Номер 1347, страница 301 - гдз по математике 6 класс учебник Мерзляк, Полонский

Авторы: Мерзляк А. Г., Полонский В. Б., Якир М. С.
Тип: Учебник
Издательство: Просвещение, Вентана-граф
Год издания: 2019 - 2022
Цвет обложки: салатовый, зелёный
ISBN: 978-5-360-10057-7
Рекомендовано Министерством образования и науки Российской Федерации
Популярные ГДЗ в 6 классе
Упражнения. Упражнения для повторения курса математики - номер 1347, страница 301.
№1347 (с. 301)
Условие. №1347 (с. 301)
скриншот условия

1347. Найдите значение выражения:
1) $ (3\frac{1}{4} + 0,25 - 1\frac{5}{24}) : (2\frac{3}{4} - 4\frac{1}{2} - 0,75) : (-4\frac{7}{12}) $;
2) $ -24,6 : (-2,35 + 0,7 : 2\frac{1}{3}) - 15,36 $;
3) $ (5\frac{5}{28} - 5\frac{1}{3} \cdot 1,25 - 1\frac{16}{21}) : (-1,5) $;
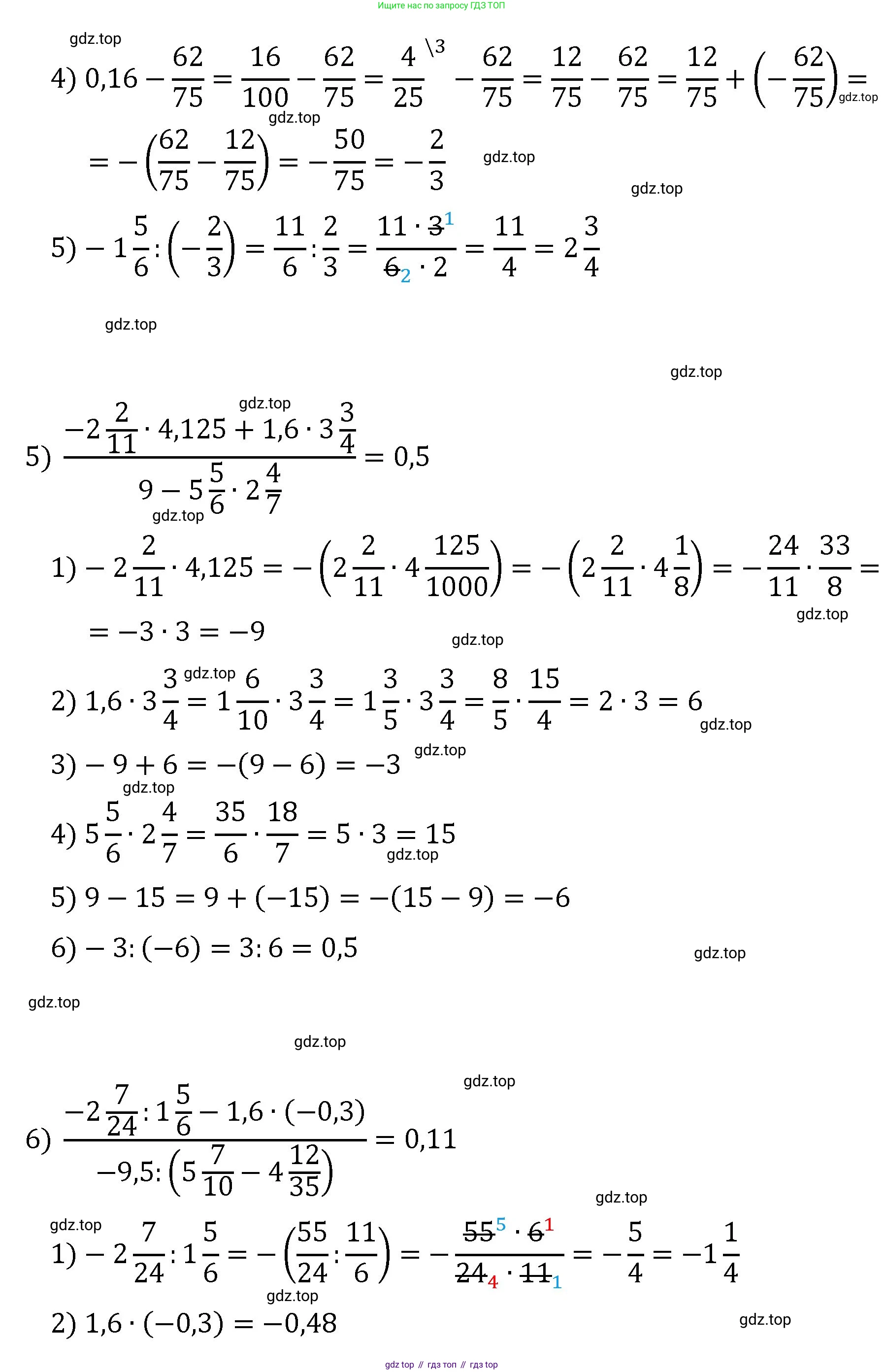
4) $ (-3\frac{1}{3} \cdot 1,9 + 19,5 : 4\frac{1}{3}) : (0,16 - \frac{62}{75}) $;
5) $ \frac{-2\frac{2}{11} \cdot 4,125 + 1,6 \cdot 3\frac{3}{4}}{9 - 5\frac{5}{6} \cdot 2\frac{4}{7}} $;
6) $ \frac{-2\frac{7}{24} : 1\frac{5}{6} - 1,6 \cdot (-0,3)}{-9,5 : (5\frac{7}{10} - 4\frac{12}{35})} $;
7) $ \frac{-0,4 \cdot (-6,3 : 3,15 + \frac{5}{6} \cdot 0,9)}{-48 - 2\frac{2}{7} \cdot (-91)} $;
8) $ (-13,6 + 5,1) \cdot 1\frac{3}{17} + (2\frac{7}{23} - 1\frac{45}{46}) : 1\frac{7}{23} $.
Решение. №1347 (с. 301)





Решение 2. №1347 (с. 301)
1) $(3\frac{1}{4} + 0,25 - 1\frac{5}{24}) : (2\frac{3}{4} - 4\frac{1}{2} - 0,75) : (-4\frac{7}{12})$
Решим по действиям. Сначала преобразуем все десятичные дроби в обыкновенные и смешанные числа в неправильные дроби.
1. Вычислим значение в первой скобке:
$3\frac{1}{4} + 0,25 - 1\frac{5}{24} = 3\frac{1}{4} + \frac{1}{4} - 1\frac{5}{24} = 3\frac{2}{4} - 1\frac{5}{24} = 3\frac{1}{2} - 1\frac{5}{24} = 3\frac{12}{24} - 1\frac{5}{24} = 2\frac{7}{24} = \frac{55}{24}$
2. Вычислим значение во второй скобке:
$2\frac{3}{4} - 4\frac{1}{2} - 0,75 = 2\frac{3}{4} - 4\frac{2}{4} - \frac{3}{4} = (2\frac{3}{4} - \frac{3}{4}) - 4\frac{2}{4} = 2 - 4\frac{1}{2} = -\frac{5}{2}$
3. Преобразуем третье число:
$-4\frac{7}{12} = -\frac{4 \cdot 12 + 7}{12} = -\frac{55}{12}$
4. Выполним деление:
$\frac{55}{24} : (-\frac{5}{2}) : (-\frac{55}{12}) = \frac{55}{24} \cdot (-\frac{2}{5}) \cdot (-\frac{12}{55}) = \frac{55 \cdot 2 \cdot 12}{24 \cdot 5 \cdot 55} = \frac{2 \cdot 12}{24 \cdot 5} = \frac{24}{120} = \frac{1}{5}$
Ответ: $\frac{1}{5}$.
2) $-24,6 : (-2,35 + 0,7 : 2\frac{1}{3}) - 15,36$
1. Выполним деление в скобках:
$0,7 : 2\frac{1}{3} = \frac{7}{10} : \frac{7}{3} = \frac{7}{10} \cdot \frac{3}{7} = \frac{3}{10} = 0,3$
2. Выполним сложение в скобках:
$-2,35 + 0,3 = -2,05$
3. Выполним основное деление:
$-24,6 : (-2,05) = \frac{24,6}{2,05} = \frac{2460}{205} = 12$
4. Выполним вычитание:
$12 - 15,36 = -3,36$
Ответ: $-3,36$.
3) $(5\frac{5}{28} - 5\frac{1}{3} \cdot 1,25 - 1\frac{16}{21}) : (-1,5)$
1. Выполним умножение в скобках:
$5\frac{1}{3} \cdot 1,25 = \frac{16}{3} \cdot \frac{5}{4} = \frac{16 \cdot 5}{3 \cdot 4} = \frac{4 \cdot 5}{3} = \frac{20}{3}$
2. Выполним вычитание в скобках:
$5\frac{5}{28} - \frac{20}{3} - 1\frac{16}{21} = \frac{145}{28} - \frac{20}{3} - \frac{37}{21}$
Общий знаменатель 84:
$\frac{145 \cdot 3}{84} - \frac{20 \cdot 28}{84} - \frac{37 \cdot 4}{84} = \frac{435 - 560 - 148}{84} = \frac{-125 - 148}{84} = \frac{-273}{84} = -\frac{13}{4}$
3. Выполним деление:
$(-\frac{13}{4}) : (-1,5) = (-\frac{13}{4}) : (-\frac{3}{2}) = \frac{13}{4} \cdot \frac{2}{3} = \frac{13}{6} = 2\frac{1}{6}$
Ответ: $2\frac{1}{6}$.
4) $(-3\frac{1}{3} \cdot 1,9 + 19,5 : 4\frac{1}{3}) : (0,16 - \frac{62}{75})$
1. Вычислим значение в первой скобке:
$-3\frac{1}{3} \cdot 1,9 = -\frac{10}{3} \cdot \frac{19}{10} = -\frac{19}{3}$
$19,5 : 4\frac{1}{3} = \frac{39}{2} : \frac{13}{3} = \frac{39}{2} \cdot \frac{3}{13} = \frac{3 \cdot 3}{2} = \frac{9}{2}$
$-\frac{19}{3} + \frac{9}{2} = \frac{-38 + 27}{6} = -\frac{11}{6}$
2. Вычислим значение во второй скобке:
$0,16 - \frac{62}{75} = \frac{16}{100} - \frac{62}{75} = \frac{4}{25} - \frac{62}{75} = \frac{12 - 62}{75} = -\frac{50}{75} = -\frac{2}{3}$
3. Выполним деление:
$(-\frac{11}{6}) : (-\frac{2}{3}) = \frac{11}{6} \cdot \frac{3}{2} = \frac{11}{4} = 2,75$
Ответ: $2,75$.
5) $\frac{-2\frac{2}{11} \cdot 4,125 + 1,6 \cdot 3\frac{3}{4}}{9 - 5\frac{5}{6} : 2\frac{4}{7}}$
1. Вычислим числитель:
$-2\frac{2}{11} \cdot 4,125 = -\frac{24}{11} \cdot 4\frac{1}{8} = -\frac{24}{11} \cdot \frac{33}{8} = -3 \cdot 3 = -9$
$1,6 \cdot 3\frac{3}{4} = \frac{8}{5} \cdot \frac{15}{4} = 2 \cdot 3 = 6$
Числитель равен: $-9 + 6 = -3$
2. Вычислим знаменатель:
$5\frac{5}{6} : 2\frac{4}{7} = \frac{35}{6} : \frac{18}{7} = \frac{35}{6} \cdot \frac{7}{18} = \frac{245}{108}$
$9 - \frac{245}{108} = \frac{972 - 245}{108} = \frac{727}{108}$
3. Найдем значение дроби:
$\frac{-3}{\frac{727}{108}} = -3 \cdot \frac{108}{727} = -\frac{324}{727}$
Ответ: $-\frac{324}{727}$.
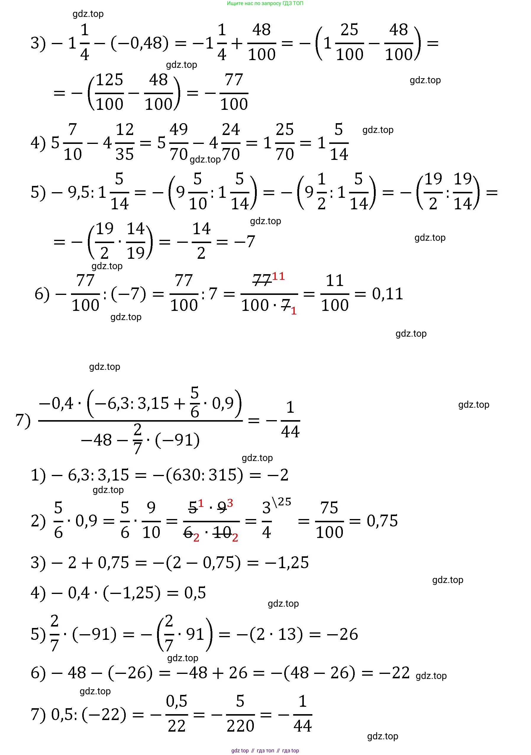
6) $\frac{-2\frac{7}{24} : 1\frac{5}{6} - 1,6 \cdot (-0,3)}{-9,5 : (5\frac{7}{10} - 4\frac{12}{35})}$
1. Вычислим числитель:
$-2\frac{7}{24} : 1\frac{5}{6} = -\frac{55}{24} : \frac{11}{6} = -\frac{55}{24} \cdot \frac{6}{11} = -\frac{5}{4} = -1,25$
$1,6 \cdot (-0,3) = -0,48$
Числитель равен: $-1,25 - (-0,48) = -1,25 + 0,48 = -0,77$
2. Вычислим знаменатель:
$5\frac{7}{10} - 4\frac{12}{35} = \frac{57}{10} - \frac{152}{35} = \frac{399 - 304}{70} = \frac{95}{70} = \frac{19}{14}$
$-9,5 : \frac{19}{14} = -\frac{19}{2} : \frac{19}{14} = -\frac{19}{2} \cdot \frac{14}{19} = -7$
3. Найдем значение дроби:
$\frac{-0,77}{-7} = 0,11$
Ответ: $0,11$.
7) $\frac{-0,4 \cdot (-6,3 : 3,15 + \frac{5}{6} \cdot 0,9)}{-48 - \frac{2}{7} \cdot (-91)}$
1. Вычислим числитель:
Сначала действия в скобках:
$-6,3 : 3,15 = -2$
$\frac{5}{6} \cdot 0,9 = \frac{5}{6} \cdot \frac{9}{10} = \frac{1 \cdot 3}{2 \cdot 2} = \frac{3}{4} = 0,75$
$-2 + 0,75 = -1,25$
Числитель равен: $-0,4 \cdot (-1,25) = 0,5$
2. Вычислим знаменатель:
$\frac{2}{7} \cdot (-91) = 2 \cdot (-13) = -26$
Знаменатель равен: $-48 - (-26) = -48 + 26 = -22$
3. Найдем значение дроби:
$\frac{0,5}{-22} = \frac{1/2}{-22} = -\frac{1}{44}$
Ответ: $-\frac{1}{44}$.
8) $(-13,6 + 5,1) \cdot 1\frac{3}{17} + (2\frac{7}{23} - 1\frac{45}{46}) : 1\frac{7}{23}$
1. Вычислим значение первого слагаемого:
$-13,6 + 5,1 = -8,5$
$-8,5 \cdot 1\frac{3}{17} = -\frac{85}{10} \cdot \frac{20}{17} = -\frac{17}{2} \cdot \frac{20}{17} = -10$
2. Вычислим значение второго слагаемого:
$2\frac{7}{23} - 1\frac{45}{46} = 2\frac{14}{46} - 1\frac{45}{46} = 1\frac{60}{46} - 1\frac{45}{46} = \frac{15}{46}$
$\frac{15}{46} : 1\frac{7}{23} = \frac{15}{46} : \frac{30}{23} = \frac{15}{46} \cdot \frac{23}{30} = \frac{1}{2} \cdot \frac{1}{2} = \frac{1}{4} = 0,25$
3. Сложим результаты:
$-10 + 0,25 = -9,75$
Ответ: $-9,75$.
Другие задания:
Помогло решение? Оставьте отзыв в комментариях ниже.
Присоединяйтесь к Телеграм-группе @top_gdz
ПрисоединитьсяМы подготовили для вас ответ c подробным объяснением домашего задания по математике за 6 класс, для упражнения номер 1347 расположенного на странице 301 к учебнику 2019 - 2022 года издания для учащихся школ и гимназий.
Теперь на нашем сайте ГДЗ.ТОП вы всегда легко и бесплатно найдёте условие с правильным ответом на вопрос «Как решить ДЗ» и «Как сделать» задание по математике к упражнению №1347 (с. 301), авторов: Мерзляк (Аркадий Григорьевич), Полонский (Виталий Борисович), Якир (Михаил Семёнович), ФГОС (старый) учебного пособия издательства Просвещение, Вентана-граф.