Номер 1072, страница 230 - гдз по математике 6 класс учебник Мерзляк, Полонский

Авторы: Мерзляк А. Г., Полонский В. Б., Якир М. С.
Тип: Учебник
Издательство: Просвещение, Вентана-граф
Год издания: 2019 - 2022
Цвет обложки: салатовый, зелёный
ISBN: 978-5-360-10057-7
Рекомендовано Министерством образования и науки Российской Федерации
Популярные ГДЗ в 6 классе
Упражнения. Параграф 38. Переместительное и сочетательное свойства умножения рациональных чисел. Коэффициент. Глава 4. Рациональные числа и действия над ними - номер 1072, страница 230.
№1072 (с. 230)
Условие. №1072 (с. 230)
скриншот условия


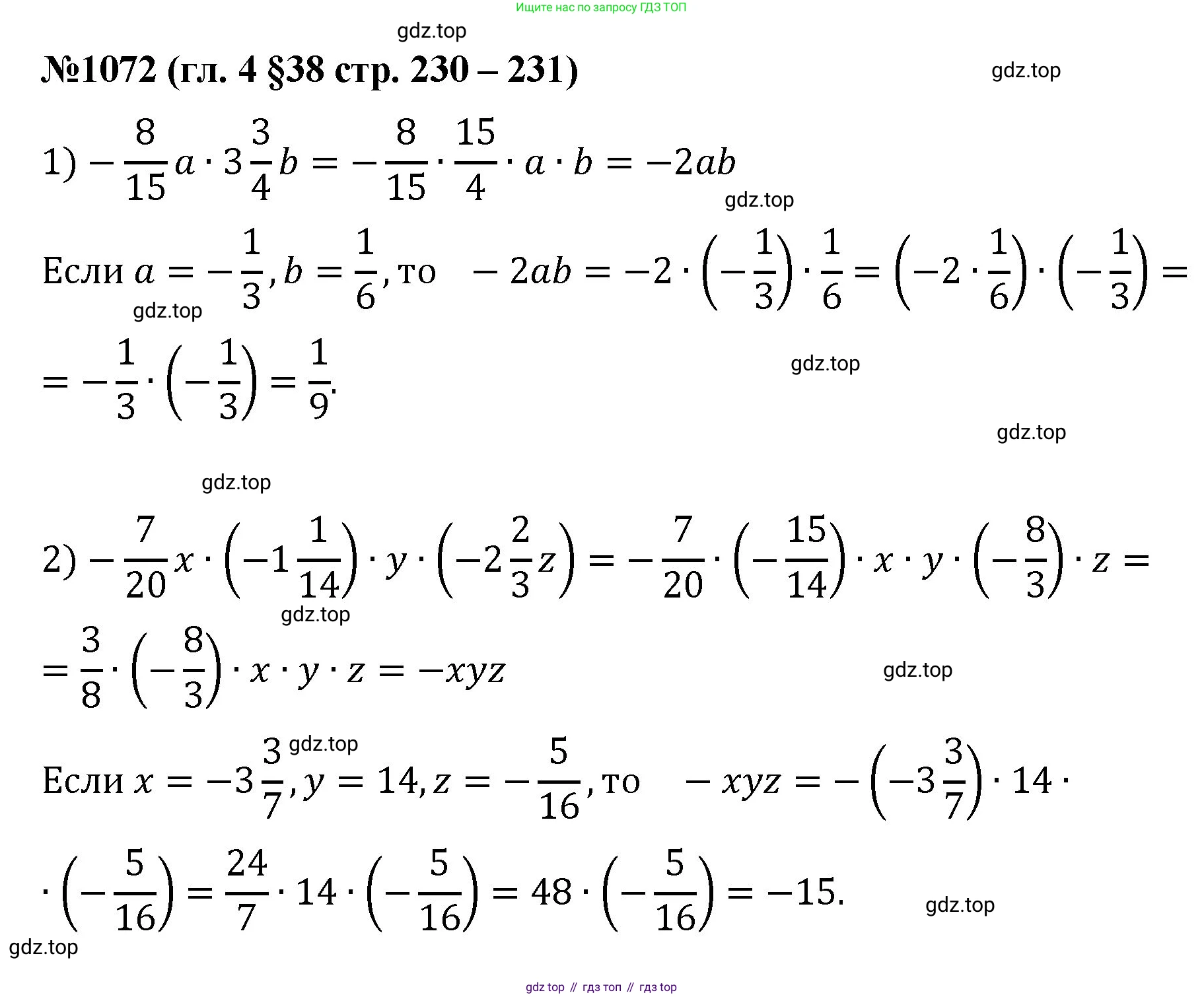
1072. Упростите выражение и найдите его значение:
1) $ - \frac{8}{15} a \cdot 3\frac{3}{4} b, \text{ если } a = - \frac{1}{3}, b = \frac{1}{6}; $
2) $ - \frac{7}{20} x \cdot \left(-1\frac{1}{14}\right) \cdot y \cdot \left(-2\frac{2}{3} z\right), \text{ если } x = -3\frac{3}{7}, y = 14, z = - \frac{5}{16}. $
Решение. №1072 (с. 230)

Решение 2. №1072 (с. 230)
1) Сначала упростим выражение. Для этого представим смешанное число в виде неправильной дроби и перемножим числовые коэффициенты.
$3\frac{3}{4} = \frac{3 \cdot 4 + 3}{4} = \frac{15}{4}$
Теперь перемножим коэффициенты:
$-\frac{8}{15}a \cdot 3\frac{3}{4}b = (-\frac{8}{15} \cdot \frac{15}{4})ab$
Сократим дроби:
$-\frac{8 \cdot 15}{15 \cdot 4}ab = -\frac{8}{4}ab = -2ab$
Теперь подставим значения $a = -\frac{1}{3}$ и $b = \frac{1}{6}$ в упрощенное выражение:
$-2ab = -2 \cdot (-\frac{1}{3}) \cdot \frac{1}{6} = \frac{2}{3} \cdot \frac{1}{6} = \frac{2}{18} = \frac{1}{9}$
Ответ: $\frac{1}{9}$
2) Сначала упростим выражение. Преобразуем смешанные числа в неправильные дроби и перемножим числовые коэффициенты.
$-1\frac{1}{14} = -\frac{1 \cdot 14 + 1}{14} = -\frac{15}{14}$
$-2\frac{2}{3} = -\frac{2 \cdot 3 + 2}{3} = -\frac{8}{3}$
Исходное выражение: $-\frac{7}{20}x \cdot (-\frac{15}{14})y \cdot (-\frac{8}{3}z)$.
Сгруппируем и перемножим коэффициенты. Произведение трех отрицательных чисел отрицательно:
$(-\frac{7}{20}) \cdot (-\frac{15}{14}) \cdot (-\frac{8}{3})xyz = -(\frac{7 \cdot 15 \cdot 8}{20 \cdot 14 \cdot 3})xyz$
Сократим дробь:
$-(\frac{\sout{7} \cdot (\sout{3} \cdot \sout{5}) \cdot \sout{8}}{(\sout{4} \cdot \sout{5}) \cdot (2 \cdot \sout{7}) \cdot \sout{3}})xyz = -(\frac{\sout{8}}{\sout{4} \cdot 2})xyz = -1xyz = -xyz$
Теперь подставим значения $x = -3\frac{3}{7}$, $y = 14$ и $z = -\frac{5}{16}$ в упрощенное выражение.
Сначала преобразуем значение $x$ в неправильную дробь:
$x = -3\frac{3}{7} = -\frac{3 \cdot 7 + 3}{7} = -\frac{24}{7}$
Подставим значения в выражение $-xyz$:
$-xyz = -(-\frac{24}{7}) \cdot 14 \cdot (-\frac{5}{16})$
Произведение трех отрицательных чисел отрицательно:
$ -(\frac{24}{7} \cdot 14 \cdot \frac{5}{16}) = -(\frac{24 \cdot 14 \cdot 5}{7 \cdot 16})$
Сократим и вычислим:
$-(\frac{24}{16} \cdot \frac{14}{7} \cdot 5) = -(\frac{3}{2} \cdot 2 \cdot 5) = -(3 \cdot 5) = -15$
Ответ: $-15$
Другие задания:
Помогло решение? Оставьте отзыв в комментариях ниже.
Присоединяйтесь к Телеграм-группе @top_gdz
ПрисоединитьсяМы подготовили для вас ответ c подробным объяснением домашего задания по математике за 6 класс, для упражнения номер 1072 расположенного на странице 230 к учебнику 2019 - 2022 года издания для учащихся школ и гимназий.
Теперь на нашем сайте ГДЗ.ТОП вы всегда легко и бесплатно найдёте условие с правильным ответом на вопрос «Как решить ДЗ» и «Как сделать» задание по математике к упражнению №1072 (с. 230), авторов: Мерзляк (Аркадий Григорьевич), Полонский (Виталий Борисович), Якир (Михаил Семёнович), ФГОС (старый) учебного пособия издательства Просвещение, Вентана-граф.