33}{8} = 4\frac{1}{8}$
Ответ: $4\frac{1}{8}$
Другие задания:
Помогло решение? Оставьте отзыв в комментариях ниже.
Присоединяйтесь к Телеграм-группе @top_gdz
ПрисоединитьсяМы подготовили для вас ответ c подробным объяснением домашего задания по математике за 6 класс, для упражнения номер 1037 расположенного на странице 223 к учебнику 2019 - 2022 года издания для учащихся школ и гимназий.
Теперь на нашем сайте ГДЗ.ТОП вы всегда легко и бесплатно найдёте условие с правильным ответом на вопрос «Как решить ДЗ» и «Как сделать» задание по математике к упражнению №1037 (с. 223), авторов: Мерзляк (Аркадий Григорьевич), Полонский (Виталий Борисович), Якир (Михаил Семёнович), ФГОС (старый) учебного пособия издательства Просвещение, Вентана-граф.