Номер 1045, страница 225 - гдз по математике 6 класс учебник Мерзляк, Полонский

Авторы: Мерзляк А. Г., Полонский В. Б., Якир М. С.
Тип: Учебник
Издательство: Просвещение, Вентана-граф
Год издания: 2019 - 2022
Цвет обложки: салатовый, зелёный
ISBN: 978-5-360-10057-7
Рекомендовано Министерством образования и науки Российской Федерации
Популярные ГДЗ в 6 классе
Упражнения. Параграф 37. Умножение рациональных чисел. Глава 4. Рациональные числа и действия над ними - номер 1045, страница 225.
№1045 (с. 225)
Условие. №1045 (с. 225)
скриншот условия

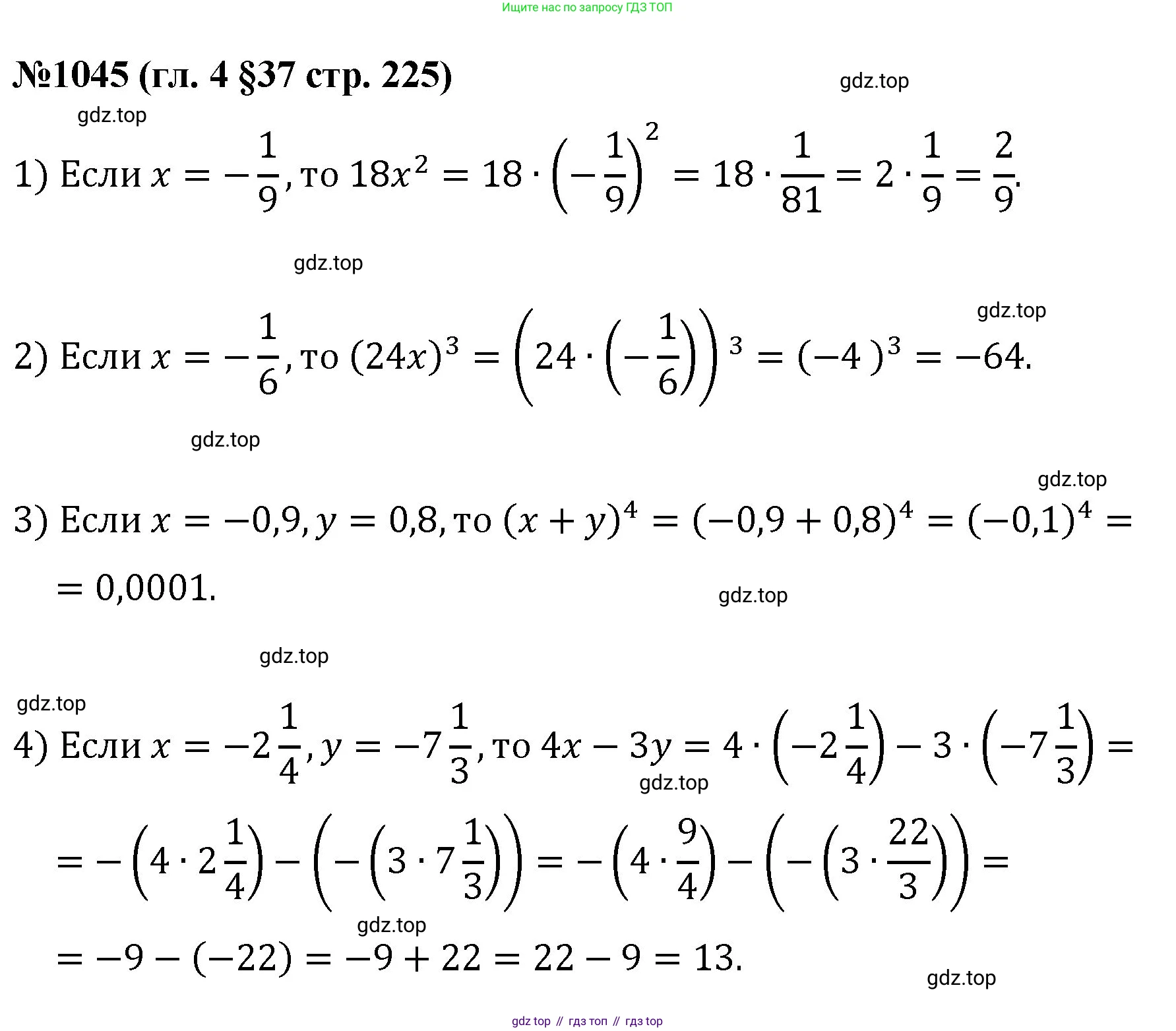
1045. Найдите значение выражения:
1) $18x^2$, если $x = -\frac{1}{9}$;
2) $(24x)^3$, если $x = -\frac{1}{6}$;
3) $(x+y)^4$, если $x = -0,9, y = 0,8$;
4) $4x - 3y$, если $x = -2\frac{1}{4}, y = -7\frac{1}{3}$.
Решение. №1045 (с. 225)

Решение 2. №1045 (с. 225)
1) Чтобы найти значение выражения $18x^2$ при $x = -\frac{1}{9}$, подставим значение $x$ в выражение:
$18 \cdot \left(-\frac{1}{9}\right)^2 = 18 \cdot \left(\frac{1}{81}\right) = \frac{18}{81}$
Сократим дробь на 9:
$\frac{18 \div 9}{81 \div 9} = \frac{2}{9}$
Ответ: $\frac{2}{9}$.
2) Чтобы найти значение выражения $(24x)^3$ при $x = -\frac{1}{6}$, подставим значение $x$ в выражение:
$\left(24 \cdot \left(-\frac{1}{6}\right)\right)^3 = \left(-\frac{24}{6}\right)^3 = (-4)^3$
Вычислим куб числа -4:
$(-4) \cdot (-4) \cdot (-4) = 16 \cdot (-4) = -64$
Ответ: $-64$.
3) Чтобы найти значение выражения $(x + y)^4$ при $x = -0,9$ и $y = 0,8$, подставим значения $x$ и $y$ в выражение:
$(-0,9 + 0,8)^4 = (-0,1)^4$
Так как степень четная (4), результат будет положительным:
$(-0,1)^4 = 0,1 \cdot 0,1 \cdot 0,1 \cdot 0,1 = 0,0001$
Ответ: $0,0001$.
4) Чтобы найти значение выражения $4x - 3y$ при $x = -2\frac{1}{4}$ и $y = -7\frac{1}{3}$, сначала преобразуем смешанные числа в неправильные дроби:
$x = -2\frac{1}{4} = -\frac{2 \cdot 4 + 1}{4} = -\frac{9}{4}$
$y = -7\frac{1}{3} = -\frac{7 \cdot 3 + 1}{3} = -\frac{22}{3}$
Теперь подставим полученные значения в выражение:
$4x - 3y = 4 \cdot \left(-\frac{9}{4}\right) - 3 \cdot \left(-\frac{22}{3}\right)$
Выполним умножение:
$4 \cdot \left(-\frac{9}{4}\right) = -9$
$(-3) \cdot \left(-\frac{22}{3}\right) = 22$
Сложим результаты:
$-9 + 22 = 13$
Ответ: $13$.
Другие задания:
Помогло решение? Оставьте отзыв в комментариях ниже.
Присоединяйтесь к Телеграм-группе @top_gdz
ПрисоединитьсяМы подготовили для вас ответ c подробным объяснением домашего задания по математике за 6 класс, для упражнения номер 1045 расположенного на странице 225 к учебнику 2019 - 2022 года издания для учащихся школ и гимназий.
Теперь на нашем сайте ГДЗ.ТОП вы всегда легко и бесплатно найдёте условие с правильным ответом на вопрос «Как решить ДЗ» и «Как сделать» задание по математике к упражнению №1045 (с. 225), авторов: Мерзляк (Аркадий Григорьевич), Полонский (Виталий Борисович), Якир (Михаил Семёнович), ФГОС (старый) учебного пособия издательства Просвещение, Вентана-граф.