Номер 1069, страница 230 - гдз по математике 6 класс учебник Мерзляк, Полонский

Авторы: Мерзляк А. Г., Полонский В. Б., Якир М. С.
Тип: Учебник
Издательство: Просвещение, Вентана-граф
Год издания: 2019 - 2022
Цвет обложки: салатовый, зелёный
ISBN: 978-5-360-10057-7
Рекомендовано Министерством образования и науки Российской Федерации
Популярные ГДЗ в 6 классе
Упражнения. Параграф 38. Переместительное и сочетательное свойства умножения рациональных чисел. Коэффициент. Глава 4. Рациональные числа и действия над ними - номер 1069, страница 230.
№1069 (с. 230)
Условие. №1069 (с. 230)
скриншот условия

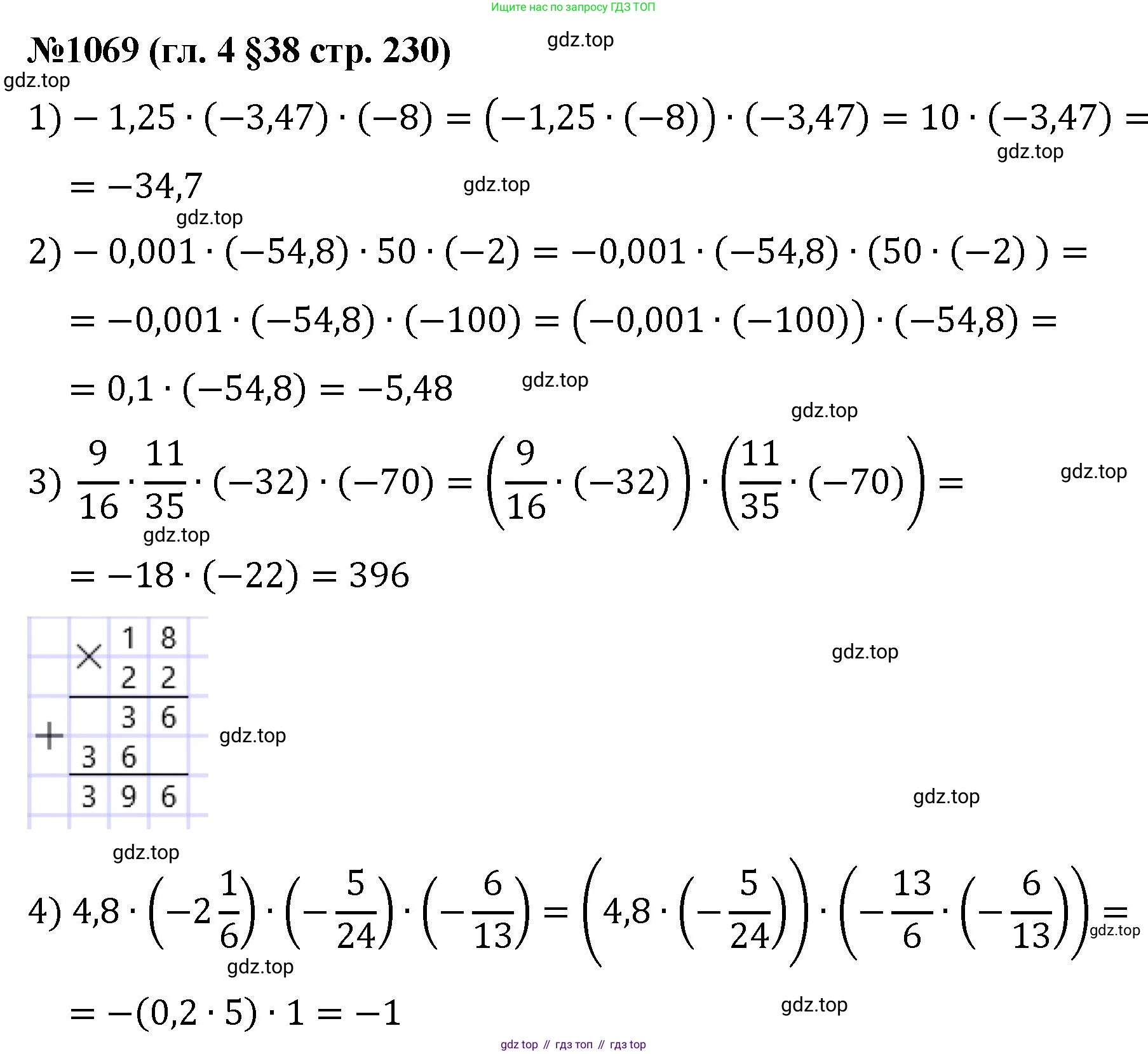
1069. Вычислите наиболее удобным способом:
1) $-1,25 \cdot (-3,47) \cdot (-8);$
2) $-0,001 \cdot (-54,8) \cdot 50 \cdot (-2);$
3) $\frac{9}{16} \cdot \frac{11}{35} \cdot (-32) \cdot (-70);$
4) $4,8 \cdot \left(-2\frac{1}{6}\right) \cdot \left(-\frac{5}{24}\right) \cdot \left(-\frac{6}{13}\right).$
Решение. №1069 (с. 230)

Решение 2. №1069 (с. 230)
1)
Чтобы вычислить произведение наиболее удобным способом, воспользуемся переместительным свойством умножения и сгруппируем множители $-1,25$ и $-8$, так как их произведение является целым числом.
$ -1,25 \cdot (-3,47) \cdot (-8) = (-1,25 \cdot (-8)) \cdot (-3,47) $
Сначала вычислим произведение в скобках. Произведение двух отрицательных чисел положительно.
$ -1,25 \cdot (-8) = 1,25 \cdot 8 = 10 $
Теперь умножим полученный результат на оставшийся множитель.
$ 10 \cdot (-3,47) = -34,7 $
Ответ: -34,7
2)
Для удобства вычислений сгруппируем множители $50$ и $-2$, а также $-0,001$ с результатом их произведения.
$ -0,001 \cdot (-54,8) \cdot 50 \cdot (-2) = (-54,8) \cdot (-0,001 \cdot (50 \cdot (-2))) $
Вычислим произведение во внутренних скобках:
$ 50 \cdot (-2) = -100 $
Теперь умножим результат на $-0,001$.
$ -0,001 \cdot (-100) = 0,1 $
Наконец, умножим полученное число на $-54,8$.
$ 0,1 \cdot (-54,8) = -5,48 $
Ответ: -5,48
3)
В данном выражении удобно сгруппировать дроби с целыми числами так, чтобы знаменатели дробей сократились. Сгруппируем $ \frac{9}{16} $ с $-32$ и $ \frac{11}{35} $ с $-70$. Так как в произведении два отрицательных множителя, итоговый результат будет положительным.
$ \frac{9}{16} \cdot \frac{11}{35} \cdot (-32) \cdot (-70) = (\frac{9}{16} \cdot (-32)) \cdot (\frac{11}{35} \cdot (-70)) $
Вычислим произведение в первой группе:
$ \frac{9}{16} \cdot (-32) = \frac{9 \cdot (-32)}{16} = 9 \cdot (-2) = -18 $
Вычислим произведение во второй группе:
$ \frac{11}{35} \cdot (-70) = \frac{11 \cdot (-70)}{35} = 11 \cdot (-2) = -22 $
Теперь перемножим полученные результаты:
$ -18 \cdot (-22) = 396 $
Ответ: 396
4)
Для удобства вычислений представим все множители в виде обыкновенных дробей.
$ 4,8 = \frac{48}{10} = \frac{24}{5} $
$ -2\frac{1}{6} = -\frac{2 \cdot 6 + 1}{6} = -\frac{13}{6} $
Запишем всё выражение, подставив полученные дроби. Так как в произведении три отрицательных множителя, результат будет отрицательным.
$ \frac{24}{5} \cdot (-\frac{13}{6}) \cdot (-\frac{5}{24}) \cdot (-\frac{6}{13}) = - (\frac{24}{5} \cdot \frac{13}{6} \cdot \frac{5}{24} \cdot \frac{6}{13}) $
Сгруппируем дроби так, чтобы было удобно их сокращать (взаимно обратные числа):
$ - ((\frac{24}{5} \cdot \frac{5}{24}) \cdot (\frac{13}{6} \cdot \frac{6}{13})) $
Вычислим произведения в скобках:
$ \frac{24}{5} \cdot \frac{5}{24} = 1 $
$ \frac{13}{6} \cdot \frac{6}{13} = 1 $
Подставим результаты в выражение:
$ - (1 \cdot 1) = -1 $
Ответ: -1
Другие задания:
Помогло решение? Оставьте отзыв в комментариях ниже.
Присоединяйтесь к Телеграм-группе @top_gdz
ПрисоединитьсяМы подготовили для вас ответ c подробным объяснением домашего задания по математике за 6 класс, для упражнения номер 1069 расположенного на странице 230 к учебнику 2019 - 2022 года издания для учащихся школ и гимназий.
Теперь на нашем сайте ГДЗ.ТОП вы всегда легко и бесплатно найдёте условие с правильным ответом на вопрос «Как решить ДЗ» и «Как сделать» задание по математике к упражнению №1069 (с. 230), авторов: Мерзляк (Аркадий Григорьевич), Полонский (Виталий Борисович), Якир (Михаил Семёнович), ФГОС (старый) учебного пособия издательства Просвещение, Вентана-граф.